2024-2025 学年第一学期

 

 

 

 

课程名称:         时间序列分析       

课程性质:           选修课           

授课学时:            48学时          

授课对象:           应用统计学        

任课教师:           朱恩文            

 

 

 

 

        长沙理工大学数学与统计学院

          2024-08


全课程教案

一、基本信息

课程名称

时间序列分析

课程编号

0701000355

课程性质

选修课

学分

48

教学安排

总学时48。其中讲授 44 学时,实验  0学时,上机 4 学时,实训 0 学时

授课时间: 1 周至第 12

周学时

4

相关课程与环节

先修课程与知识储备: 应用随机过程、概率论与数理统计和线性代数初步知识

后继课程:数据挖掘、统计计算、经济预测与决策水文统计学

 

 

二、授课对象

基本情况

专业

应用统计学

年级

2022

班级

1,2班

修读人数

78

授课对象分析

本学期选修该课程的学生是2022级应用统计学专业学生,总人数78人,其中女生44人,男生34人,该年级学风诚实,优良,班级同学团结,互助互爱,主要先修课程挂科率低,其中6人10次挂科,四级通过率90.2%,六级通过率21.7%

 

三、教学内容与安排

课程简介与要求

时间序列分析是统计、金融、保险等专业非常重要的一门专业课,它通过研究某一现象或若干现象在不同时刻上的状态所形成的数据,得到现象以及现象之间关系的发展变化规律,与独立截面数据不同,时间序列数据在时间上的顺序决定其自身的相依结构,因此对此类数据的统计推断不同于独立数据。其内容主要包括:时间序列的基本概念;时间序列的预处理;ARMA模型的性质;平稳序列的拟合与预测;无季节效用的非平稳序列分析;有季节效用的非平稳序列分析;多元时间序列分析。通过该课程的学习,使学生基本掌握时间序列的分析方法,提高学生处理数据和分析数据的能力,培养学生的统计思维能力和创新能力,同时通过这门课的学习,也可以为该领域相关高阶课程,如非参数时间序列分析、机器学习算法在时间序列中的应用等打下前期基础。为培养“实基础、适口径、重应用、强素质”的高素质复合型统计专门人才提供重要支撑。

课程目标

课程目标

支撑毕业要求指标点

与课程关联度

1.运用定义判别平稳性综合运用时序图法和统计量法检验时序的纯随机性。

掌握应用统计学专业基础类和专业类知识,具有国际视野,了解应用统计专业学科发展前沿,并能将所学知识用于解释本专业领域现象;能够应用本学科基本原理、方法对本专业领域问题进行判断、分析和研究,提出相应对策和建议,并形成解决方案。

 

 

 

 

 

 

 

 

 

 

 

 

H

2.能够简述平稳时间序列基本模型:AR模型、MA模型、ARMA模型的结构和性质;能够简述平稳时间序列建模基本步骤;综合运用平稳时间序列的预测方法对数据进行建模与预测。

3.简述非平稳时间序列的平稳化方法;能运用ARIMA模型、残差自回归模型对非平稳时间序列数据进行建模。

4.综合运用X-11季节调整模型、X-12-ARIMA模型、简单指数平滑方法、Holt两参数指数平滑方法、Holt-Winters三参数指数平滑方法对季节性时序数据建模。

5.综合运用单位根检验方法判别多元时间序列的平稳性;运用协整理论对多元时间序列建模。

6.能利用时间序列的有关理论和方法对时间序列数据进行统计分析,解决实际问题。

能够恰当使用现代信息技术和分析工具,对本专业领域数据信息进行收集和分析处理,完成所从事的专业任务。

 

H

课程思政

  1. 让学生了解我国学者在该学科领域做出的杰出贡献,增强学生的文化自信和民族自豪感,引导学生树立强烈的爱国热情和创新意识。
  2. 让学生通过金融时间序列分析案例,了解时间序列分析服务金融领域的作用,树立学生为经济社会发展做贡献的责任感。通过我国宏观经济数据,展示中国特色社会主义建设的成就。

教学方法

该课程主讲教师需具有统计学专业或相近专业背景,该课程主要采取“研讨+案例”式教学模式,对于重要知识点引入案例,同时以研讨的方式进行分析与讨论。采用雨课堂沟通课外预习与课堂教学,让课堂互动永不下线。课前将课前预习课件,如:视频、习题、语音等推送到学生手机,师生沟通及时反馈。课堂上实时答题,革新传统课堂教学师生互动。雨课堂可以科学地覆盖课前——课上——课后的每一个教学环节,还能提供个性化报表、自动任务提醒,让教与学更明了。

教学重点

与难点

重点

纯随机性检验、AR模型、MA模型、ARMA模型、平稳序列建模基本步骤、线性最小方差预报、季节效应分析、平稳化方法、ARIMA模型、残差自回归模型、ARCH模型、GARCH模型、ADF检验、DF检验、协整检验、误差修正模型。

难点

求格林函数和逆函数、条件期望预报、参数估计、GARCH模型性质、协整检验。

课程各教学环节内容与安排

知识单元

知识点

课内学时

教学方式

作业/测验

课外学习

时间序列分析简介

时间序列的定义、分析方法,

时间序列分析软件R

4

讲授,上机

教材P28页习题1.5第4题

 

时间序列的预处理

特征统计量、平稳时间序列的定义平稳时间序列的统计性质、意义平稳性检验纯随机性检验

4

讲授

 

 

ARMA模型的性质

Wold分解定理、

线性差分方程及其求解AR模型的定义及其平稳性判别平稳AR模型的统计性质MA模型的定义和可逆性判别ARMA模型平稳性与可逆性;ARMA模型的统计性质

12

讲授

 

 

平稳序列的拟合与预测

平稳序列建模单位根检验;模型识别、参数估计、模型检验、模型优化;序列预测

10

讲授,上机

 

 

无季节效用的非平稳序列分析

Cramer分解定理;差分平稳;ARIMA模型疏系数模型

 

6

讲授

 

 

有季节效用的非平稳序列分析

因素分解理论、因素分解模型;指数平滑预测模型;ARIMA加法模型、ARIMA乘法模型;

6

讲授

 

 

多元时间序列分析

ARIMAX模型;干预分析、伪回归;协整模型;Granger因果检验

6

讲授

 

 

注:课程目标、教学方法、重难点、教学环节(知识单元、知识点等)等内容应与教学大纲、教学日历一致。课外学习可包括学时和内容要求。

 

四、考核方式

考核项目

考核内容

考核方式

分值或占比

知识考核

课程教学内容

闭卷

70

能力考核

课后习题和上机练习

提交作业

20

课堂表现

出勤率和课堂参与度

考勤、课堂讨论、课堂展示等

10

注:考核方式应符合课程教学大纲的要求。

 

五、教学资源

推荐教材

[1] 王燕.时间序列分析-基于R第2版[M].北京:中国人民大学出版社,2015.

参考材料

[1] 周永道,王会琦,吕王勇.时间序列分析及应用[M].北京:中国高等教育出版社,2015.

[2] Gebhard,K.Jurgen,W. Uwe,H著,张延群,刘晓飞译. 现代时间序列分析导论(第2版)[M].北京:中国人民大学出版社,2015.

[3] 白晓东.应用时间序列分析[M].北京:清华大学出版社,2017.

[4]Robert H. Shumway, David S. Stoffer.Time Series Analysis and Its Applications

With R Examples(Fourth Edition)[M].Springer,2017.

[5]    Jonathan D.Cryer,Kung-Sik Chan 著,潘红宇译.时间序列分析及应用:R语言(原书第2版)[M].机械工业出版社,2011.

国际期刊:

Journal of time series analysis;

Econometrica;

Econometric Theory;

Journal of Econometrics;

Journal of business and economic statistics ;

Econometric Reviews,

课程资源

http://www.icourse163.org/

http://www.icourses.cn/home/

https://open.163.com/

http://openv.chaoxing.com/

http://webcast.berkeley.edu/courses.php

http://ocw.mit.edu/OcwWeb/web/

 

教材分析与处理

 

本课程使用的教材是基于R的时间序列分析,该教材案例都是用R软件实现,但本教材理论部分分析稍显不足,因此在某些章节会选用参考教材作为补充,如在讲授单位根检验、平稳序列的特征根判别、序列预测等内容时会扩充教材内容。同时对学有余力的同学推荐时间序列方面的国际期刊供其阅读,如:Journal of time series analysis;

Journal of Econometrics;Journal of business and economic statistics.


分课时教案

知识单元名称

时间序列分析简介

课次

1

授课类型

理论课R讨论课实验课习题课其他

学时

1

课程目标与要求

了解时间序列概念,它有哪些特点?时间序列分析有哪些方法?以及发展历史

本单元重点

与难点内容

重点: 掌握时间序列、时间序列分析的定义

难点: 了解时域分析方法最近几十年的进展

教学内容

1.  时间序列的含义

2.  时间序列的主要分类

3.  时间序列分析方法分类

4   时域分析发展历史

课程思政

介绍非线性时间序列分析的创始人——汤家豪教授(华人统计学家)

教学过程设计:

教学方法及手段、课堂互动题设置、教学改革措施等

教学过程设计:以PPT讲授为主:

课堂互动题设置:

列举你身边观察到的时间序列数据,有何特点?与以前接触过的统计数据有何不同?

作业与

思考题设置

请查阅文献列举华人或中国统计学家在时间序列分析方面做出了哪些杰出贡献

学习效果、学生反馈、反思改进措施等

学生对什么样的数据适合用时间序列分析,什么是频域分析方法,什么是时域分析方法理解上问题比较多,应该注意讲透讲清。

备注

 

 

 

分课时教案

知识单元名称

R简介

课次

1

授课类型

理论课R讨论课R实验课£习题课其他R

学时

1

课程目标与要求

会R包的安装与调用,以及时序图的绘制

本单元重点

与难点内容

重点: R包的安装与调用

难点: 外部数据文件转换

教学内容

一、R的特点

二、R和RStudio的安装

1.R软件的下载安装

2.RStudio的下载安装

3.R包的安装与调用

三、R语言基本规则

1.输入指令的规则

2.赋值指令的写法

3.区分大小写

4.常用运算符号和函数表达式

四、生成时间序列数据

1.直接录入

2.外部数据文件转换

五、时间序列数据的处理

1.序列变换

2.缺失值插值

六、绘制时序图

1.默认格式输出

2.自定义图形参数

七、时间序列数据的导出

1.数据导出

2.图形导出

课程思政

培养学生动手能力

教学过程设计:

教学方法及手段、课堂互动题设置、教学改革措施等

教学过程设计:讨论课与上机

课堂互动题设置:如何调用外部数据,绘制时序图?

作业与

思考题设置

教材P28页习题1.5第4题

学习效果、学生反馈、反思改进措施等

学生需课后多上机操作R,创建数据集,并绘制时序图

备注

 

 

 

 

 

 

 

 

 

 

 

 

分课时教案

知识单元名称

平稳序列的定义

课次

2

授课类型

理论课R讨论课实验课习题课其他

学时

1

课程目标与要求

掌握平稳性的定义以及平稳时间序列的统计性质

本单元重点

与难点内容

重点: 宽平稳严平稳的定义

难点: 理解平稳时间序列自相关系数性质

教学内容

一、特征统计量

1.概率分布

2.特征统计量:均值、方差、自协方差函数和自相关系数

二、平稳序列的定义

1.严平稳

2.宽平稳

平稳时间序列的统计性质:

平稳序列的意义

课程思政

培养学生严谨的逻辑思维能力

教学过程设计:

教学方法及手段、课堂互动题设置、教学改革措施等

教学过程设计:PPT讲授和讨论式

课堂互动题设置

1.概率版本的Schwarz不等式;

2.证明是非负定矩阵

3.严平稳与宽平稳的关系;平稳时间序列的意义

作业与

思考题设置

为什么在时间序列分析中我们只需要时间序列宽平稳就可以了?

(因为在统计分析中很多时候我们关注的统计量都是低阶矩,很少关注高阶矩,除峰度:,偏度:

学习效果、学生反馈、反思改进措施等

对于严平稳与宽平稳性之间关系需要详细说明

备注

 

 

 

分课时教案

知识单元名称

平稳性检验

课次

2

授课类型

理论课R讨论课实验课习题课其他

学时

1

课程目标与要求

掌握平稳性检验的几种常用方法

 

本单元重点

与难点内容

重点:时序图检验,自相关图检验

难点:自相关图检验

教学内容

  1. 时序图检验
  2. 自相关图检验

 

课程思政

1.培养学生辩证思维能力;

2.结合各类统计图表展示我国宏观经济数据,展示科学研究成果和人民生活的变化, 展示中国特色社会主义建设的成就。

教学过程设计:

教学方法及手段、课堂互动题设置、教学改革措施等

教学过程设计:PPT讲授

课堂互动题设置平稳时间序列自相关图有何几何特征?

作业与

思考题设置

教材P46-47页第1-2题

学习效果、学生反馈、反思改进措施等

学生课后总结非平稳时间序列和平稳时间序列自相关图的几何特征?

备注

 

 

分课时教案

知识单元名称

纯随机性检验

课次

3

授课类型

理论课R讨论课实验课习题课其他

学时

1

课程目标与要求

掌握随机性和方差齐性的定义以及纯随机性检验的几种方法

 

本单元重点

与难点内容

重点: 纯随机性方差齐性的定义,Q统计量,LB统计量

难点: 利用Q统计量,LB统计量检验纯随机性

教学内容

一、白噪声定义

二、纯随机序列的性质

1.纯随机性

2.方差齐性

三、纯随机性检验

近似服从

1.假设条件

2.检验统计量:Q统计量,LB统计量

近似服从近似服从

统计量在大样本场合(很大的场合)检验效果很好,但在小样本场合LB统计量检验效果较好。

课程思政

培养学生科学精神

教学过程设计:

教学方法及手段、课堂互动题设置、教学改革措施等

教学过程设计:PPT讲授,上机实验

课堂互动题设置:实现教材P44-45页例2-4,2-5的R操作

作业与

思考题设置

学生推导Q统计量和LB统计量的分布教材P47-48习题3-8

学习效果、学生反馈、反思改进措施等

对于纯随机性检验的Q统计量和LB统计量需要通过练习做题加深理解

备注

 

 

 

分课时教案

知识单元名称

Wold分解定理,AR模型定义

课次

3

授课类型

理论课R讨论课实验课习题课其他

学时

1

课程目标与要求

理解Wold分解定理和AR模型定义

本单元重点

与难点内容

重点: AR模型定义

难点: Wold分解定理理解

教学内容

1.  Wold分解定理,其中:

2.  AR模型定义

特征方程的定义:阶齐次线性差分方程的特征方程为

 

课程思政

培养学生科学精神

教学过程设计:

教学方法及手段、课堂互动题设置、教学改革措施等

教学过程设计:PPT讲授

作业与

思考题设置

请推导阶齐次线性差分方程通解表达式

学习效果、学生反馈、反思改进措施等

需要加强对延迟算子相关性质的教学。

备注

 

 

 

分课时教案

知识单元名称

AR模型的平稳性判别

课次

4

授课类型

理论课R讨论课实验课习题课其他

学时

2

课程目标与要求

掌握线性差分方程求解,会利用特征根判别平稳性

本单元重点

与难点内容

重点: 线性差分方程求解,平稳域判别

难点: 线性差分方程求解

教学内容

AR模型的平稳性判别

1.特征根判别

2.平稳域判别

(1)

(2)

课程思政

培养学生勇于探索的精神

教学过程设计:

教学方法及手段、课堂互动题设置、教学改革措施等

教学过程设计:PPT教授

课堂互动题设置:什么是差分方程,什么样的差分方程可以求显示解?

作业与

思考题设置

教材P83习题11(1)-(2)平稳性判别

学习效果、学生反馈、反思改进措施等

本堂课程内容中关于AR(1)和一元回归的联系与区别的内容理解上需要时间消化。

备注

 

 

分课时教案

知识单元名称

平稳AR模型的统计性质

课次

5

授课类型

理论课R讨论课实验课习题课其他

学时

2

课程目标与要求

会利用格林函数求AR模型的方差和自协方差函数

本单元重点

与难点内容

重点: 格林函数,自协方差函数,自相关系数

难点: 求格林函数

教学内容

  1. 均值:
  2. 方差:
  3. 自协方差函数:
  4. 自相关系数:

课程思政

培养学生勇于探索的精神

教学过程设计:

教学方法及手段、课堂互动题设置、教学改革措施等

教学过程设计:PPT教授

课堂互动题设置:时间序列是相依序列怎么求方差?

作业与

思考题设置

教材P82-83习题2,4,5,6,15

学习效果、学生反馈、反思改进措施等

AR模型自相关系数性质的理解需要加强

备注

 

 

分课时教案

知识单元名称

偏自相关系数

课次

6

授课类型

理论课R讨论课实验课习题课其他

学时

2

课程目标与要求

偏自相关系数定义的理解与计算

本单元重点

与难点内容

重点: 偏自相关系数定义与计算

难点: 偏自相关系数计算与截尾性理解

教学内容

一、偏自相关系数定义:

二、偏自相关系数的计算:

三、偏自相关系数的截尾性:

课程思政

培养学生逻辑推理能力

教学过程设计:

教学方法及手段、课堂互动题设置、教学改革措施等

教学过程设计:PPT讲授

课堂互动题设置:自相关系数与偏自相关系数的区别?

 

作业与

思考题设置

教材P82-83习题1,3

学习效果、学生反馈、反思改进措施等

AR模型偏自相关系数性质的理解需要加强

备注

 

 

 

分课时教案

知识单元名称

MA模型

课次

78

授课类型

理论课R讨论课实验课习题课其他

学时

4

课程目标与要求

MA模型定义,可逆性判别,自相关系数和偏自相关系数性质

本单元重点

与难点内容

重点: MA模型定义,自相关系数和偏自相关系数性质

难点: 可逆性判别

教学内容

  1. MA模型的定义
  2. MA模型的统计性质:常数均值

                       常数方差:

自协方差函数与自相关系数q阶截尾

  1. MA模型的可逆性:

为了保证一个给定的自相关函数能够对应唯一的模型,我们就要给模型增加约束条件。这个约束条件称为模型的可逆性条件。

可逆MA模型定义:若一个MA模型能够表示成为收敛的AR模型形式,那么该MA模型称为可逆MA模型

可逆概念的重要性:一个自相关系数列唯一对应一个可逆MA模型。

课程思政

培养学生批判精神

教学过程设计:

教学方法及手段、课堂互动题设置、教学改革措施等

教学过程设计:PPT讲授

课堂互动题设置:为什么需要引入可逆性?

作业与

思考题设置

教材P82-83习题910

学习效果、学生反馈、反思改进措施等

MA模型偏自相关系数拖尾性质理解需加强

 

备注

 

 

分课时教案

知识单元名称

ARMA模型

课次

9

授课类型

理论课R讨论课实验课习题课其他

学时

2

课程目标与要求

掌握ARMA模型定义,会判别ARMA模型的平稳性与可逆性

本单元重点

与难点内容

重点: ARMA模型定义,ARMA模型自相关系数和偏自相关系数性质

难点: 会判别ARMA模型的平稳性与可逆性

教学内容

一、ARMA模型定义

二、ARMA模型的平稳性与可逆性条件:

1)ARMA(p,q)模型的平稳条件

P阶自回归系数多项式的根都在单位圆外即ARMA(p,q)模型的平稳性完全由其自回归部分的平稳性决定

2)ARMA(p,q)模型的可逆条件:

q阶移动平均系数多项式的根都在单位圆外,即ARMA(p,q)模型的可逆性完全由其移动平滑部分的可逆性决定

三、传递形式与逆转形式

  

四、ARMA模型的统计性质

均值

自协方差函数

自相关系数

 

课程思政

培养学生科学精神

教学过程设计:

教学方法及手段、课堂互动题设置、教学改革措施等

教学过程设计:PPT讲授

课堂互动题设置:对于ARMA模型为什么需要研究其平稳性与可逆性?

作业与

思考题设置

教材P82-83习题11-17

学习效果、学生反馈、反思改进措施等

ARMA(2,1)模型在时间序列分析中占有重要的地位,应着重强调

备注

 

 

 

分课时教案

知识单元名称

单位根检验

课次

10

授课类型

理论课R讨论课实验课习题课其他

学时

2

课程目标与要求

掌握单位根检验常用的几种方法

本单元重点

与难点内容

重点: DF检验,ADF检验

难点: 对于不同时间序列模型结构选择不同单位根检验方法

教学内容

一、DF检验

(1)DF统计量的构造

(2)DF统计量的等价表达

(3)DF检验的三种类型

类型一:无漂移项自回归结构

类型二:有漂移项自回归结构

类型三:带趋势回归结构

二、ADF检验

(1)ADF检验的原理ADF检验原理

假设序列的确定性部分可以由过去p期的历史数据描述,即序列可以表达为

如果序列平稳,它必须满足所有非零特征根都在单位圆内。假如有一个单位根存在,不妨假设,则序列非平稳。

代入特征方程,得到

这意味着,如果序列非平稳,存在特征根,那么序列回归系数之和恰好等于1。因而,对于序列的平稳性检验,可以通过检验它的回归系数之和的性质进行判断。

 

(2)ADF检验统计量:

课程思政

培养学生创新意识,同时引导学生树立创新精神

教学过程设计:

教学方法及手段、课堂互动题设置、教学改革措施等

教学过程设计:PPT讲授

课堂互动题设置:单位根检验与序列平稳的关系?

作业与

思考题设置

课后查找资料单位根检验还有哪些方法?

学习效果、学生反馈、反思改进措施等

需要通过案例分析来加深对单位根检验的理解与掌握

备注

 

 

 

分课时教案

知识单元名称

模型识别,参数的矩估计

课次

11

授课类型

理论课R讨论课实验课习题课其他

学时

2

课程目标与要求

会用自相关函数,偏自相关函数判别模型了解几种定阶的方法

本单元重点

与难点内容

重点: 用自相关函数,偏自相关函数判别模型参数的矩估计

难点: 自相关函数,偏自相关函数判别模型

教学内容

  1. 模型识别

自相关系数

偏自相关系数

选择模型

拖尾

P阶截尾

AR(P)

q阶截尾

拖尾

MA(q)

拖尾

拖尾

ARMA(p,q)

 

  1. 矩估计

样本自相关系数估计总体自相关系数

样本一阶均值估计总体均值,样本方差估计总体方差

课程思政

培养学生科学精神

讲授本章内容应重点结合我国的宏观经济和社会数据、企业经营管理数据讲授时间序列ARMA建模。尤其是要求学生选择反映中国特色社会主义建设成就的数据进行分析。

教学过程设计:

教学方法及手段、课堂互动题设置、教学改革措施等

教学过程设计:PPT讲授

课堂互动题设置:相同的时间序列数据是否可以构建不同类型的时间序列模型?

作业与

思考题设置

教材P133-134习题1-2

学习效果、学生反馈、反思改进措施等

本节从学习时间序列的基本处理工具到对时间序列建模的转化有关键的作用,应该把握好衔接。

备注

 

 

 

分课时教案

知识单元名称

极大似然估计,最小二乘估计

课次

12

授课类型

理论课R讨论课实验课习题课其他

学时

2

课程目标与要求

掌握极大似然估计和最小二乘估计方法

本单元重点

与难点内容

重点: 极大似然估计,最小二乘估计

难点: 利用R软件进行极大似然估计和最小二乘估计

教学内容

1.  极大似然估计

原理

在极大似然准则下,认为样本来自使该样本出现概率最大的总体。因此未知参数的极大似然估计就是使得似然函数(即联合密度函数)达到最大的参数值

似然方程组

2   最小二乘估计

使残差平方和达到最小的那组参数值即为最小二乘估计值

课程思政

激发学生迎难而上、永攀科学高峰的时代精神。

教学过程设计:

教学方法及手段、课堂互动题设置、教学改革措施等

教学过程设计:PPT讲授

 

作业与

思考题设置

请同学们思考最小二乘法估计,极大似然估计各自的优缺点。

学习效果、学生反馈、反思改进措施等

对于经典的几种参数估计方法需要把其背后隐藏的统计思想和方法进行拓展讲解。

备注

 

 

 

分课时教案

知识单元名称

模型检验,模型优化

课次

13

授课类型

理论课R讨论课实验课习题课其他

学时

2

课程目标与要求

会进行模型检验和优化

本单元重点

与难点内容

重点: 模型显著性检验,参数显著性检验

难点: 模型定阶

教学内容

1.  模型的显著性检验

判定原则

一个好的拟合模型应该能够提取观察值序列中几乎所有的样本相关信息,即残差序列应该为白噪声序列

反之,如果残差序列为非白噪声序列,那就意味着残差序列中还残留着相关信息未被提取,这就说明拟合模型不够有效

2.  参数的显著性检验

检验每一个未知参数是否显著非零。删除不显著参数使模型结构最精简

假设条件

检验统计量

 

3.  模型定阶,模型拟合

4.  拟合检验

5   AIC,BIC准则

课程思政

培养学生批判质疑精神

教学过程设计:

教学方法及手段、课堂互动题设置、教学改革措施等

教学过程设计:PPT讲授

作业与

思考题设置

教材P136-137习题9

学习效果、学生反馈、反思改进措施等

用时间序列数据建立统计模型时候,要尽可能建立一个AIC或者BIC值相对最小的模型。

备注

 

 

 

 

 

 

分课时教案

知识单元名称

序列预测

课次

14

授课类型

理论课R讨论课实验课习题课其他

学时

2

课程目标与要求

会利用线性最小方差预测对AR(p)序列进行预测

本单元重点

与难点内容

重点: 线性最小方差预测性质

难点: AR(p)序列预测

教学内容

一、线性预测函数

根据平稳ARMA模型的可逆性,可以用AR结构表达任意一个平稳ARMA模型

二、预测方差最小原则

三、线性最小方差预测的性质

1.条件无偏最小方差估计值

2.AR(p)序列预测

课程思政

用实例说明中国经济建设和社会发展取得的巨大成功。引导学生激发爱国情怀,树立学生为经济社会发展做贡献的责任感,认识到大学生肩膀上承担的历史责任

教学过程设计:

教学方法及手段、课堂互动题设置、教学改革措施等

教学过程设计:PPT讲授

课堂互动题设置:条件期望预测是最优预测吗?

作业与

思考题设置

怎样利用条件期望预测推导时间序列线性最小方差预测的等价性?

了解正交投影预测法的思想;

 

学习效果、学生反馈、反思改进措施等

对预测方法的介绍需要进行更多的直观或者统计思想的介绍

备注

 

 

 

分课时教案

知识单元名称

MA(q)序列预测,修正预测

课次

15

授课类型

理论课R讨论课实验课习题课其他

学时

2

课程目标与要求

会利用线性最小方差准则对MA(q)进行预测,以及利用新信息对ARMA(p,q)进行修正预测

本单元重点

与难点内容

重点: ARMA(p,q)预测

难点: ARMA(p,q)修正预测

教学内容

一、MA(q)预测

二、ARMA(p,q)预测

三、ARMA(p,q)修正预测

所谓的修正预测就是研究如何利用新的信息去获得精度更高的预测值

 

课程思政

用实例说明中国经济建设和社会发展取得的巨大成功。

教学过程设计:

教学方法及手段、课堂互动题设置、教学改革措施等

教学过程设计:PPT讲授,上机

课堂互动题设置:时间序列预测的优缺点?

作业与

思考题设置

教材P134-135页第5-9

学习效果、学生反馈、反思改进措施等

今后讲授时间序列预测需要加强上机操作

备注

 

 

 

分课时教案

知识单元名称

Cramer分解定理,差分平稳

课次

16

授课类型

理论课R讨论课实验课习题课其他

学时

1

课程目标与要求

理解Cramer分解定理,掌握差分平稳方法

本单元重点

与难点内容

重点: Cramer分解定理,差分平稳方法

难点: 无季节效应的非平稳序列平稳化的差分方法的选择

教学内容

一、Cramer分解定理

任何一个时间序列都可以分解为两部分的叠加:一部分是由时间t的多项式决定的确定性成分另一部分是由白噪声序列决定的随机性成分

二、差分平稳

1.差分运算的实质差分运算的实质是使用自回归的方式提取确定性信息

2.差分方式的选择:序列蕴含着显著的线性趋势,通常一阶差分就可以实现趋势平稳;序列蕴含着曲线趋势,通常低阶(二阶或三阶)差分就可以提取出曲线趋势的影响;对于蕴含着固定周期的序列,进行步长为周期长度的差分运算,通常可以较好地提取周期信息。

3.过差分:从理论上而言,足够多次的差分运算可以充分地提取原序列中的非平稳确定性信息;但应当注意的是,差分运算的阶数并不是越多越好。因为差分运算是一种对信息的提取、加工过程,每次差分都会有信息的损失;在实际应用中差分运算的阶数得适当,应当避免过度差分的现象。

 

课程思政

培养学生创新精神。

教学过程设计:

教学方法及手段、课堂互动题设置、教学改革措施等

教学过程设计:PPT讲授

课堂互动题设置:差分平稳的优缺点?

作业与

思考题设置

以随机游动模型为例,请同学们思考随机游动模型是否为平稳时间序列模型,如果不是其期望与方差分别怎么变化,以及把随机游动模型进行过差分后会带来哪些影响?

学习效果、学生反馈、反思改进措施等

无季节效应的非平稳序列平稳化的差分方法的选择需要通过多做练习巩固。

备注

 

 

 

分课时教案

知识单元名称

ARIMA模型

课次

16

授课类型

理论课R讨论课实验课习题课其他

学时

1

课程目标与要求

掌握ARIMA模型的定义,会利用ARIMA模型对非平稳序列建模

本单元重点

与难点内容

重点: ARMA参数矩估计适应性检验

难点: ARMA参数矩估计

教学内容

一、ARIMA模型的结构

二、ARIMA模型的性质

平稳性

ARIMA(p,d,q)模型共有p+d个特征根,其中p个在单位圆内,d个在单位圆上。所以当时ARIMA(p,d,q)模型非平稳。

方差齐性

以ARIMA(0,1,0)为例说明。

三、ARIMA模型建模

 

四、ARIMA模型预测

五、疏系数模型

ARIMA(p,d,q)模型是指d阶差分后自相关最高阶数为p,移动平均最高阶数为q的模型,通常它包含p+q个独立的未知系数,如果该模型中有部分自相关系数或部分移动平滑系数为零,即原模型中有部分系数省缺了,那么该模型称为疏系数模型。

 

 

 

 

 

课程思政

讲授本章内容应重点结合我国的宏观经济和社会数据、企业经营管理数据讲授时间序

ARIMA模型。尤其是要求学生选择反映中国特色社会主义建设成就的数据进行分

析。

教学过程设计:

教学方法及手段、课堂互动题设置、教学改革措施等

教学过程设计:PPT讲授

课堂互动题设置:ARIMA模型与ARMA模型之间的联系是什么?

作业与

思考题设置

教材P165-169页第2-5

学习效果、学生反馈、反思改进措施等

本节是从处理平稳化数据到处理非平稳数据的过渡,对于这两类数据之间如何转换,他们的联系应该阐述清楚。

备注

 

 

 

分课时教案

知识单元名称

因素分解理论

课次

17

授课类型

理论课R讨论课实验课习题课其他

学时

2

课程目标与要求

因素分解模型的选择,掌握季节指数的计算

本单元重点

与难点内容

重点:因素分解模型,趋势效应和季节效应的提取

难点: X11季节调节模型

教学内容

1.  因素分解理论

2.  因素分解模型

2.1    因素分解模型的选择

2.2    趋势效应的提取

2.3    季节效应的提取

一、加法模型中季节指数的构造

二、乘法模型中季节指数的构造

2.4    X11季节调节模型

一、Henderson加权移动平均

二、Musgrave非对称移动平均

课程思政

讲授本章内容应重点结合我国的宏观经济和社会数据、企业经营管理数据讲授时间序列

因素分解方法。尤其是要求学生选择反映中国特色社会主义建设成就的数据进行分析。

教学过程设计:

教学方法及手段、课堂互动题设置、教学改革措施等

教学过程设计:PPT讲授

课堂互动题设置:乘积季节模型的数据如何分解?

作业与

思考题设置

教材P213页第1-2

学习效果、学生反馈、反思改进措施等

对于乘积季节模型中数据的分解,学生一时难以接受,应辅以实例详细分析

备注

 

 

 

分课时教案

知识单元名称

指数平滑预测模型

课次

18

授课类型

理论课R讨论课实验课习题课其他

学时

2

课程目标与要求

会利用指数平滑方法进行序列预测

本单元重点

与难点内容

重点:简单指数平滑,Holt两参数指数平滑

难点: Holt-Winters三参数指数平滑

教学内容

一、简单指数平滑

简单指数平滑模型

简单指数平滑方法的设计既考虑到了时间间隔的影响,又不影响预测值的无偏性。所以它是一种简单好用的无趋势、无季节效应序列的预测方法。

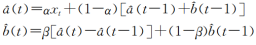
二、Holt两参数指数平滑

Holt两参数指数平滑就是分别使用简单指数平滑的方法,结合序列的最新观察值,不断修匀截距a(t)和斜率项b(t),递推公式如下

三、Holt-Winters三参数指数平滑

1.加法模型

季节加法模型的一般表达

2.乘法模型

季节乘法模型的一般表达

课程思政

讲授本章内容应重点结合我国的宏观经济和社会数据、企业经营管理数据讲授时间序列

指数平滑方法。尤其是要求学生选择反映中国特色社会主义建设成就的数据进行分析。

教学过程设计:

教学方法及手段、课堂互动题设置、教学改革措施等

教学过程设计:PPT讲授

课堂互动题设置:季节加法模型季节乘法模型的等价表达式?

 

作业与

思考题设置

教材P214页第3-5

学习效果、学生反馈、反思改进措施等

Holt-Winters三参数指数平滑方法相对比较复杂,今后可以简化此部分的讲解。

备注

 

 

 

 

 

 

 

分课时教案

知识单元名称

ARIMA加法和乘法模型

课次

19

授课类型

理论课R讨论课实验课习题课其他

学时

2

课程目标与要求

掌握ARIMA加法和乘法模型

本单元重点

与难点内容

重点: ARIMA加法模型,ARIMA乘法模型

难点: ARIMA乘法模型

教学内容

一、ARIMA加法模型

季节加法模型是指序列中的季节效应和其它效应之间是加法关系

简单季节模型通过简单的趋势差分、季节差分之后序列即可转化为平稳

二、ARIMA乘法模型

使用场合

序列的季节效应、长期趋势效应和随机波动之间有着复杂地相互关联性,简单的季节加法模型不能充分地提取其中的相关关系

构造原理

短期相关性用低阶ARMA(p,q)模型提取

季节相关性用以周期步长S为单位的ARMA(P,Q)模型提取

假设短期相关和季节效应之间具有乘积关系,模型结构如下

课程思政

讲授本章内容应重点结合我国的宏观经济和社会数据、企业经营管理数据讲授时间序列ARIMA建模。尤其是要求学生选择反映中国特色社会主义建设成就的数据进行分析。

教学过程设计:

教学方法及手段、课堂互动题设置、教学改革措施等

教学过程设计:PPT讲授

作业与

思考题设置

教材P215-216页第7-9题

学习效果、学生反馈、反思改进措施等

季节性模型的ACF  PACF的求解是建立在ARMA模型的ACF  PACF已知公式的基础上的,要注意阐述为何能有现有的公式进行计算。

备注

 

 

 

分课时教案

知识单元名称

ARIMAX模型,干预分析

课次

20

授课类型

理论课R讨论课实验课习题课其他

学时

2

课程目标与要求

掌握ARIMAX模型,理解干预分析模型

本单元重点

与难点内容

重点: ARIMAX模型,干预分析模型

难点: ARIMAX模型的建模,干预分析模型

教学内容

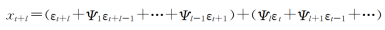
一、传递函数模型

          1976年,Box和Jenkins采用带输入变量的ARIMA模型为平稳多元序列建模。他们建立的这个模型简记为ARIMAX模型。因为该模型引入了自回归系数多项式和移动平均多项式结构,所以也称为传递函数模型。

          ARIMAX模型结构

二、干预分析模型

干预分析的定义

时间序列常常受到某些外部事件的影响,诸如:假期,罢工,促销,或者政策的改变等。我们称这些外部事件为“干预”。评估外部事件对序列产生的影响的分析,称为干预分析(intervention analysis)。

干预分析的产生背景

最早的干预分析是1975年Box和刁锦寰(Tiao)对加州63号法令是否有效抑制了加州空气污染问题的研究。他们首次将干预事件以虚拟变量的方式进行标注,然后把虚拟变量作为输入变量引入序列分析,构建ARIMAX模型。

干预分析的实质

所谓干预模型实际上是带虚拟变量回归的ARIMAX模型,所以干预模型实质上就是ARIMAX模型的一种特例。

干预模型是进行政策效果评估或分析特殊事件影响的有用模型。而干预模型的关键是将干预事件以虚拟变量的形式引入响应序列分析。

课程思政

干预分析模型是华人统计学家刁锦寰教授首次提出,通过此知识点引导学生激发爱国情怀,树立学生为经济社会发展做贡献的责任感,认识到大学生肩膀上承担的历史责任

教学过程设计:

教学方法及手段、课堂互动题设置、教学改革措施等

教学过程设计:PPT讲授

课堂互动题设置:干预分析产生的背景

作业与

思考题设置

查找2010年上海世博会期间外国游客数据,运用干预分析分析上海世博会前后外国游客数量的变化。

学习效果、学生反馈、反思改进措施等

干预分析在旅游、水文等数据分析中有广泛的应用,今后可以布置一些相关的课程设计题给学生课后练习。

备注

 

 

 

 

分课时教案

知识单元名称

伪回归,协整模型

课次

21

授课类型

理论课R讨论课实验课习题课其他

学时

2

课程目标与要求

理解伪回归产生的原因,协整模型产生的背景

本单元重点

与难点内容

重点: 理解伪回归产生的原因,会建立协整模型

难点: 建立协整模型

教学内容

1.  伪回归

2.  协整模型

2.1单整与协整

一、单整的概念

二、单整序列的性质

三、协整的概念

2.2协整模型

一、假设条件

二、EG检验

三、协整建模

2.3误差修正模型

课程思政

培养学生辩证思维能力。

教学过程设计:

教学方法及手段、课堂互动题设置、教学改革措施等

教学过程设计:PPT讲授

课堂互动题设置:造成伪回归的原因是什么

作业与

思考题设置

教材P252-253页第3-4

学习效果、学生反馈、反思改进措施等

协整理论是时间序列分析比较难也是非常主流和前沿的统计问题,这部分内容需要同学们课后多看参考文献,引导同学们了协整理论在计量经济方面的国际前沿。

备注

 

 

分课时教案

知识单元名称

Granger因果检验

课次

22

授课类型

理论课R讨论课实验课习题课其他

学时

2

课程目标与要求

理解什么是因果检验,因果关系与相关关系有何联系与区别?

本单元重点

与难点内容

重点: 理解Granger因果关系定义,会进行Granger因果检验

难点: Granger因果检验操作流程

教学内容

一、Granger因果关系定义

假设X和Y是宽平稳序列,记

则序列x是序列y的Granger原因,当且仅当y的最优线性预测函数使得下式成立:

二、Granger因果检验

假设条件:Granger因果检验认为绝大多数时间序列的生成过程是相互独立的,所以原假设是序列x不是序列y的Granger原因,备择假设是序列x是序列y的Granger原因。

检验统计量:

三、Granger因果检验的问题:Granger因果检验即使显著拒绝原假设,也不能说明两个序列间具有真正的因果关系。Granger因果检验的构造思想是:使响应变量预测精度有显著提高的自变量可以视作响应变量的因。这里面存在一个逻辑漏洞:如果变量x是变量y的因,那么知道x的信息对预测y 是有帮助的,这个结论是对的。但反过来认为,有助于预测精度提高的变量都是响应变量的因,就不一定正确了。这就意味着,在进行 Granger因果检验时,即使得出因果关系显著成立的结论,也仅仅是预测精度提高的统计显著性判断,并不意味着两个变量之间一定存在真正的因果关系。

 

 

课程思政

培养学生批判精神和创新精神。

教学过程设计:

教学方法及手段、课堂互动题设置、教学改革措施等

教学过程设计:PPT讲授

课堂互动题设置:Granger因果检验优缺点

作业与

思考题设置

请查阅文献时间序列分析里面的因果检验有哪些方法,各自的适用范围?

学习效果、学生反馈、反思改进措施等

因果检验在统计分析里面是比较难也是非常主流和前沿的统计问题,这部分内容需要同学们课后多看参考文献,引导同学们了解因果检验的国际前沿。

备注

 

 

 

 

 

分课时教案

知识单元名称

R的基础操作和数据导入

课次

23

授课类型

理论课讨论课R实验课习题课其他

学时

2

课程目标与要求

掌握R的基础操作,包括工作路径的设置,程序包的下载、调用,时间序列数据的生成等。还要熟练外部数据组织到R对象的操作,能够通过调用R的系统函数实现简单程序设计,掌握用户自定义函数和程序流程控制技巧。

本单元重点

与难点内容

重点: 熟练R的安装与基本操作

难点: 调用数据

教学内容

(1)上机练习课本程序代码,熟悉R入门必备知识;

(2)上机练习直接录入时间序列数据、导入外部数据和保存数据,熟悉R语言程序设计基础的上机操作;

3按要求完成下面实验题,并撰写实验报告:直接生成时间序列数据、外部数据文件转换和处理。

课程思政

引导学生树立强烈的爱国热情和创新意识,同时引导学生树立创新精神、养成终身学习的习惯,激发学生迎难而上、永攀科学高峰的时代精神。

教学过程设计:

教学方法及手段、课堂互动题设置、教学改革措施等

(1)采用直接录入的方式,在R语言中生成以下时间序列数据(要求用行输入和列输入)。

时间

价格

时间

价格

2005年1月

2005年2月

2005年3月

101

82

66

2005年4月

2005年5月

2005年6月

35

31

7

(2)将附录1的数据(1884年-1939年英格兰和威尔士小麦平均亩产量序列)以带分隔符的文本文件读入到R中并存为数据框x.再使用subset函数得到原数据文件的子集。

作业与

思考题设置

教材P134页第3-4把表格里面的数据用R软件导入和保存。

学习效果、学生反馈、反思改进措施等

R软件的操作需要同学们课后加强上机实践。

备注

 

分课时教案

知识单元名称

 平稳时间序列分析上机实验

课次

24

授课类型

理论课讨论课£实验课R习题课其他

学时

2

课程目标与要求

熟练掌握平稳时间序列的建模步骤,正确使用建模的方法性工具,尽可能多的提取平稳时间序列的有用信息。

本单元重点

与难点内容

重点: 综合利用平稳序列分析方法拟合数据

难点: 如何根据数据特征选择合适的平稳序列分析方法拟合数据

教学内容

1上机练习课本程序代码,熟练掌握ARMA模型的性质、平稳序列建模步骤、序列预测的上机操作;

(2)按要求完成下面实验题,并撰写实验报告:平稳时间序列分析。

课程思政

引导学生树立强烈的爱国热情和创新意识,同时引导学生树立创新精神、养成终身学习的习惯,激发学生迎难而上、永攀科学高峰的时代精神。

教学过程设计:

教学方法及手段、课堂互动题设置、教学改革措施等

(1)选择合适的模型拟合1950-2008年我国邮路及农村投递线路每年新增里程数序列,确定其口径并检验拟合模型的显著性和拟合模型参数的显著性;

(2)选择合适的ARMA模型拟合美国科罗拉多州某一加油站连续57天的OVERSHORT序列,确定其口径并检验拟合模型的显著性;

3根据1950-2008年的观察值序列预测2009-2013年我国邮路及农村投递线路每年新增里程数。

作业与

思考题设置

教材P135-136页第7-8

学习效果、学生反馈、反思改进措施等

对ARMA模型的定阶存在的问题需要用辩证的观点看待和思考,同时也需要多上机实践提高时间序列建模能力。

备注