长沙理工大学logo-快图网-免费PNG图片免抠PNG高清背景素材库kuaipng.com长沙理工大学备课纸

 

无机化学B讲稿

32课时 

教材:天津大学第5

 

水利学院241-2

 

 

罗维纬

 

 

化学化工学院

2024-20251

 


  化学反应中的质量关系和能量关系

首先,我们回顾下高中学习的知识:理想气体状态方程式

气体的最基本特征:具有可压缩性和扩散性。人们将符合理想气体状态方程式的气体,称为理想气体。理想气体分子之间没有相互吸引和排斥,分子本身的体积相对于气体所占有体积完全可以忽略。

理想气体状态方程式:

pV = nRT        R----摩尔气体常量

STP下,p =101.325kPa, T=273.15K

n=1.0 mol, Vm=22.414L=22.414×10-3m3

R=8.314 kPa-1mol-1

理想气体状态方程式的应用计算pVTn四个物理量之一。应用范围温度不太低,压力不太高的真实气体。

气体混合物中其一组分气体B对器壁所施加的单位面积上的压力,称为该气体分压(PB)它等于相同温度下,该气体单独占有与混合气体相同体积时所产生的压力。混合气体的总压力等于各组成气体分压力之和,此经验规则称道尔顿分压定律。

化学反应中还有其他很多质量关系,比如浓度,等等,这里我们就不一一回顾了。

为了更准确的讨论和计算化学反应的能量变化,我们还需要了解化学反应计量式和反应进度

化学反应计量式:根据质量守恒定律,用规定的化学符号和化学式来表示化学反应的式子,又叫做化学反应方程式。

化学计量数:化学式前的系数。以νB表示物质B的化学计量数。规定:对于反应物,νB为负,对于产物,νB为正。νB为量纲一的量。

例如:反应     aA+bB→yY+zZ

可写成   -νAA-νBB=νYY+νZZ

即:     νA=-aνB=-bνY=yνZ=z

上式可简写成:            

此式中的B代表反应物和产物。

反应进度(ξ):表示反应进行的程度或物质变化进展的程度,常用符号ξ表示,其定义为:

                       ξ=

式中,nB(0)为反应起始时刻,即反应进度ξ=0时,B的物质的量;nBξ)为反应进行到t时刻,即反应进度ξ=ξ时,B的物质的量。显然,反应进度ξ的单位为mol

例如:     反应  N2(g)+3H2(g)      2NH3(g)       ξ

起始时nB/mol        3.0   10.0        0            0

t      nB/mol        2.0   7.0         2.0          ξ

ξ= = =

  = = = =1.0mol

ξ=1.0 mol 时,表明该化学反应计量式进行了1.0 mol 反应,

表示1.0 mol N21.0 mol 3H2 反应并生成了1.0 mol 2NH3

注意:

V  对于同一化学反应方程式,无论用反应物和产物中的哪个物种的物质的量的变化值nB来求算反应进度ξ,结果都是相同的。

V 反应进度ξ是与化学反应计量式相匹配的。

例如:若上反应计量式改写为:

 

t时,           ξ= = =2.0mol

化学反应的能量关系:我们都知道,人类的生产,生活中都离不开能量,从古代的钻木取火,到后面的化石能源,及今天提倡的清洁能源,人类一直在不断探索和发现新的能源。有效利用能量,开发新的能源,是当今社会可持续发展的必然要求,也是我们化学学子的奋斗目标之一。

从十九世纪开始,人们在研究如何提高热机效率的实践中,提出了热力学的基本理论。如热力学的三大定律。在这一章的学习中,我们首先会熟悉热力学术语及相关概念,熟悉热力学第一定律,掌握化学反应热效应;掌握盖斯定律及反应热的计算。

接下来,我们来学习热力学术语和基本概念首先是,系统和环境

系统:根据热力学研究的需要从周围的物质世界中人为地划分出来的一部分称为热力学系统,简称系统,实际上就是热力学的研究对象。系统是由大量微观粒子(原子、分子和离子等)组成的宏观集合体。系统具有边界,这一边界可以是实际的界面也可以是人为确定的用来划定研究对象的空间范围。

环境:除系统以外,与系统有相互作用的一切物质都称为环境,不过,我们往往只将与系统密切相关的那部分物质作为环境。

例如:我们要研究某容器中酸碱溶液的中和反应,容器中的酸碱混合液称为系统,而溶液以外的部分称之为环境。若容器是敞开的,我们也可以将整个容器部分作为系统,即包含反应液和液面上的部分混合空气。

根据系统和环境之间物质、能量传递情况的不同,将系统分为以下三种情况:

敞开系统:系统与环境之间通过边界既有物质的传递,又有能量的传递。

自然界中所有的生物体系都可看作敞开体系,也称为开放系统。

封闭系统:系统与环境之间通过边界只有能量的传递,而没有物质的传递。

例如:在一个密闭容器中进行金属钠与水作用生成氢氧化钠和氢气并放出热量的反应,若该容器不让任何物质逸散和加入,但容器不是绝热的,除自身温度升高外,还能将热量传递到周围的空气中,则这个容器中的所有物质可以统看为一个封闭体系。

隔离系统:系统与环境之间没有任何作用。既没有物质的传递,也没有能量的交换。

实际上,绝对隔离的系统是不存在的,但由于研究的需要,我们常常将一些系统近似地看作隔离系统。如前述的密闭容器换成绝热的材料,假设还不辐射和吸收能量,则这样的系统就可看作是隔离系统。此外,系统与环境加起来,也可以看作一个大的隔离系统。

状态和状态函数

体系的状态:是体系物理性质和化学性质的综合表现。这些性质都是宏观的物理量,故又称为体系的宏观性质,如温度(T)、压强(p)、体积(V)、物质的量(n)、质量(m)、密度(ρ)等等。当体系的宏观性质都具有确定的数值而且不随时间而变化时,体系就处在一定的热力学状态,简称状态。

状态函数:若体系的宏观性质变了,状态也就随之而变,变化前的状态称为始态(initial state),变化后的状态称为终态(final state)。体系的这些宏观性质与体系的状态之间存在对应的函数关系。描述体系状态的这些宏观性质又被称为状态函数。前面提到的物理量TpVnmρ等都是状态函数。本章还将介绍一些新的状态函数。

状态函数的主要特点:

状态一定,状态函数一定;

状态变化,状态函数也随之变化,且状态函数的变化值只与始态、终态有关,而与变化途径无关。   

系统的性质之间有一定的联系,例如:pV = nRT,就描述了理想气体性质p,V,T n 之间的关系。所以描述系统状态时,选择必要的能确定系统状态的几个性质就可以了。

状态函数的这几个性质,在以后的无机化学热力学计算中起到了非常重要的作用。

过程

过程:热力学体系中发生的一切变化都称为热力学过程,简称过程。如气体的压缩与膨胀、液体的蒸发与凝固以及化学反应等等都是热力学过程,因为它们都使体系的状态发生了变化。当系统从始态到终态时,某些物质随时间发生一系列改变称为过程。

途径:系统内始态到终态可经由不同的过程,这些过程的总和称为途径。

 根据过程中系统的pVT变化特点,将过程分为以下三种情况:

 定温过程:始态、终态的温度相等,并且过程中始终保持这个温度。

 定压过程:始态、终态的压力相等,并且过程中始终保持这个压力。

 定容过程:系统的始态与终态容积相同,并且过程中始终保持同样的容积。

相:系统中物理性质和化学性质完全相同的且与其他部分有明确界面分隔开来的任何均匀部分。

分类:均相系统(或单相系统)、非均相系统(或多相系统)

热和功是系统发生变化时与环境进行能量交换的两种形式。下面我们就分别介绍一下:

热:因温度不同而在系统和环境之间传递的能量形式,常用符号Q表示,其本质是物质粒子混乱运动的宏观表现。

注意:

热力学中规定:系统吸热Q > 0;系统放热Q < 0

q 不是状态函数,其值与具体的变化途径有关。

功:系统与环境之间以除热以外的其他形式而传递的能量,常用符号W表示,如体积功、机械功、电功、表面功等,其本质是物质粒子作定向运动的结果。

注意:

          环境对系统做功W > 0;系统对环境做功W < 0

          W不是状态函数,其值与具体的变化途径有关。

可以分为体积功和非体积功

体积功:由于系统体积变化而与环境交换的功。

例如:气缸中气体的膨胀或被压缩。若忽略了活塞的质量及活塞与气缸壁间的摩擦力,活塞截面面积为A,在恒定外压过程中,系统克服外压pex 膨胀,活塞移动距离l,在定温下系统对环境做功,

W = - Fexl Fexl = pex·A

W = -pex·A·l= -pex·ΔV = -pex(V1-V2)

式中V1V2分别为膨胀后和膨胀前的气缸的容积,即气体的体积。 可见,在定容过程中系统与环境之间没有体积功的交换。

非体积功:体积功以外的所有其他形式的功为非体积功, 如电功、表面功等。在接下来的学习中,我们假设系统的非体积功为零。

热力学能

能量是物质运动的基本形式。一般系统的能量,包括以下三个部分:

1)动能由系统的运动所决定的能量。

2)势能由系统在某一外力场中的位置所决定的能量。

3)内能系统内部所有微观粒子所储藏的全部能量之和。

为了简化问题,化学热力学通常只研究静止的体系,且不考虑外力场的作用,则热力学体系的能量,也就仅指内能而言。因此,内能又称热力学能

热力学能:在不考虑系统的整体动能和势能的情况下,系统内部所有微观粒子所储藏的全部能量之和。记作U

热力学能来自于微观粒子的运动与相互作用。这些运动与作用包括分子的平动、转动和振动,分子间的相互吸引与排斥,分子内原子间的相互作用,原子内核与电子的相互作用,核内基本粒子的相互作用等。当系统内部组成的物种的物质的量以及某些条件确定之后,即系统的状态一定时,系统的热力学能就有确定的值。

注意:热力学能的绝对值不可测定。

热力学能(U)是状态函数,其变化量ΔU与途径无关。

热力学第一定律

热力学第一定律的实质是能量守恒与转化定律。即封闭系统发生状态变化时,其热力学能的变化等于过程中环境与系统传递的热与功的总和。

封闭系统的热力学第一定律的数学表达式:一封闭系统,从始态(热力学能为U1)变化到始态(热力学能为U2),在此过程中,系统从环境吸热为Q,同时环境对系统做功为W,此时,U2 - U1= q + W,即 ΔU = q + W

热力学第一定律呈现其特殊的形式:

隔离系统的过程: Q=0W=0,所以ΔU=0。即隔离系统的热力学能是守恒的。

循环过程:系统由始态经一系列变化又回复到原来状态。ΔU=0Q= -W

注意:在该课程中今后我们只研究封闭系统。

焓变和热化学方程式

1、焓和焓变

自然界中,一般的过程,包括一般的化学反应,往往只涉及体积功,很少做非体积功。仅考虑体积功时,热力学第一定律演变为   U =  q + W = q pV

注意:在该课程中今后我们仅考虑封闭系统只作体积功的情况。

反应热:在一定条件下,化学反应过程中吸收或放出的热量。

根据反应条件的不同,反应热分为:

定容反应热

对于封闭系统,在定容过程中,ΔV =0,系统的体积功W =0,若非体积功为零,则:Qv = ΔU

Qv为定容反应热。即在定容且非体积功为零的过程中封闭系统从环境吸收的热等于系统的热力学能的增加。

定压反应热

在定压过程中,体积功W= -pexΔV。若非体积功为零,则,  ΔU = Qp - pexΔV

U2 - U1 =Qp - pex(V2-V1)

因为 pex = p1 = p2

U2 - U1 = Qp - (p2V2-p1V1)

Qp = (U2 + p2V2)-(U1 + p1V1) = Δ(U - pV)

定义: H = U + pV

H = H2H1= Qp

因式中U pV 均为状态函数,故H也为状态函数,称为焓,H称为焓变。

Qp为定压反应热。即在定压和不做非体积功的过程中,封闭系统从环境所吸收的热等于系统焓的增加。

注意:

          焓是状态函数。因为U pV 均为状态函数,故H也为状态函数。

          焓是一个具有能量量纲的抽象的热力学函数,其本身的物理意义并不象热力学能U那样明确。

          H的绝对值无法确定。由于体系内能U的绝对值不能确定,H的绝对值也无法确定。

          热力学中规定:吸热反应H > 0;放热反应H < 0

          理想气体的焓只是温度的函数。

2.热化学方程式

(1) 反应的摩尔热力学能变ΔrUm和反应的摩尔焓变ΔrHm

化学反应的反应进度变化量为ΔξΔξ=ξ-0=ξ),反应的热力学能变和焓变分别为ΔUΔH,则:

                

                

意义:反应进度为1mol时,热力学能的变化量和焓的变化量。

标准状态

某些热力学量(如热力学能U、焓H等)的绝对值是无法测量的,但我们能测量其状态变化所引起的变化值,因此,我们就要为物质的状态定义一个基线。或标准态就是这样一个基线。

标准状态:标准压力 =100kPa下物质确切的聚集状态

气态的标准态:温度为T,压力为 下并表现出理想气体特性的气体纯物质B(假想)状态。

液态(或固态)的标准态:温度为T,压力为 下液体(或固体)纯物质B的状态。

液体溶液中溶剂和溶质的标准态:温度为T 压力为 ,溶液中溶剂以纯物质的状态为标准态;溶液中的溶质以质量摩尔浓度bB= =1mol·kg-1,并表现出无限稀释溶液特性时溶质B的(假想)状态。(无机化学中作以下近似处理 bc

注意:

标准状态对热力学温度T未作具体规定。不过,许多热力学数据多是在T=298.15K下得到的,所以若未加特殊提示,本课程中涉及到的热力学函数均以298.15K为参考温度。

热化学方程

热化学方程式:表示化学反应及其反应热(标准摩尔焓变)关系的化学反应方程式

例如:2H2(g) + O2(g)→2H2O(g)                   

含义:

在温度为298.15K的定压过程中,诸气体压力均为标准压力 (100kPa)下,反应进度为1mol时,该反应的标准摩尔焓变

注意:

注明物质的聚集状态,化学反应计量式中各物质的聚集态不同, 不同。

2H2(g) + O2(g)→2H2O(l)                  

反应计量式须配平,且 必须与反应计量式相匹配。

                

注明反应温度,但焓变随温度改变变化不大。本课程中,有时对常温常压下的热化学方程式不注明反应条件,多以 (298K)表示之。

CH4(g) + H2O →COg+ 3H2g   

 

3.  ΔrUmΔrHm的关系

 根据热力学第一定律:

   

对于无气体参加的反应:W = –pex ΔV = 0

 

对于有气体参加的反应:

 

 

 

的数值与 的数值相差两个数量级,所以 相差甚小。

结论: 对于化学反应   

标准摩尔生成焓(重点)

标准生成焓:在温度T下,由参考态的单质生成物质B(νB= +1)的反应的标准摩尔焓变。记作: (B,相态,T), 单位kJ·mol-1

注意:标准摩尔生成焓是物质B的生成反应的标准摩尔焓变。

参考状态单质:一般是温度为T,压力为 时物质最稳定的状态,但个别情况下,按习惯指定参考态。

例如: H2(g)O2(g),石墨,白磷P4(s,)(而实际上白磷不及红磷和黑磷稳定)。

在任何温度下, (参考态单质,T)=0

各种物质的 多数小于零

同类型化合物的 与稳定性的关系:利用化合物的标准摩尔生成焓可以比较相同类型化合物的相对稳定性。化合物的标准摩尔生成焓越小,化合物越稳定。

Hess定律

Hess(盖斯)在大量实验的基础上总结出:一个化学反应不管是一步完成或是分几步完成,它的反应热都是相同的

由于化学反应一般都在恒压或恒容条件下进行,而恒压反应热Qp=H,恒容反应热Qv=UHU都是状态函数,其HU只取决于始态和终态,与所经历的途径无关。

Hess定律更准确的表述为:在不作非体积功、恒压或恒容条件下,任何一个化学反应不管是一步完成还是分几步完成,其反应热只决定于体系的始态和终态,与反应所经历的途径无关。

盖斯定律是热化学计算的基础。

Hess定律的应用1.利用热化学方程的组合计算

例如:已知298.15K下,反应:

C(s) + O2(g) →CO2(g)          (1)= -393.57kJ·mol-1

CO(g) + O2(g) → CO2(g)     (2)=-282.98kJ·mol-1

计算反应 

解:反应可以通过两种途径来实现

根据Hess定律,

 (1)= (3) + (2)

 (3)= (1)- (2)

= [-393.51-(-282.98)]kJ·mol-1

= -110.53kJ·mol-1

分析,,三个方程的关系可知:方程减去方程得到方程,而

(3)= (1)- (2)

由此我们可以得出结论:多个化学反应计量式相加(或相减),所得化学反应计量式的 (T)等于原各计量式的 (T) 相加(或相减)

 

Hess定律的应用:由标准摩尔生成焓计算

计算公式为:

由此,我们可以得出:在定温定压过程中,化学反应反应的标准摩尔焓变等于产物的标准摩尔生成焓之和减去反应物的标准摩尔生成焓之和。

Hess定律的应用3:由标准摩尔燃烧焓计算 (T)   

计算公式为:

 

小结,在本课程中,我们首先回顾了高中学习的知识,介绍了描述化学能量关系的相关名词,引出了新的状态函数焓,以及反应焓变、标准摩尔生成焓,通过盖斯定律求得反应过程中的焓变。本章中的化学反应的焓变计算是重点,请同学们结合课后作业,认真复习。

 


第二章   化学反应的方向、速率和限度

在化学热力学研究中,需要考察物理变化和化学变化的的方向性。实际上,自然界中任何自发变化过程都是具有方向性的,而热力学第一定律对此并没有给出任何限制。热力学第二定律恰好指出了这种宏观变化过程进行的条件和方向。

自发变化,即自发过程(spontaneousprocess)的定义:在一定条件下不需要任何外力推动就能自动进行的过程。如:水从高处自动流向低处,直到水位差等于零时为止,此时达到了力平衡;热从高温物体自动地向低温物体传递,直到温度差等于零时为止,达到热平衡;不同浓度的溶液混合时,溶质会自动地从高浓度的地方往低浓度的地方扩散,直到体系各部分浓度相同为止,达到物质平衡;锌粒投入到过量的硫酸铜溶液中会自动地发生置换反应,直到化学平衡为止。而它们的逆过程都是不可能自动进行的。

自发过程在热力学中又称为不可逆过程(irreversibleprocess)。所谓不可逆过程就是无论用什么方法都不能使体系和环境同时复原的过程,也是自然界中真实存在的过程。而可逆过程(reversibleprocess)是体系和环境可以同时复原的过程,它是一种热力学上的、理想化的自发过程,自然界并不严格存在。

自发过程的基本特征:

1)单向性。(2)具有作非体积功的本领。(3)具有一定的限度。

判断一个化学反应能否自发,对于化学研究和化工生产具有重要的意义。因为,如果事先知道一个反应根本不可能发生,人们就不必再花精力去研究它。

推动化学反应自发的因素是什么呢?

19世纪70年代,法国的贝赛罗(BerthelotPEM)和丹麦的汤姆斯(ThomsonJ)就认为只有放热反应才能自发进行。这种观点有一定的道理,因为处于高能态的体系是不稳定的,而一般来说,化学反应的能量交换以热为主。经过反应,将一部分能量以热的形式释放给环境,使高能态的反应物变成低能态的产物,体系才会更稳定。事实上,放热反应也的确大都是自发反应。由此可见,自然界中能量降低的趋势是化学反应自发的一种重要推动力。

是不是所有吸热反应都不自发呢?事实并非如此

例如,大家所熟知的KNO3溶于水的过程既是吸热的,又是自发的。又如碳酸钙的分解反应:

CaCO3(s)=CaO(s)+CO2(g)

在高温(大约840℃以上)也是自发进行的,可它是吸热反应。

因此,能量下降的趋势并不是推动化学反应自发进行的唯一因素。

考察上面所述的自发进行而又吸热的反应或过程可以发现,它们有一个共同的特征,即过程或反应发生后体系的混乱程度增大。

KNO3固体中K+离子和NO3-离子的排布是相对有序的,其内部离子基本上只在晶格点阵上振动。溶于水后,K+NO3-在水溶液中因它们的热运动而使混乱程度大增。再譬如,中国有句成语:十年成之不足,一旦毁之有余。也隐含有混乱度容易增大之意。

由此可见,混乱度增大的趋势是自发的化学反应的又一重要推动力。

在这里,人们用熵(entropy代表体系混乱度的大小常用符号S表示。体系的混乱度越大,熵值越大。热力学已经证明,熵是体系的状态函数。因此,熵变的大小也只取决于体系的始态与终态,与变化途径无关。熵变的计算公式也已由热力学导出(其推导过程已超出本教材要求的范围,此处从略),即体系的状态发生变化时,其熵变等于体系由始态至终态经可逆过程这种途径变化的热温商熵的单位是J·K-1。需要加以说明的是,体系由同一始态到同一终态,也可经不可逆过程的途径变化过去,但状态函数熵的变化值S是一样的。

熵的概念是在19世纪由克劳修斯提出的,但由于当时对这一概念缺乏物理意义的解释,故人们对熵持怀疑和拒绝的态度。直到玻耳兹曼(L.E.Boltzmann)把熵与体系状态的存在概率联系起来,使熵有了明确的物理意义,才为人们所广泛接受。

著名的玻耳兹曼关系式为:S=kΩ

式中k为玻耳兹曼常数,Ω为热力学概率即某一宏观状态所对应的微观状态数,Ω越大,混乱度越大,熵值S越大。这一关系式为宏观物理量熵作出了微观的解释,揭示了热现象的本质,奠定了统计热力学的基础,具有划时代的意义。

S是体系混乱度的一种量度。对于任何纯物质的完整晶体(指晶体内部无任何缺陷,质点排列完全有序,无杂质)来说,在绝对零度时,热运动几乎停止,体系的混乱度最低,其熵值S0为零。或者说,“热力学温度0K时,任何纯物质的完整晶体的熵值S0为零,这就是热力学第三定律(the third law of thermodynamics)。以此为相对标准求得的熵值ST称为物质的规定熵(conventional entropy),也叫绝对熵。

并不是所有物质在绝对零度时都能形成完整晶体,如玻璃体,同位素共存体,不完美晶体,质点排列方式多种的晶体等,就不是完整晶体,其绝对零度时的熵值也不为零,即相对完整晶体,它们具有非零的有限熵值.但热力学可以证明,这并不影响第三定律的应用,即规定熵概念也可以应用于非完整晶体的纯物质.

在标准状态下1mol纯物质在温度T时的规定熵称为标准摩尔规定熵,简称标准摩尔熵(standard molar entropy,SmӨ表示,单位是J·K-1·mol-1,一些物质SmӨ的数据见书末附表。要注意,稳定单质的标准摩尔熵不为零,因为它们不是绝对零度的完整晶体。

需要指出的是,水溶液中离子的SmӨ,是规定在标准状态下水合H离子的标准摩尔熵值为零的基础上求得的相对值。

根据熵的意义,物质的标准摩尔熵SmӨ值一般呈现如下的变化规律:

1)同一物质的不同聚集态,其SmӨ值是:

SmӨ(气态)>SmӨ(液态)>SmӨ(固态)

2)对于同一种聚集态的同类型分子,复杂分子比简单分子的SmӨ值更大,如

SmӨCH4,g<SmӨ (C2H6,g)< SmӨ (C3H8,g)

3)当压强一定时,对同一聚集态的同种物质,温度升高,熵值加大。

4)在温度一定时,对气态物质,加大压强,熵值减小;对固态和液态物质,压强改变对它们的熵值影响不大。

下面,我们来计算化学反应熵变由标准摩尔熵SmӨ (T)可计算任一化学反应的标准熵变rSmӨ (T)

设化学反应为:

aA+dD=eE+fF

rSmӨ (T)=(eSӨE+fSӨF)产物-(aSӨA+dSӨD)反应物=∑υBSBӨ (B,T)

υB为相应物质的化学计量数。此外,由于温度改变时SmӨ(产物)的改变和SmӨ(反应物)的改变相近,而书后附录中标准摩尔熵SmӨ298.15K时的数据,故可以近似认为:

rSmӨTrSmӨ298.15K

例题:

铁的氧化反应为:4Fe(s)+3O2(g)=2Fe2O3(s)

查附录可知,相关物质Fe(s)O2(g)Fe2O3(s)298.15K下的标准摩尔熵SmӨ分别为27.28J·mol-1·K-1205.14J·mol-1·K-187.40J·mol-1·K-1

试计算在298.15K下该反应的标准摩尔熵变fSmӨ (298K)

解:因为fSmӨ (298K)=∑υBSBӨ (B,298K)

fSmӨ (298K)=2SmӨ [Fe2O3(s)]–4SmӨ [Fe(s)]-3SmӨ [O2(g)]

=2×87.40J·mol-1·K-1–4×27.28J·mol-1·K-1-3×205.14J·mol-1·K-1

=-549.74J·mol-1·K-1

由自然界中的自发变化可见:任何体系在没有外界影响时,总是单向地趋于某种极限状态——热力学平衡态,而决不可能自动地逆向进行。这一结论就是热力学第二定律(thesecondlawofthermodynamics)

在热力学体系中,体系能量的变化是通过与环境交换热或功来实现的。对于与环境之间既无物质的交换也无能量的交换的孤立体系来说,推动体系内化学反应自发进行的因素就只有一个,那就是熵增加。因此,引入熵的概念之后,热力学第二定律又可表述为:在孤立体系内,任何变化都不可能使熵的总值减少。也称熵增加原理(principleofentropyincrease)。其数学表达式为:S孤立≥0

式中S孤立表示孤立体系的熵变。如果变化过程是自发过程,S孤立>0;如果体系处于平衡状态,S孤立=0;总之熵有增无减。

实际上,熵增加原理也是孤立体系中过程能否自发进行或体系是否处于平衡状态的判断依据,简称熵判据.

真正的孤立体系是不存在的,因为体系和环境之间总会存在或多或少的能量交换。如果我们把与体系有相互作用的那一部分环境也包括进去,就构成了一个新的体系,这个新体系可以看成是一个大的孤立体系,其熵变为S为:S=S体系+S环境

S0自发变化

S0非自发变化

S=0平衡状态

利用该式我们可以解决化学反应自发进行方向的判断问题。只要算出体系的熵变和环境的熵变的两者之和即可,但应用起来很不方便,既要计算体系的熵变又要计算环境的熵变。对于环境熵变的计算,有时是很复杂的,有时还不好计算。

对于某些化学反应,体系的熵变S体系正好是反应的熵变。,热力学研究结果表明,对于定温定压下环境的熵变正比于反应的焓变rH的负值,反比于环境的热力学温度(绝对温度),即

S环境=-

虽然,在这里对此式不能推导,但仍然能够比较形象地说明之。因为体系在定压条件下反应,若放热反应,则体系给予环境的热等于反应焓变H体系,而对于环境来说,相当于环境以可逆过程从体系吸收的热Qr环境,所以Qr环境=-H体系,之所以说环境此时近似于可逆过程,是由于大环境从反应吸收的热仅仅引起微小的变化。故,仍可以认为环境保持恒温,环境的熵变就可以直接用其可逆过程的热温商来计算

 

在判断化学反应自发性和方向时,如果能够找到一个即不用考虑环境因素,只需考虑体系本身的情况,就可以解决大多数化学反应的自发性和方向问题的判据,将更为方便。为此,有必要引入新的热力学函数,以作为在相应条件下,过程自发或反应自发的方向及限度的判断依据。而大多数化学反应都是在定温定压条件下进行的,且自发的化学反应又属于热力学上的自发过程。在定温定压下S=S体系+S环境=S体系-=S-以热力学温度T同时乘以等式两边,得

TS=TS-HG=-TS

G=H-TS该式被称为GibbsHelmholtz公式。

Gibbs函数被定义为:G=H–TSG又被称为Gibbs自由能。GGibbs函数变或Gibbs自由能变。G由状态函数HTS组合而成,故组合值G也是体系的状态函数,并且与H有相同的单位。根据GS的关系,可由熵判据得到Gibbs函数判据或Gibbs自由能判据:在不做非体积功和定温定压下,任何自发变化总是体系的Gibbs自由能减少。

S0GT,P0反应正向自发(不可逆过程)

S=0GT,P=0反应体系处于平衡状态(可逆过程)

S0GT,P0反应正向不自发(不自发过程)

 

根据Gibbs自由能的定义,G=H-TS,则在定压定温条件下,状态变化的自由能变GT,P为:

GT,P=H-(TS)=H-TS-ST=H-TS

GT,P=HT-TST

上式就是著名的GibbsHelmholtz公式。此公式把影响过程自发或化学反应自发的两个因素:能量变化(这里表现为恒压过程热或恒压反应热H)与混乱度变化量度(即过程熵变或反应熵变S)完美地统一起来了。从GibbsHelmholtz公式可以看出,温度T对吉布斯自由能变G也有明显影响。相对而言,不少变化过程的HS随温度变化的改变值很小,故一般可不考虑温度THS的影响,但不能忽略温度TG的影响。

在不同温度下过程自发或反应自发进行的方向取决于HTS值的相对大小。现分别讨论如下(为了简便,在此讨论中省略了热力学函数的下标表示):

根据Gibbs函数判据,G≤0,即H-TS≤0反应正向自发或达到平衡。则:

(1)H0S0,即放热、熵增加的过程或反应,按GibbsHelmholtz公式,在任何温度下均有G0,即任何温度下过程或反应都可能正向自发。

(2)H0S0,即吸热、熵减小的过程或反应,由于两个因素都对反应自发进行

不利,按GibbsHelmholtz公式,在任何温度都有G0,此类情况正向总是不可能自发进行。

(3)H0S0,即放热、熵减小的过程或反应,按式GibbsHelmholtz公式,低

温有利于过程或反应正向自发进行。

(4)H0S0,即吸热、熵增加的过程或反应,按GibbsHelmholtz公式,高温有利于过程或反应正向自发进行。

从上面的分析可以看出,当HS这两个影响反应自发性的因素都有利于反应自发进行,或都不利于反应的自发进行时,企图通过调节温度来改变反应自发性的方向是不可能的。只有HS这两个因素对自发性的影响相反(二者正、负符号相同的情况),即一个有利,另一个不利时,才可能通过改变温度,来改变反应自发进行的方向,而G=0时的温度,即化学反应达到平衡时的温度,也叫称为转变温度

T转变=

在放热熵减的情况下,这个温度是反应能正向进行的最高温度;在吸热熵增的情况下,这个温度是反应能正向进行的最低温度。

 

对于任意一定压定温不做非体积功的化学反应:

aA+dD=eE+fF

根据GibbsHelmholtz公式,该反应的Gibbs自由能变为

rGT,P=rH(T)-TrS(T)

若定压条件为标准压强PӨ,则是反应的标准自由能变,即:

rGmӨT=rHmӨ (T)-TrSmӨ (T)

其中rHmӨ (T)=(efHEӨ+ffHFӨ)产物-(afHAӨ+dfHDӨ)反应物

rSmӨ (T)=(eSEӨ+fSFӨ)产物-(aSAӨ+dSDӨ)反应物

因此,只要能够计算出rGӨmT)的结果,便可以判断标准态下化学反应自发进行的方向。

例题:已知fHmӨ [C6H6(l),298K]=49.10kJ·mol-1fHmӨ [C2H2(g),298K]=226.73kJ·mol-1

SmӨ [C6H6(l),298K]=173.40J·mol-1K-1SmӨ [C2H2(g),298K]=200.94J·mol-1K-1。试判断:

反应C6H6(l)=3C2H2(g)298.15K,标准态下正向能否自发?并估算最低反应温度。

解:根据GibbsHelmholtz公式

rGmӨT=rHmӨ (T)-TrSmӨ (T)

rGmӨ298K=rHmӨ (298K)-TrSӨm(298K)

rHmӨ (298K)=3rHmӨ [C2H2(g),298K]rHmӨ [C6H6(l),298K]

=3×226.73kJ·mol-11×49.10kJ·mol-1

=631.09kJ·mol-1

rSmӨ (298K)=3SmӨ [C2H2(g),298K]SmӨ [C6H6(l),298K]

=3×200.94J·mol-1K-11×173.40J·mol-1K-1

=429.42J·mol-1K-1

rGmӨ298K=631.09kJ·mol-1298.15K×429.42×10-3kJ·mol-1K-1

=503.06kJ·mol-10正向反应不自发。

若使rGmӨT=rHӨm(T)-TrSӨm(T)0,则正向自发。

又因为rHӨmrSӨm随温度变化不大,即

rGӨmTrHӨm(298K)-TrSӨm(298K)0

T631.09kJ·mol-1/429.42×10-3kJ·mol-1K-1=1469.6K

故最低反应温度为1469.6K

 

GibbsHelmholtz公式计算化学反应的标准吉布斯自由能变rGmӨ,涉及到恒压反应热和反应熵变的计算,非常烦琐。如果人们把一些特殊反应的rGmӨ的已知数据列成表,采用与反应热求算相类似的方法,就可以更加简便地计算任一化学反应的自由能变。

由于G是状态函数,化学反应的G也应该只取决于始、终态,与所经历的途径无关。因此,其Gibbs自由能变应为:

rG=∑G(产物)-∑G(反应物)

G=H-TS看,虽然我们可以求出反应温度T下的规定熵S,但我们无法知道H的绝对值,因此也无法确定自由能G的绝对值。要计算反应的rG,就得用类似由标准生成焓计算反应热的方法解决。

由最稳定单质生成1mol物质的生成反应的Gibbs自由能变称为该物质的摩尔生成Gibbs函数。在标准状态下某物质的摩尔生成Gibbs函数称为该物质的标准摩尔生成Gibbs函数标准摩尔生成自由能standardmolarfreeenergyofformation,符号fGmӨ,单位为kJ·mol-1

按照标准摩尔生成自由能fGmӨ的定义,热力学实际上已规定稳定单质的标准摩尔生成自由能为零。像fHmӨ一样,fGmӨ也是相对值。各种物质的fGmӨ数据见书末附录。

热力学可证明,利用书末附表中查到的fGmӨ值(表中一般是289.15K的数据),按照盖斯定律求反应热的方式,通过加、减的方法可以求算在298.15K、不做非体积功条件下的任一化学反应的标准自由能变rGmӨ。如化学反应为:

aA+dD=eE+fF

rGӨm(298K)=(efGӨE+ffGӨF)产物-(afGAӨ+dfGDӨ)反应物

=∑υBfGBӨ (298K)

注意,与fHmӨfSmӨ不同,温度对fGmӨ有很大影响。

下面我们举例说明:

已知在298.15KNH3(g)的标准摩尔生成自由能fGmӨ-16.45kJ·mol-1,计算合成氨反应:N2(g)+3H2(g)=2NH3(g)rGmӨ298K)。

解:根据合成氨的反应方程式

rGmӨ298K=2fGmӨ [NH3(g)][1×fGmӨ [N2(g)]+3fGmӨ [H2(g)]

=2×(-16.45kJ·mol-1)0kJ·mol-1

=-32.90kJ·mol-1

 

rGmӨ只可以判断标准态下化学反应自发进行的方向。实际应用中,反应混合物很少处于相应的标准状态。反应进行时,气体物质的分压和溶液中溶质的浓度均在不断变化之中,直至平衡,rGm=0rGm不仅与温度有关,而且与体系组成有关。

通过热力学可导出化学反应在定压定温(非标准态)条件下Gibbs自由能变rGm的计算公式,即rGm与体系组成之间的关系:

rGT,P=rGTӨ+RT1nJ

此式称为化学反应等温方程式。式中rGT,P是温度为T的非标准态下反应的Gibbs自由能变,J为反应商。所谓非标准态,是指定压定温条件中参与反应的气体的瞬时分压不是标准压强pӨ,参与反应、处于溶液状态的物种的瞬时浓度不是标准浓度cӨ(1mol·L-1)rGTӨ是该反应在标准态下摩尔自由能变,即此时参与反应的气体的瞬时分压为标准压强pӨ,参与反应、处于溶液状态的物种的瞬时浓度为标准浓度cӨR是气体常数,T是热力学温度。

若化学反应为aA(aq)+dD(s)=eE(aq)+fF(g)属多相反应,且气相为理想气体,忽略压强对液、固相的影响。则反应商J的表达式为:

J=

其中参与反应的气体物质以相对分压表示;参与反应、处于溶液状态的物质以相对浓度表示;参与反应的纯液体和纯固体物质,其相对浓度等于1或者活度a=1,则不必写入反应商J的表达式中。

如多相反应Zn(s)+2H(aq)=Zn2(aq)+H2(g),其反应商J的表达式为:

J=

 

通常,化学反应都具有可逆性。当然,有些化学反应几乎能进行到底,如氯酸钾分解反应,在MnO2催化下KClO3基本上能全部转变为KClO2。又如,放射性元素的蜕变、氯与氢或氧与氢的爆炸式反应等,这些反应称为不可逆反应。实际上绝大多数化学反应都是不能进行到底的反应,也就是可逆反应(reversiblereaction)。可逆反应并非热力学中的可逆过程,其正向反应是一个自发过程,其逆向反应也是一个自发过程。只是不同的反应,其可逆程度不同而已。

我们把在一定条件(温度、压强、浓度等)下,当正反两个方向的反应速率相等时,反应物和产物的浓度不再随时间而变化的状态,称为化学平衡(chemicalequillibrium),这也就是化学反应所能达到的最大限度。只要外界条件不变,这个状态就不再随时间而变化,但外界条件一旦改变,平衡状态就要发生变化。平衡状态从宏观上看似乎是静止的,但实际上这并不意味着反应已经停止,从微观上看是一种动态平衡。此外,还应说明的是,化学平衡是指原始的反应物和最后产物之间达成的平衡,它与反应的一步或分几步进行无关。

在一定条件下不同的化学反应进行的程度是不相同的,而且同一反应在不同的条件下,它进行的程度也有很大的差别。在给定条件下,如何控制反应条件从而确定反应进行的最大限度?这些都是化学平衡所研究的问题。化学平衡不仅在解释许多纯化学性质的过程和反应中是重要的,而且在解释包括血液、体液和细胞物质的生命体系以及腺分泌的过程等也是重要的。

可逆反应的例子很多,如:

CO+H2O——CO2+H2

Sn2+(aq)+2Fe3+(aq)——Sn4+(aq)+2Fe2+(aq)

可逆反应处于化学平衡状态时,具有如下基本特征:

1)系统的组成不再随时间而变。

2)化学平衡是动态平衡。

3)平衡组成与达到平衡的途径无关。

 

对任意一可逆的化学反应aA+dD=eE+fF,其非标准态下Gibbs自由能变rGm可用化学反应等温方程式计算:

rGT,P=rGTӨ+RT1nJ

当反应达到平衡时,反应的自由能变rGTP=0,此时反应物和产物的浓度或分压为平衡浓度或平衡分压,不再随时间变化,即宏观上反应不再继续进行,这也就是化学反应的限度。此时的反应商J,即为标准平衡常数standard equilibrium constant),用符号KӨ表示,代入上式,得:

0=rGTӨ+RT1nKӨ

rGTӨ=-RT1nKӨ

此式也就是由标准Gibbs自由能变计算化学反应的标准平衡常数的公式。在同一化学反应中,标准平衡常数KӨ的表达式与反应商J的表达式相同,只是标准平衡常数KӨ的表达式中cAcDPAPDcEcFPEPF分别表示反应物和产物的平衡浓度或平衡分压;而反应商J的表达式中cAcDPAPDcEcFPEPF分别表示反应物和产物的瞬时浓度或瞬时分压。

如多相反应Zn(s)+2H(aq)=Zn2(aq)+H2(g),其标准平衡常数KӨ的表达式为:

KӨ=

标准平衡常数KӨ与温度有关,与浓度或分压无关。KӨ是一个无量纲的物理量。

此外,标准平衡常数的数值和标准平衡常数的表达式都与化学反应方程式的写法有关。如合成氨的反应:

N2(g)+3H2(g)=2NH3(g)

KӨ1=

N2(g)+H2(g)DNH3(g)

KӨ2=

在温度相同时,KӨ1KӨ2的数值不一样,两者之间的关系为K1Ө=K2Ө2。为方便起见,标准平衡常数KӨ的写法仍将沿用习惯性的平衡常数K的表达,但实际上平衡常数K的数据都是标准平衡常数KӨ的数据,特此说明。

例题:求298.15K时反应2SO2(g)+O2(g)D2SO3(g)的标准平衡常数KӨ。已知fGmӨ (SO2) = -300.2 KJ·mol-1fGmӨ (SO3)=-371.1KJ·mol-1

解:该反应的rGmӨ为:

rGmӨ=2fGmӨ (SO3)-2fGmӨ (SO2)-fGmӨ (O2)

            =2×(-371.1KJ·mol-1)-2×(-300.2KJ·mol-1)–0KJ·mol-1

=-141.8KJ·mol-1

rGmӨ=-RT1nKӨ

1nKӨ=-rGӨm/RT

==57.2

KӨ=7.0×1024

确定标准平衡常数数值的最基本方法是实验测定,只要测定实验平衡常数,就可通过它与标准平衡常数的关系计算得到。如四氧化二氮的分解反应乃典型的可逆反应:

N2O4(g)2NO2(g)

实验测定表明,在373K、反应达平衡时,NO2N2O4的物质的量浓度按下式求出的比值为一常数,即:

K==0.36

式中K称为实验平衡常数(experimental equilibrium constant)。当参与反应的物质在式中的浓度项或分压项直接用浓度(以物质的量浓度为单位)或分压(以kPa为单位)表示时,其实验平衡常数表达式与标准平衡常数的表达式基本相同(数值上可能有所不同);唯一的不同在于标准平衡常数表达式中的浓度项或分压项是用相对浓度或相对分压来表示的。实验平衡常数KcKp表达式的书写原则也大体与标准平衡常数KӨ的相同。

对于任意一溶液中的反应:

aA+dD=eE+fF

实验测定表明,当反应达到平衡时,若反应物的平衡浓度为[A][D]和产物的平衡浓度为[E][F],则它们之间的关系可用下式表示:

Kc=

式中Kc称为浓度平衡常数;反应物和产物的平衡浓度皆为物质的量浓度。如果a+d=e+f,则Kc无单位;如果a+d≠e+f,则Kc有单位,其单位为(mol·L-1e+f-a+d。其实,不论Kc有无单位,KӨKc在数值上是相等的。

若上述反应为气相反应,则:

Kp=

式中,pA)、pD)和pE)、pF)分别为反应物和产物的平衡分压,单位为kPaKp称为分压平衡常数。当a+d=e+f时,Kp无单位,Kp在数值上等于KӨ;当a+d≠e+f,Kp有单位,Kp的数值不等于KӨ。若反应物和产物的平衡分压,单位为标准大气压,则Kp也称为分压平衡常数。当a+d=e+f时,Kp无单位,Kp在数值上等于KӨ;当a+d≠e+f,Kp有单位,Kp的数值仍然等于KӨKcKp均称为实验平衡常数。实验平衡常数值越大,化学反应正向进行的程度越彻底,这一点与KӨ是相同的。实验平衡常数在化学平衡的计算中仍在广泛应用。

下面我们举例学习KӨ的应用:

在一定条件下,化学反应达到平衡时,正、反两个方向的反应速率相等,平衡组成(反应物和产物的浓度)不再随时间而变化。这表明反应物向产物转变达到了最大限度。

KӨ的数值反映了化学反应的本性,KӨ值越大,正向反应可能进行的程度越大;KӨ值越小,正向反应进行得越不完全。因此,标准平衡常数KӨ是一定温度下,化学反应可能进行的最大限度的量度。

反应进行的程度也常用平衡转化率来表示。A物质的平衡转化率αA)被定义为:

式中为n0A)反应开始时A的物质的量;neqA)为平衡时A的物质的量。KӨ越大,往往αA)也越大。

 

rGӨT=-RT1nKӨ代入rGT,P=rGӨT+RT1nJ中,可得:

rGT,P=-RT1nKӨ+RT1nJ

此式是化学反应等温方程式的另一表达形式。从上式可知,比较标准平衡常数KӨ与反应商J的相对大小,可以判断定压定温、不做非体积功时,化学反应自发进行的方向:

JKӨ时,则rGT,P0,正向反应自发;

J=KӨ时,则rGT,P=0,化学反应达到平衡;

JKӨ时,则rGT,P0,逆向反应自发。

这也是预测可逆反应方向的重要判据。如果反应商J不等于标准平衡常数KӨ,就表明反应体系处于非平衡态,此时体系具有从正向或逆向自动地朝着平衡态运动的趋势。对于化学反应来说,就是存在自发进行反应的趋势。J值与KӨ值相差越大,从正向或逆向自发进行反应的趋势就越大。

另外,若已知反应体系的起始组成,利用KӨ可计算平衡时反应体系的组成。

例题:已知反应CO(g)+Cl2(g)=COCl2(g)

在定温恒容条件下进行,373KKӨ=1.5×108

反应开始时c0(CO)=0.0350mol·L-1c0(Cl2)=0.0270mol·L-1c0(COCl2)=0。计算373K反应达到平衡时各物种的分压和CO的平衡转化率。

解:pV=nRT因为TV不变,pnBp=cRT

p0(CO)=(0.0350×8.314×373)kPa=106.3kPa

p0(Cl2)=(0.0270×8.314×373)kPa=82.0kPa

CO(g)+Cl2(g)=COCl2(g)

开始cB/(mol·L-1)     0.035  00.0270   0

开始pB/kPa         106.3   82.0     0

假设Cl2全部转化106.3-82.0  0    82.0

又设COCl2转化      x       x     -x

平衡pB/kPa         24.3+x    x    82.0-x

KӨ===1.5×108

因为K很大,x很小,假设82.0-x≈82.024.3+x≈24.3

=1.5×108x=2.3×10-6

平衡时:p(CO)=24.3kPap(Cl2)=2.3×10-6kPap(COCl2)=82.0kPa

=

=77.1%

化学平衡都是相对的,暂时的。当外界条件改变时,平衡就会被破坏,各种物质的浓度(或分压)也会改变,反应将继续进行,直到在新的条件下建立新的平衡。这种由于条件变化导致化学平衡移动的过程,称为化学平衡的移动(shiftofchemicalequilibrium)。

对于任意一化学反应,其定压定温下的Gibbs自由能变为:

rGT,P=-RT1nKӨ+RT1nJ

如果反应商与标准平衡常数的关系为:J=KӨ,则rGT,P=0,反应达到平衡。当增加反应物的浓度或减少产物的浓度时,将使J<KӨ,则rGT,P<0,将打破原有平衡,正向反应将自发进行,直到再一次使J=KӨ,反应建立新的平衡为止。反之,如果增加产物的浓度或减少反应物的浓度,将导致J>KӨrGT,P>0,逆向反应将自发进行,直至新的平衡。

压力对液相和固相反应的平衡几乎没有影响,但对于气体参与的任意一化学反应:

aA+dDeE+fF

增加反应物的分压或减少产物的分压,都将使J<KӨrGT,P<0,平衡向右移动。反之,增大产物的分压或减少反应物的分压,将使J>KӨrGT,P>0,平衡向左移动。这与浓度对化学平衡的影响完全相同。

对于一个已达平衡的气相反应,如果增加或减小体系的总压,将分以下两种情况对化学平衡产生影响:

a+d=e+f,即反应物气体分子总数与产物气体分子总数相等,则增加总压与降低总压都将不会改变J值,仍然维持J=KӨ,化学平衡将不发生移动;

如果反应物气体分子总数与产物气体分子总数不相等,即a+d≠e+f,改变总压将改变J值,使J≠KӨ,平衡将发生移动。增加总压力,平衡将向气体分子总数减少的方向移动。减小总压力,平衡将向气体分子总数增加的方向移动。

浓度或压力对化学平衡的影响只改变J值,而不改变标准平衡常数KӨ。而温度对化学平衡的影响却完全不同,因为由标准自由能变计算化学反应的标准平衡常数的公式可知,温度改变,KӨ值也将发生改变。即:

rGmӨ=-RT1nKӨ又因为rGmӨ=rHmӨ–TrSmӨ

故将两式合并,可得:

1nKӨ=-+

设在温度为T1T2时反应的标准平衡常数分别为K1ӨK2Ө,并假定温度对rHmӨrSmӨ的影响可以忽略,则

11nK1Ө=-+

21nK2Ө=-+

由(2-1)得:

ln=

上式表示了标准平衡常数KӨ与温度的关系。通过测定不同温度T下的KӨ值,用1nKӨ1/T作图可得一直线,由直线斜率和截距可以求得化学反应的rHmӨrSmӨ

从上式可探讨温度对化学平衡的影响。对于正向吸热反应,rHmӨ>0,当升高温度时,即T2>T1,必然有K2Ө>K1Ө,平衡将正向移动;对于正向放热反应,rHmӨ<0,当升高温度时,即T2>T1,则必有K2Ө<K1Ө,就是说平衡将向逆反应方向移动。

综上,浓度、压力、温度等因素对化学平衡的影响,可以用1884年法国化学家勒夏特列(LeChatelier)总结出的一条普遍规律来判断:平衡总是向着消除外来影响,恢复原有状态的方向移动。这就是著名的勒夏特列平衡移动原理。该原理适用于任何已达成平衡的体系,物理平衡的体系亦不例外。没有达成平衡的体系,不能应用勒夏特列原理。

 

至此我们学完化学反应平衡的判断,请同学们结合习题,复习所学知识,思考不同情况下,化学反应进行的方向问题。


    酸碱反应和沉淀反应

人们对酸碱的认识经历了一个由浅入深,由低级到高级的认识过程。最初的直观认识:酸:有酸味,能使石蕊试液变红的如食醋。碱:有涩味,滑腻感,能使红色石蕊变蓝,并能与酸反应生成盐和水,如小苏打

1884年,瑞典化学家Arrhenius根据电解质化学理论对酸碱作了以下定义:

酸:在水溶液中经电离只生成H+一种阳离子。

碱:在水溶液中经电离只生成OH-一种阴离子。

该定义使人类对酸碱的认识实现了从现象到本质的飞跃,但该定义也有局限性,它把酸和碱只限于水溶液。随着人们对酸碱认识的扩展。人们相继提出了溶剂理论,质子理论,电子理论和软硬酸碱的理论。本章将以酸碱质子理论为中心,讨论酸碱平衡问题。

:凡是能释放质子H+的任何含氢原子的分子或离子的物种,即质子的给予体。

碱:任何能与质子结合的分子或离子的物种。即质子的接受体。

可见,酸给出质子生成相应的碱,而碱结合质子后又生成相应的酸;酸与碱之间的这种依赖关系称共轭关系。相应的一对酸碱被称为共轭酸碱对。例如:HAc的共轭碱碱是Ac-Ac-的共轭酸是HAcHAcAc-是一对共轭酸碱。

既能给出质子,对能接受质子的物质为两性物质,例如:

HPO42-,H2PO42-,[Fe(OH)(H2O)5]2+H2O等。

根据酸碱质子理论:酸碱解离反应是质子转移反应。

例如:HF在水溶液中的解离反应是由给出的质子的半反应和接受质子的半反应组成的。

水是两性物质,它的自身解离反应也是质子转移反应。

盐类水解反应也是离子酸碱的质子转移反应。例如:NaAc的分解:

NH4+的分解:

酸碱中和反应(包括非水溶剂中的反应)也是质子转移反应。

 

酸和碱的强度是指酸给出质子的能力和碱接受质子的能力的强弱。

在水溶液中:

由此可以说明在水溶液中,HAc的酸性比HCN的酸性强。

区分效应:用一个溶剂把酸或碱的相对强弱区分开来,称为溶剂的区分效应。例如:H2O可以区分HAcHCN酸性的强弱。

拉平效应:溶剂将酸或碱的强度拉平的作用,称为溶剂的拉平效应。水对强酸起不到区分作用,水能同等强度地将HClO4HClHNO3等强酸的质子全部争取过来。

选取比水碱性弱的碱,如冰醋酸为溶剂对水中的强酸可体现出区分效应。例如上述强酸在冰醋酸中不完全解离,酸性强度依次为: HClO4>HCl>H2SO4>HNO3所以H2O对以上强酸有拉平反应,冰醋酸对他们有区分效应。

结论:酸性越强,其共轭碱越弱;碱越强,其共轭酸越弱。
酸性:HClO4>H2SO4>H3PO4>HAc>H2CO3>NH4+>H2O
碱性:ClO4-<HSO4-<H2PO4-<Ac-<HCO3-<NH3<OH-

按照酸碱质子理论,水的自身解离平衡可表示为:


标准平衡常数表达式:

——水的离子积常数,简称水的离子积。

25℃时,纯水中c(H+)=c(OH-)=1.0×10-7mol·L-1

=1.0×10-14

100℃时,纯水=5.43×10-13

可见,随着温度升高,水的增大。

溶液中H3O+浓度或OH-浓度的大小反映了溶液的的酸碱性的强弱。一般稀溶液中,c(H3O+)的浓度范围在(10-1~10-14mol·L-1之间。在化学科学中,通常习惯于以c(H3O+)的负对数来表示其很小的数量级。

pH=-{lgc(H3O+)}pH对应的还有pOH,即pOH=-lg{c(OH-)}

25℃时,

=1.0×10-14

=14.00

pH是用来表示水溶液酸碱性的一种标度。pH愈小,c(H3O+)愈大,溶液的酸性愈强。

通常所说的弱酸和弱碱是指酸、碱的基本存在形式为中性分子。它们大部分以分子形式存在于溶液中,只有少部分与水发生质子转移反应。只能给出一个质子的称为一元弱酸,能给出多个质子的为多元弱酸;只能接受一个质子的为一元弱碱,能接受多个质子为多元弱碱。

在一元弱酸HAc的水溶液中。存在着下列质子转移反应:

其平衡常数

弱酸的HA的解离常数。弱酸的解离常数可以借助pH测定溶液的pH来确定。若已知弱酸的解离常数,就可以计算出一定浓度的弱酸的平衡组成。讲解5-1

在弱酸、弱碱的解离平衡组成计算中常用到解离度(α)的概念,定义如下:

在定容反应中,解离度的表达式为

弱酸的解离度的大小也可以表示为酸的相对强弱。在温度和浓度相同的情况下,解离度大的酸,大,其pH小,为较强酸;解离度小的酸,小,其pH大,为较弱酸。

稀释定律:在一定温度下(为定值),某弱电解质的解离度随着其溶液的稀释而增大。

多元弱酸的解离我们得出以下结论

1)多元弱酸的解离是分步进行的,一般溶液中的H+主要来自于弱酸的第一步电离,计算c(H3O+)pH时可只考虑第一步电离。

2)对于二元弱酸,当时,c(酸根离子),而与弱酸的初始浓度无关。

3)对于二元弱酸,若c(弱酸)一定时,c(酸根离子)c(H3O+)成正比。

下面我们分别学习不同盐溶液的酸碱平衡

1.强酸强碱盐(离子酸),例如,NH4Cl在水中全部解离:

Cl-(aq)不与水反应,而NH4+(aq)H2O反应(水解反应)

该反应质子转移反应中,NH4+是质子酸,其解离常数为:

也叫NH4+的水解常数(也记作

NH4+NH3是共轭酸碱对。其实任何一对共轭酸碱的解离常数都符合这一关系,通式为:

两边分别取负对数:

25℃下,

质子酸NH4+的解离度就是所谓的盐类的水解度。

由上分析可知,强酸弱碱盐的平衡问题,完全转化成了弱酸溶液的平衡问题。

2.弱酸强碱盐(离子碱)弱酸弱碱盐在水溶液中呈碱性,是因为弱酸根离子在水中发生水解的缘故。例如NaAc,溶于水完全解离。

Ac-发生水解反应(质子转移反应)

——质子碱Ac-的解离常数,也叫Ac-的水解常数(也记作

多元弱酸强碱盐的阴离子在水中的解离是分步进行的。如:Na3PO4的水解

,多元弱酸强碱盐问题就转化为多元弱碱的溶液平衡问题。

多元酸的酸式盐,如:NaHCO3,NaH2PO4,Na2HPO4等,溶于水后完全解离生成的阴离子HCO3-,H2PO4-,HPO4-等既能给出质子又能接受质子,是两性,其水溶液既有碱性的,也有酸性的。

如何从理论上判断其酸碱性呢?例如:磷酸二氢钠NaH2PO4溶液中,H2PO4-的解离平衡:

H2PO4-的水解平衡:

解离大于水解,NaH2PO4溶液显酸性;相反,Na2HPO4溶液水解大于解离,显弱碱性。

4.弱酸弱碱盐NH4Ac溶于水完全解离,解离出的NH4+Ac-同时水解,存在下列平衡:

溶液呈酸性NH4F

溶液呈中性NH4Ac

溶液呈碱性NH4CN

5.影响盐类水解的因素盐的浓度、温度、溶液的酸碱度等。

盐的浓度:稀释有利于水解。

温度:加热有利于水解。盐类水解反应是中和反应的逆反应,因此是吸热反应,随着温度升高,

水解常数增大,水解加剧。

溶液的酸碱度:加酸抑制水解。例如:

配制这些盐的溶液时,通常先将盐溶于较浓的相应的酸中,然后再加水稀释到一定浓度。即利用改变酸度的方法,使水解达到平衡。

HAc溶液中,存在下列平衡:

向该溶液中加入与HAc含有相同离子的强电解质NH4Acc(Ac-)增加,上平衡向左移动,即HAc的解离度将减小。这样在弱电解质溶液中,加入与其含有相同离子的易溶强电解质而使弱电解质的解离度降低的现象称为同离子效应。

前面已经计算出,0.10mol·L-1HAc溶液pH=2.89α=1.3%。可见,HAc的解离度的确降低了很多。

首先我们先分析下表的实验数据。

 

1.8×10-5mol·L-1HCl

0.10mol·L-1HAc-0.10mol·L-1NaAc

1.0L溶液的pH

4.74

4.74

0.010molNaOH(s)

12.00

4.83

0.010molHCl

2.00

4.66

在稀盐酸中(1.8×10-5mol·L-1)溶液中,加入少量NaOHHClpH有较明显的变化,说明这种溶液不具有保持pH相对稳定的性能。但在这对共轭酸碱组成的溶液中,加入少量的强酸或强碱,溶液的pH改变很小。这类溶液具有缓解改变氢离子浓度而保持pH基本不变的性能。

具有能保持pH相对稳定性能的溶剂,即不因加入少量强酸和强碱而显著改变的溶液叫缓冲溶液。

缓冲溶液中存在的质子转移反应为:

溶液中HAA-是大量的,H3O+是少量的,c(H3O+)取决于c(HA)/c(A-)

当加入少量强碱,发生强碱与强酸的中和反应:

c(A-)略有增加,c(HA)略有减少,但因溶液中HAA-是大量的,c(HA)/c(A-)变化不大,因此溶液中c(H3O+)pH基本不变。

当加入少量强酸,将发生如下中和反应:

使溶液中c(A-)略有减少,c(HA)略有增加,但因溶液中HAA-是大量的,c(HA)/c(A-)变化不大,因此溶液中c(H3O+)pH基本不变。

由缓冲溶液原理可知:

将等式两边分别取负对数:

对共轭酸碱来说,25℃时,

注意:c(HA)c(A-)是共轭酸、碱的平衡浓度,但由于同离子效应的存在,除了的情况外,通常用初始浓度c0(HA)c0(A-)代之。在各种酸碱溶液中,至少有一种酸(或碱)与溶剂水的解离反应同时存在,H+OH同时参与两(多)种解离平衡。在计算pH时要善于抓住主导反应,即依据生成cH+cOH大的解离平衡来计算系统的组成。此外,在计算弱酸,弱碱溶液的pH值时,只有溶液浓度不太稀(如大于104mol·L1)时,才能不考虑水的解离平衡

提问学生思考:若由NaH2PO4Na2HPO4构成缓冲系统,如何计算溶液的pH

提示:

缓冲溶液的pH主要是由决定的,还与c(A-)/c(HA)有关。当c(A-)/c(HA)=1/1010/1时,缓冲作用有效,此范围叫做缓冲范围。缓冲溶液的缓冲能力是有限的。分析化学中定义:使缓冲溶液的pH值改变1.0所需的强酸或强碱的量,称为缓冲能力。当c(A-)/c(HA)接近1时,缓冲能力大。总之,要使缓冲有效,不仅应使缓冲溶液pH在溶液范围之内而且应尽可能接近。此外,共轭酸碱的浓度应适当的大,才能保证较强的缓冲能力。

缓冲溶液的选择配制原则为:

1)缓冲溶液除了参与和H+OH-有关的反应外,不能与反应系统中的其他物质发生副反应。

2尽可能接近所需溶液的pH

小结:请同学们重点掌握一元弱酸(碱)的解离平衡及其平衡组成的计算,缓冲溶液pH值的计算。请通过课后习题的练习加以巩固所学知识点。

 

在上一我们系统学习了水溶液中的酸碱平衡,这是一种均相反应。除此之外,另一类重要的离子反应是难溶电解质在水中的溶解,即在含有固体难溶电解质的饱和溶液中,存在着电解质与由它解离产生的离子之间的平衡,叫做沉淀溶解平衡。这是一种多相离子平衡。沉淀的生成和溶解现象在我们的周围经常发生。例如人体内肾结石的形成,就是难溶盐草酸钙和磷酸钙的生成;自然界中的钟乳石的形成,就是碳酸钙沉淀的生成和溶解反应有关;工业上,可以用碳酸钠和消石灰制取烧碱等。这些实例说明,沉淀-溶解平衡对生物化学、医学、工业生产等有着深远影响,可以提供理论指导。

溶解性是物质重要的性质之一常以溶解度来定量标明物质的溶解度在一定温度下,达到溶解平衡时,一定的溶剂中含有溶质的质量,叫作溶解度通常以符号S表示。对于水溶液来说,通常以饱和溶液中每100g水所含溶质的质量来表示,即:以"g/100g"表示。许多无机化合物在水中溶解时能形成水合阳离子和阴离子称其为电解质电解质的溶解度有很大的差异一般分为可溶微溶和难溶等不容的等级。

在一定温度下,将难溶电解质晶体放入水中,就发生溶解和沉淀两个过程。当溶解和沉淀速率相等时,便建立了一种动态的多相平衡。以BaSO4晶体溶于水形成水合离子的过程为例,可表示为:

平衡常数为:

叫做溶度积常数,简称溶度积。

对于一般的沉淀反应:

溶度积常数的通式:

即,溶度积等于沉淀-溶解平衡时离子浓度的乘积,每种离子浓度的幂与化学计量式中的计量数相等。要特别注意:KspӨ的数值在稀溶液中不受其他离子的存在的影响,只取决于温度。温度升高,多数难溶化合物的溶度积增大。

溶度积和溶解度都可以用来表示难溶电解质的溶解性两者既有联系又有区别在相关溶度积的计算中,离子浓度必须是物质的量浓度,其单位是mol·L-1,而溶解度的单位往往是g/100g水。因此,计算时有时要先将难溶电解质的溶解度S的单位换算mol·L-1

平衡浓度/mol·L-1                         nS         mS

对于AB型:

对于AB2型:

难溶电解质的沉淀-溶解平衡与其他动态平衡一样,完全遵循Le Chatelier原理。对于难溶电解质的多相离子平衡物质:反应商J={c(Am+)}n{c(Bn-)}m沉淀-溶解平衡的反应商判据,(反应商又被称为难溶电解质的离子积)即溶度积规则:

,平衡向左移动,沉淀析出;

,处于平衡状态,饱和溶液;

,平衡向右移动,无沉淀析出,若原来有沉淀存在,则沉淀溶解。

在难溶电解质饱和溶液中,加入含有相同离子的易溶强电解质,而使难溶电解质的溶解度降低的作用称为同离子效应。这与上一章在缓冲液那一节所学的弱酸或弱碱的同离子效应也是一直的

在实验中,常常利用加入适当过量的沉淀剂,使沉淀趋于完全。但是注意,如果加入沉淀剂太多时,不仅不会产生明显的同离子效应,往往还会产生相反的作用,使沉淀的溶解度增大,这种影响之一就是盐效应。

观察表6-2AgClKNO3溶液中的溶解度(25)可见,AgClKNO3溶液中的溶解度比其它纯水中的溶解度大,并且KNO3的浓度越大,AgCl溶解度也越大。 这种由于加入易溶强电解质而使难溶电解质溶解度增大的效应,叫做盐效应。 注意:加入具有相同离子的电解质,在产生同离子效应的同时,也能产生盐效应。

分析表6-3PbSO4Na2SO4溶液中的溶解度Na2SO4的浓度从0增加到0.04mol·L-1时,PbSO4溶解度逐渐变小,同离子效应起主导作用,当Na2SO4的浓度大为0.04mol·L-1时,PbSO4的溶解度最小;当Na2SO4的浓度大于0.04mol·L-1时,PbSO4的溶解度逐渐增大,盐效应起主导作用。一般说来,若难溶电解质的溶度积很小时,盐效应的影响很小,可忽略不计;若难溶电解质的溶度积较大时,溶液中各种离子的总浓度也较大时,就应该考虑盐效应的影响。

如果难溶电解质MA的阴离子是某弱酸的共轭碱由于共轭碱对质子有较强的亲和能力则它们的溶解度将随pH的减小而增大这类难溶电解质就是通常所说的难溶弱酸盐和难溶金属氢氧化物。氢氧根离子是水中的最强碱,它是弱酸水的共轭碱,从这个意义上说,金属氢氧化物也是弱酸盐。利用弱酸盐在酸中溶解度的差异,我们可以通过控制溶液的pH来达到分离金属离子的目的。

1.难溶金属氢氧化物溶于酸沉淀溶解平衡:

利用上式可以计算氢氧化物开始沉淀和沉淀完全时溶液的c(OH-),从而求出相应条件的pH值。

开始沉淀时:

c0(Mn+)----溶液中Mn+离子的起始浓度

即溶液中氢氧根离子的浓度小于c(OH-),就不形成Mn(OH)n沉淀;若溶液中有沉淀,只要将溶液的氢氧根离子控制在c(OH-)以下,原有的M(OH)n沉淀将溶解,且溶解后溶液中Mn+离子浓度为c0(Mn+)

沉淀完全时:

分析化学中认为,当溶液中离子浓度小于1.0×10-5mol·L-1时,认为这种离子已沉淀完全。利用不同离子形成氢氧化物沉淀和沉淀完全时溶液的pH值的差异,可将不同的离子进行分离。

一些两性氢氧化物,既可以溶于酸,又可以溶于碱,那溶液pH值在一定区间内,化合物是以氢氧化物沉淀存在的。例如:

pH411范围内Al(OH)3基本不溶解。对于KspӨ不是很小(KspӨ10-1210-13)的难溶金属氢氧化物,常使用氨-铵盐缓冲溶液来控制pH值,达到沉淀的生成或溶解的目的。

金属硫化物:很多金属硫化物在水中都是难溶的,而且它们的溶度积常数彼此有一定的差异,并各有特定的颜色。在实际应用中,常利用硫化物溶度积的差异以及硫化物的特征颜色,来分离或鉴定某些金属离子。最近研究表明,S2-O2-一样是很强的弱碱,在水中不能存在。析出难溶金属硫化物MS的多相离子平衡不能写作:

MS(s)M2+(aq)+S2-(aq)

必须考虑强碱S2-对质子的亲和作用,

S2-(aq)+H2O(l)HS-(aq)+OH-(aq)
所以,难溶金属硫化物的多相离子平衡应写作:

MS(s)+H2O(l)M2+(aq)+OH-(aq)+HS-(aq)

Ky={c(M2+)}{c(OH-)}{c(HS-)}

而难溶金属硫化物在酸中的沉淀-溶解平衡为:

MS(s)+2H+(aq)M2+(aq)+H2S(aq)

-难溶金属硫化物在酸中的溶度积常数。

许多难溶化合物在配位剂的作用下,能够生成配离子而溶解。例如:

一般情况下,当难溶化合物的溶度积不很小,并且配合物的生成常数比较大时,就有利于配位溶解反应的发生。此外,配位剂的浓度也是影响难溶化合物能否发生配位溶解的重要因素之一。

前面我们讨论的都是加一种试剂只能使一种离子生成沉淀的情况。实际上,溶液中往往含有多种可被沉淀的离子,即当加入某种沉淀试剂的时候,可能分别和溶液中多种离子发生反应而产生沉淀。在这种情况下,当溶液中存在多种可被沉淀的离子时,加入沉淀剂会产生怎样的结果呢?是同时沉淀下来呢?还是一步一步地按先后次序沉淀呢?

Na2SK2CrO4等比例混合的溶液中,加入Pb(NO3)2溶液,先生成黑色的PbS沉淀,后生成黄色的PbCrO4沉淀。另外,在含有相同浓度(1×10-3mol·L-1)Ag+Pb2+的混合溶液中,先加一滴0.1mol·L-1K2CrO4溶液,此时只有黄色的PbCrO4沉淀析出;如果继续滴加溶液,才有砖红色的Ag2CrO4沉淀析出。这种先后沉淀的现象,叫做分步沉淀或分级沉淀。掌握了分步沉淀的规律就可根据具体情况适当的控制条件达到分离离子的目的

有些沉淀既不溶于水也不溶于酸,还无法用配位溶解和氧化还原溶解的方法把它直接溶解。这时,可把一种难溶电解质转化为另一种难溶电解质,然后使其溶解。这种把一种沉淀转化为另一种沉淀的过程,叫做沉淀转化。如在AgNO3K2CrO4的混合溶液中,再逐滴加入NaCl溶液,边加边振荡沉淀由红变白。

小结在本章中我们继续学习了关于平衡的讨论该内容与酸碱平衡有很多相似之处我们在课堂上就讲的没那么详细请同学们课后把平衡相关内容联系起来思考其想通之处而不是分开死记硬背

 

 


氧化还原反应与应用电化学

 

无机化学反应一般分为两大类,一类是在反应过程中,反应物之间没有电子的转移或得失,如酸碱反应、沉淀反应,它们只是离子或原子间的相互交换(这也正是我们前面所学的知识);另一类则是在反应过程中,反应物之间发生了电子的得失或转移,这类反应被称之为氧化还原反应。氧化还原反应的实质是电子的得失和转移,元素氧化值的变化是电子得失的结果。元素氧化值的改变也是定义氧化剂、还原剂和配平氧化还原反应方程式的依据。

1970年国际纯化学和应用化学学会(IUPAC)定义氧化值(oxidation number)的概念为:氧化值(又称氧化值)是某元素一个原子的荷电数,这种荷电数是将成键电子指定给电负性较大的原子而求得。确定元素原子氧化值有下列原则:

1)单质的氧化值为零。因同一元素的电负性相同,在形成化学键时不发生电子的转移或偏离。例如S8中的SCl2中的ClH2中的H,金属CuAl等,氧化值均为零。

2)氢在化合物中的氧化值一般为1,但在活泼金属的氢化物中,氢的氧化值为-1,如NaH1

3)氧在化合物中的氧化值一般为-2,但在过氧化物中,氧的氧化值为-1,如H2O12BaO12;在超氧化物中,氧的氧化值为-1/2,如KO1/22;在氟的氧化物中,氧的氧化值为,如O2F2

4)单原子离子元素的氧化值等于它所带的电荷数。如碱金属的氧化值为1,碱土金属的氧化值为2

5)在多原子的分子中所有元素的原子氧化值的代数和等于零;在多原子的离子中所有元素的原子氧化值的代数和等于离子所带的电荷数。

根据以上规则,我们既可以计算化合物分子中各种组成元素原子的氧化值,亦可以计算多原子离子中各组成元素原子的氧化值。例如:

MnO4-Mn的氧化值为:x+4×(2=1x=7

Cr2O72-Cr的氧化值为:2x+7×(2=2x=6

由于氧化值是在指定条件下的计算结果,所以氧化值不一定是整数。如在连四硫酸根离子(S4O62-)中,S的氧化值为5/2。这是由于分子中同一元素的硫原子处于不同的氧化态,而按上法计算的是S元素氧化值的平均值,所以氧化值有非整数出现。

根据氧化值的概念,凡是物质氧化值发生变化的反应,称为氧化还原反应。氧化值升高的过程称为氧化,氧化值降低的过程称为还原。在反应过程中,氧化值升高的物质称为还原剂(reductant),氧化值降低的物质称为氧化剂(oxidant)。氧化剂起氧化作用,它氧化还原剂,自身被还原;还原剂起还原作用,它还原氧化剂,自身被氧化。

氧化过程:氧化态升高的过程还原剂

还原过程:氧化态降低的过程氧化剂

氧化型:高氧化态氧化剂

还原型:低氧化态还原剂

中间态:既可作为氧化剂,又可做为还原剂

在氧化还原反应中,若氧化值的升高和降低都发生在同一种化合物中,即氧化剂和还原剂为同一种物质,称自身氧化还原反应。自身氧化还原反应又称为歧化反应(disproportionation reaction)

每个氧化还原反应方程式可以拆成两个半反应式,即失电子的氧化半反应式和得电子的还原半反应式。例如

氧化还原离子反应式:Ce4++Fe2+Ce3++Fe3+

氧化半反应式:Fe2+eFe3+

还原半反应式:Ce4+eCe3+

氧化型与还原型构成了如下两对氧化还原电对redoxcouple):Ce4+/Ce3+Fe3+/Fe2+。因此,氧化还原反应是两个(或两个以上)氧化还原电对共同作用的结果。

半反应式可用通式表示:氧化型+e=还原型

氧化还原电对书写时,氧化型写在斜线左侧,还原型写在斜线右侧。

氧化还原反应方程式的配平原则:还原剂氧化值升高数和氧化剂氧化值降低数相等(得失电子数目相等)写出化学反应方程式确定有关元素氧化态升高及降低的数值确定氧化值升高及降低的数值的最小公倍数。找出氧化剂、还原剂的系数核对,可用H+,OH,H2O配平。

下面分别学习两种配平的方法1. 离子电于法配平方程式的基本步骤为

(1)写出反应过程中氧化值起变化的离子写成一个没有配平的离子方程式:

MnO42-SO32-→Mn2+SO42-

2)将上面未配平的离子方程式分写为两个半反应式,一个代表氧化剂的还原反应;另一个代表还原剂的氧化反应:

MnO42-→Mn2+SO32-→SO42-

3)分别配平两个半反应式。配平时首先配平原子数,然后在半反应的左边或右边加上适当电子数来配平电荷数。以使半反应式两侧各种原子的总数及净电荷数相等相等。

MnO42-还原为Mn2+时,要减少4个氧原子,在酸性介质中,要与8H+离于结合生成4H2O分子。

MnO42-8H+→Mn2+4H2O

上式中左边的净电荷数为+7,右边的净电荷数为+2,所以需在左边加5个电子,使两边的电荷数相等:

MnO42-8H+5e=Mn2+4H2O

SO32-氧化为SO42-时,增加的1个氧原子可由溶液中的H2O分子提供,同时生成2H+离子:

SO32-H2O=SO42-2H+

上式中,左边的净电荷数为-2,右边的净电荷数为0,所以右边应加上2个电子:

SO32-H2O=SO42-2H+2e

4)根据氧化剂和还原剂得失电子数必须相等的原则,在两个半反应式中乘上相应的系数(由得失电子的最小公倍数确定),然后两式相加得到配平的离子反应方程式。

2MnO42-6H+5SO32-=2Mn2+5SO42-3H2O

氧化值法和离于电子法各有优缺点。氧化值法能较迅速地配平简单的氧化还原反应。它的适用范围较广,不只限于水溶液中的反应,特别对高温反应及熔融态物质间的反应更为适用。而离子电于法能反映出水溶液中反应的实质,特别对有介质参加的复杂反应配平比较方便。但是,离子电子法仅适用于配平水溶液中的反应。

氧化还原反应配平应掌握以下基本要求1)氧化剂和还原剂的氧化值变化必须相等。(2)方程式两边的各种元素的原子数必须相等。(3)配平方法的难点是未发生氧化值变化的原子数的配平,待别是氢和氧原子的配平。一般情况下如反应物氧原子数多了,在酸性介质中的反应以加H+离子生成水的方式配平;若为碱性介质中的反应,应加H2O使之与氧反应生成OH离子。

一般先配平HO以外的原子数,然后配平HO原子数,最后配平电子数

同学们注意酸性介质中配平的半反应方程式里不应出现OH在碱性介质中配平的半反应不应出现H+

在前面的讨论中我们将氧化还原反应分成两个半反应。这种描述不仅仅是配平反应方程式的一种方法,更重要的,可以使氧化半反应和还原半反应在一定装置中隔离开来,分别发生反应,便可产生电流,从而将化学能转化为电能。利用氧化还原反应,将化学能转变为电能的装置叫做原电池(primary cell)。电池的设计证明了氧化还原反应确实发生了电子的转移。

一个原电池包括两个半电池,每个半电池又称为一个电极。其中放出电子的一极称为负极negative electrode),是电子流出极,发生氧化反应;另一极是接受电子的一极称为正极(positive electrode),正极上发生还原反应。电极上分别发生的氧化还原反应,称为电极反应(electrode reaction)。一般说来,由两种金属电极构成的原电池,较活泼的金属做负极,另一金属做正极。负极金属失去电子成为离子而进入溶液,所以它总是逐渐溶解。

原电池的两个电极的溶液通过盐桥沟通,盐桥有两方面的作用,一方面它可以消除因溶液直接接触而形成的液接电势,另一方面它可使联接的两溶液保持电中性,例如,Cu―Zn原电池Zn+Cu2+=Cu+Zn2+

原电极正极发生还原反应,负极发生氧化反应

负极:Zn2e=Zn2+(氧化态升高)

正极:Cu2++2e=Cu(氧化态降低)

原电池的符号为表达方便通常将原电池的组成以规定的方式书写,称为电池符号表示式。其书写原则规定:

1)把负极写在电池符号表示式的左边,以(-)表示;正极写在电池符号表示式的右边,并以+表示。

2)以化学式表示电池中各物质的组成,溶液要标上浓度或活度(mol.L-1),若为气体物质应注明其分压(Pa)。如不特殊指明,则温度为298K,气体分压为101.325kPa,溶液浓度为1 mol.L-1

3)以符号“|”表示不同物相之间的接界,用“‖”表示盐桥。同一相中的不同物质之间用表示。

4)非金属或气体不导电,因此非金属元素在不同价态时构成的氧化还原电对作半电池时,需外加惰性金属(如铂和石墨等)做电极导体。其中,惰性金属不参与反应,只起导电的作用。

电池正、负电极之间没有电流通过时的电势差称为电池的电动势(electronmotivefore符号E表示)。电池电动势是衡量氧化还原反应推动力大小的判据,这与热力学上使用反应体系的吉布斯自由能变化ΔG作为反应自发倾向的判据是一致的。

E=E+E-

电池电动势是电池反应进行的推动力。当由氧化还原反应构成的电池的电动势Eφ大于零时,则此氧化还原反应就能自发进行。因此,电池电动势也是判断氧化还原反应能否自发进行的判据。

电池通过氧化还原反应产生电能,体系的自由能降低。在恒温恒压下,自由能的降低值(-△G)等于电池可能作出的最大有用电功(W:(在电池反应中,如果非膨胀功只有电功一种),由电功=电荷量*电势差,得:

△GWQEnFE

△G=-nFE

在标准状态下,上式可写成:

△Gφ=-nFEφ

Eφ为正值时,△Gφ为负值,在标准状态下氧化还原反应正向自发进行;Eφ为负值时,△Gφ为正值,在标准状态下反应正向非自发进行,逆向反应自发进行。EEφ愈是较大的正值,氧化还原反应正向自发进行的倾向愈大。EEφ愈是较大的负值,逆向反应自发进行的倾向愈大。

下面我们介绍标准氢电极和甘汞电极的电极电势

标准氢电极是一种假定的理想状态,通常是将镀有一层海绵状铂黑的铂片,浸入到H浓度为1.0mol/L的酸溶液中,不断通入压力为100kPa的纯氢气,使铂黑吸附H2至饱和,这时铂片就好像是用氢制成的电极一样。电极符号Pt|H2(101.3kPa)|H+(1mol.L-1)

电极反应2H++2e=H2g

我们规定标准氢电极的还原电极电势为零EφH+/H20V

右上角的符号φ代表标准态。

标准态要求电极处于标准压力(101.325kPa)下,组成电极的固体或液体物质都是纯净物质;气体物质其分压为101.325kPa;组成电对的有关离子(包括参与反应的介质)的浓度为1mol.L-1(严格的概念是活度)。通常测定的温度为298K

由于标准氢电极的制作和使用都很困难,平时人们采用相对稳定的甘汞电极作参比电极. 饱和甘汞电极(SCE)电极结构如图所示。电极由两个玻璃套管组成,内管上部为汞,联有Pt丝作电极引线,中部为Hg2Cl2Hg糊状物,底部用素烧瓷塞紧,外管下部支管口塞有多孔素烧瓷,上部侧口注入饱和KCl溶液,测定中盛有KCl饱和溶液的外管还可起到盐桥的作用。甘汞电极电极符号Hgl|Hg2Cl2s|KClc

电极反应式Hg2Cl22e=2Hg2Cl-

以标准氢电极的还原电极电势为基准,可以测得标准甘汞电极的电势为0.2415V

为了获得各种电极的电极电势数值,通常以标准电极和待测电极在标准状态下组成电池,测得该电池的电动势值,并通过直流电压表确定电池的正负极,即可根据E=E+E-计算各种电极的标准电极电势的相对数值。将不同氧化还原电对的标准电极电势数值按照由小到大的顺序排列,得到电极反应的标准电极电势表。其特点有:

l)一般采用电极反应的还原电势,每一电极的电极反应均写成还原反应形式,即:

氧化型+ne=还原型,

2)标准电极电势是平衡电势,每个电对Eφ值的正负号,不随电极反应进行的方向而改变。

3Eφ值的大小可用以判断在标准状态下电对中氧化型物质的氧化能力和还原型物质的还原能力的相对强弱,而与参与电极反应物质的数量无关,无加和性。例如:

I22e=2I-Eφ=+0.5355V

1/2I2e=I-Eφ=+0.5355V

4Eφ值仅适合于标准态时的水溶液时的电极反应。对于非水、高温、固相反应,则不适合。

电极电势的大小除了取决于电对的本性外,还受到它们的浓度(或气体的分压)和温度的影响。标准电极电势是在标准状态下测定的,但是对于绝大多数的氧化还原反应来说,并非在标准状态下进行的,从而使电对的电极电势也随之发生改变。电极电势与浓度(或压力)、温度间定量关系可由能斯特(Nernst)方程式表示:

这个关系式称为Nernst方程式,它反映了参加电极反应的各物质的浓度以及温度对电极电势的影响。式中是氧化型物质和还原型物质为任意浓度时电对的电极电势;是电对的标准电极电势,R是摩尔气体常数,等于8.314KJ·mol-1·k-1FFaraday常数(96485C·mol-1);T为热力学温度(K);n为电极反应的电子数;aOx)和aRed)分别表示电极反应式中氧化型物质和还原型物质的活度。如果是稀溶液:a=c;如果是压力较低的气体:如果是固体或纯液体:a=1,再Nernst方程式中可以不列入。另外,活度的方次等于该物质在电极反应中的化学计量数。

当温度为298.15K时,将各常数带入上式中,并将自然对数换成常用对数,即得:

在有H+OH离子参与的电极反应中,酸度的改变会影响电极电势。例如重铬酸钾的氧化性,会随着酸度的变化而改变。其电极反应为:

K2Cr2O714H+6e2Cr3+7H2OEφCr2O72-/Cr3+1.33V

反应中含有H+,若将[Cr2O72-][Cr3+]都定为1 mol.L1时,由能斯脱方程式可以看出介质的酸度对电极电势的影响。

E=EφCr2O72-/Cr3+0.0592/6lg[H+]14

K2Cr2O7的氧化性随着酸度增强而显著增加;而随着酸度的减弱而显著减弱。因为该电极反应氢离子浓度指数很高,溶液酸度变化对电极电势的影响,远远较氧化型和还原型物质本身浓度变化引起的影响大得多。故在使用K2Cr2O7KMnO4等含氧酸盐作为氧化剂时,总是要将溶液酸化,以保持酸性介质中充分发挥该类氧化剂的氧化性。

难溶化合物、配合物的形成对电极电势的影响在反应中加入沉淀剂使氧化态物质或还原态物质转变成沉淀,可大大降低氧化态物质或还原态物质的浓度,从而导致电极电势发生很大的变化。如在电极反应Ag+e=Ag体系中加入氯化钠后,由于发生Ag++Cl-AgCl沉淀反应,致使溶液中[Ag+]离子浓度降低,根据沉淀溶度积原理,反应达到平衡后,若[Cl-]=1mol.L-1Ag+]离子浓度为:

Ag+]=Ksp/[Cl-]=1.8×10-10(mol.L1)

这时Ag+/Ag电对的电极电势为:

EAg+/AgEφAg+/Ag0.0592lg[Ag+]

0.79960.0592lg[1.8×10-10]0.2227V

所以,由于AgCl沉淀的形成,银电极电势从0.7996V显著地下降为0.2227V,即Ag+的氧化性大大减弱了。在金属电极体系中形成配合物时,也将使电极电势降低,氧化态的氧化能力减弱,而金属的还原能力增强。

电极电势的应用在标准状态下氧化剂和还原剂的相对强弱,可直接比较Eφ值的大小。Eφ值较小的电极其还原型物质愈易失去电子,是愈强的还原剂,对应的氧化型物质则愈难得到电子,是愈弱的氧化剂。Eφ值愈大的电极其氧化型物质愈易得到电子,是较强的氧化剂,对应的还原型物质则愈难失去电子,是愈弱的还原剂。在标准电极电势表中还原型的还原能力自上而下依次减弱,氧化型的氧化能力自上而下依次增强。

根据Eφ值,判断标准状况下氧化还原反应进行的方向通常条件下,氧化还原反应总是由较强的氧化剂与还原剂向着生成较弱的氧化剂和还原剂方向进行。从电极电势的数值来看,当氧化剂电对的电势大于还原剂电对的电势时,反应才可以进行。反应以高电势的氧化型氧化低电势的还原型的方向进行。在判断氧化还原反应能否自发进行时,通常指的是正向反应。

根据Eφ值,判断氧化还原反应进行方向电池电动势是电池反应进行的推动力。当由氧化还原反应构成的电池的电动势Eφ大于零时,则此氧化还原反应就能自发进行。因此,电池电动势也是判断氧化还原反应能否自发进行的判据。电池通过氧化还原反应产生电能,体系的自由能降低。在恒温恒压下,自由能的降低值(-△G)等于电池可能作出的最大有用电功(W):

△GWQEnFE

△G=-nFE

在标准状态下,上式可写成:

△Gφ=-nFEφ

Eφ为正值时,△Gφ为负值,在标准状态下氧化还原反应正向自发进行;Eφ为负值时,△Gφ为正值,在标准状态下反应正向非自发进行,逆向反应自发进行。EEφ愈是较大的正值,氧化还原反应正向自发进行的倾向愈大。EEφ愈是较大的负值,逆向反应自发进行的倾向愈大。

根据Eφ值,确定反应进行的限度——计算平衡常数一个化学反应的完成程度可从该反应的平衡常数大小定量地判断。因此,把标准平衡常数Kφ和热力学吉布斯自由能联系起来。

R为气体常数,T为绝对温度,n为氧化还原反应方程中电子转移数目,F为法拉第常数。该式表明,在一定温度下,氧化还原反应的平衡常数与标准电池电动势有关,与反应物的浓度无关。Eφ越大,平衡常数就越大,反应进行越完全。因此,可以用Eφ值的大小来估计反应进行的程度。一般说,Eφ≥0.20.4V的氧化还原反应,其平衡常数均大于106(K>106),表明反应进行的程度已相当完全了Kφ值大小可以说明反应进行的程度,但不能决定反应速率。

当某元素可以形成三种或三种以上氧化值的物种时,这些物种可以组成多种不同的电对,各电对的标准电极电势可用图的形式表示出来,这种图叫做元素电势图。画元素电势图时,可以按元素的氧化值由高到低的顺序,把各物种的化学式从左到右写出来,各不同氧化值物种之间用直线连接起来,在直线上标明两种不同氧化值物种所组成的电对的标准电极电势。元素电势图是了解一种元素的多种氧化态的物质之间变化关系的一种表示方法。元素电势图又可分为酸性溶液电势图和碱性溶液电势图。

元素电势图主要应用:

1.判断歧化反应是否能进行

所谓歧化反应,就是在同一个元素中,一部分原子(或离子)被氧化,另一部分原子(或离子)被还原的反应。若在下列元素电势图中

EφEφ

A——B——C

EφEφ,其中间价态B可自发地发生岐化反应,生成AC。且Eφ越大,歧化反应程度越大。相反地,若EφEφ,则不能发生歧化反应发生歧化反应的逆反应

2.计算标准电极电势

根据元素电势图可从几个相邻氧化态电对的已知标准电极电势,可以求算不相邻氧化态电对的未知标准电极电势。

小结在本章中我们学习了电化学基础知识。原电池电动势,原电池的最大功与Gibss函数,Nernst方程式,判断氧化还原反应方向,确定氧化还原反应的限度,是本章的重点及难点,请同学们结合课后习题,对所学知识加以巩固。

 


  原子结构与元素周期性

同学们好,从今天开始,我们进入本课程的第二部分,物质结构基础。在第一部分中,我们已经讨论了化学反应的方向,限度等问题,这些讨论都是在宏观层面上,对大量的分子行为进行了讨论。在这部分中,我们要进入微观层面。我们知道,原子通过改变它们的结合方式,从一种分子变成另一种分子,但这种结合方式的改变从本质上是电子结构的变化,所以,我们在这一章中,要从原子的电子结构开始讨论。

在讨论的原子的电子结构之前,我们有必要回顾一下几个重要的原子结构模型。19世纪初,英国科学家道尔顿提出近代原子学说,他认为原子是微小的不可分割的实心球体,100年后,1897年,英国科学家汤姆生发现了电子,1904年提出葡萄干面包式的原子结构模型,他认为正电荷像流体一样均匀分布在原子中,电子就像葡萄干一样散布在正电荷中,它们的负电荷与那些正电荷相互抵消。1911年英国物理学家卢瑟福发现了原子核,建立了原子核式结构模型,认为原子的大部分质量集中在一个很小的结构上,叫原子核,电子在原子核外绕核作轨道运动,原子核带正电,电子带负电。1913年,波尔提出了电子分层排布的模型,这是一会我们要重点讨论的模型。现在,普遍被接受的是1926年基于量子力学所建立的原子结构模型。

要讨论原子中的电子结构,我们要从氢原子光谱说起,现在,我们已经知道,光是一种电磁辐射,对于氢原子的光谱研究表明,在可见光区,氢原子有四条不连续的光谱线。不连续的光谱线的频率具有一定的规律,符合这样一个经验公式,但是式中 2n3.289×1015各代表什么意义并不明确。1913年,波尔在Planck量子论和Einstein光子论的基础上,提出了新的原子结构理论,Planck量子论是指微观领域能量是不连续的。爱因斯坦光子论认为,一束光是由具有粒子特征的光子所组成,每个光子的能量与光的频率成正比,Bohr的理论(三点假设)

核外电子只能在有确定半径和能量的轨道上运动,且不辐射能量;

通常,电子处在离核最近的轨道上,能量最低——基态;原子获得能量后,电子被激发到高能量轨道上,原子处于激发态;

从激发态回到基态释放光能,光的频率取决于轨道间的能量差。

如果我们直观的画出能级图,我们就可以看得更加清楚。但是波尔的原子结构理论是基于经典物理学所提出的,有一定不足之处,(a)无法解释原子光谱的精细结构(b)不能说明多电子原子的光谱(c)不能解释原子的稳定性。现在,我们把波尔的原子结构理论定义为旧量子论。

光电效应实验与爱因斯坦光子学说根据人们的常识,光是一种电磁波,但是不能解释光电效应的实验规律。爱因斯坦受普朗克量子假设启发,于1905年提出了光子学说:电磁波(即光)不仅在黑体表面交换能量时,是一份一份进行的,是不连续的,而且在空间传播时,也是不连续的,是一份一份地进行的。光波是一个个不可分割的粒子聚集而成的整体。光具有粒子性,体现在:

具有能量:具有动量:具有质量:

光子电子的碰撞服从能量守恒和动量守恒定律。这些性质与经典力学中所表示的微粒性质相一致。这就是爱因斯坦的光子说。根据光的波粒二象性,不仅成功地解释了光电效应的实验规律,而且还结束了几百年来关于光是波还是粒子的争论,并对量子力学的建立起到了巨大的促进作用。

德布罗意于1924年提出物质波假说:波粒二象性不只是光才有的特性,而是一切微观粒子共有的本性。这一假设在3年后就得到了证实。

德布罗意关系式:

计算发现:只有当实物粒子的德布罗意波长大于或等于其直径时,才既能显示波动性,又能显示粒子性,即具有波粒二象性;对于波长小于直径的那些粒子,粒子性掩盖了波动性,即只显示粒子性。讨论比氢原子还大的原子(粒子)的波动性已无实际意义。从而说明,波粒二象性是微观粒子的特性。

在电子波动性得到实验验证的同一年,Heisenberg提出了不确定原理。也称为测不准原理,这个原理认为微观粒子位置的测量偏差微观粒子的动量偏差的乘积不能小于h除以4π。说明微观粒子的运动不遵循经典力学的规律。微观粒子的波动性与粒子行为的统计性规律联系在一起,表现为:微观粒子的波动性是大量微粒运动表现出来的性质,即是具有统计意义的概率波。

由于微观粒子具有波粒二象性,受不确定关系的限制,微观粒子的运动不能用经典理论,而应该用量子力学的方法进行处理。描述微观粒子运动规律的数理方程称为薛定谔方程,其形式如下:

+=-(x,y,z)

式中(x,y,z)为波函数,表示核外电子运动状态的函数式,是电子具有波动性的表现;m为电子的质量,E为电子的总能量,等于动能与势能之和,V为电子的势能Z为核电荷,e为电子电量,r为电子离核的距离,这些都是电子具有粒子性的表现;h是普朗克常数,通过普朗克常数的联系,将电子这种微观粒子的波动性与粒子性统一在薛定谔方程中。

薛定谔方程式是二阶偏微分方程,求解过程非常复杂,只须了解其求解思路和基本步骤。

波函数的意义:因为2(r,θφ)表示离核距离为r,方位为θφ处微小空间电子云出现的几率密度,所以波函数(r,θφ)是表示核外电子运动状态的函数,称为轨道函数,简称原子轨道。虽然它是薛定鄂方程的解但仍然是非常复杂的函数式,通常用图解的方法直观的理解轨道函数θφ)和电子云2(r,θφ)的分布情况,分别称为轨道函数的图形和电子云的图形。

将角度函数Yθφ)对角度(θφ)作图,得原子轨道的角度分布图(Y图);将径向波函数Rr)对半径(r)作图,得原子轨道的径向分布图(R图);将Y图和R图叠加得原子轨道图形。例如2Pz原子轨道图。

Y2θφ)对角度(θφ)作图,得电子云的角度分布图(Y2图);令Dr=4,则Dr)对半径(r)作图,得电子云的径向分布图(D图)。将电子云的角度分布图(Y2图)与电子云的径向分布图(D图)叠加,便得到电子云图。例如2Pz电子云图。

四个量子数:核外电子的量子化特征,表现在描述它运动规律的薛定谔方程只有在符合某些特定条件时,才有合理的解(有确定的波函数)。表示这些特定条件的物理量称为量子数,量子数是在求解薛定谔方程的过程中自然产生的一组量子数就对应着电子的一种能量状态,既然电子的能量状态是不连续的,因此量子数的值也是不连续的。

表示轨道运动的三个量子数的组合对应着一个原子轨道(称为电子的一个量子态),由于这三个量子数之间存在着特定的制约关系,使主量子数n确定的每一个电子层中,原子轨道种类和个数都是明确的。虽然单电子体系中,原子核外只有一个电子,但这些不同电子层和不同原子轨道的存在,表明原子核外的一个电子有可能出现的不同能量状态(激发态)。

四个量子数规定了核外电子的运动状态,每个电子都可以用上述的四个量子数的一套数据来描述其运动状态(对应着一个波函数),同一原子中没有四个量子数完全相同的电子。换句话说,在同一原子中的各个电子,它们的运动状态不可能完全相同,即四个量子数中至少有一个量子数是不同的。

对单电子体系,可用单电子的薛定谔方程处理,只需处理1个核和1个电的吸引作用。对多电子体系,要用多电子的用薛定谔方程处理,N个电子与1个核的吸引作用,要处理N个电子之间的排斥作用。对于这种复杂关系,可以近似地用屏蔽效应和钻穿效应等效处理。

含有N个电子的原子中,电子i除了受到原子核(核电荷为Z)的吸引外,同时还受到其他(N-1)个电子的排斥。实际上相当于部分地抵消了核电荷Z对电子i的吸引,从而引入有效核电荷Z*的概念:Z*=Z-σ

σ--屏蔽常数,等于N-1个电子对电子i的屏蔽作用的总和单电子体系,电子(轨道)的能量仅与主量子数n有关:E=-R·(Z/)

对多电子体系,电子(轨道)的能量还与角量子数l有关:En,l=-R·(Z*/)

其中:R=13.ev或R=2.179×10-18

由公式不难看出,对相同原子(核电荷Z一定),当对电子i的屏蔽常数σ越大,对它的有效核电荷Z*越小,电子i的能量就越高,所以屏蔽效应结果使电子的能量上升。

n相同(同层)而l不同的轨道,其电子云的径向分布情况不同,l越小的轨道其峰数越多(峰数=n-l),部分电子云电子穿过内层而更靠核更近,这种现象称为钻穿效应。电子通过钻穿效应能够回避其他电子对它的屏蔽作用,所感受到的有效核电荷Z*值越高,使能量降低低。

美国著名结构化学家鲍林根据大量光谱实验数据及理论计算的结果,提出了多电子原子中轨道的近似能级图。这个图的能级顺序与外层轨道电子的填充顺序是一致的,因此近似能级图实际上是电子填充顺序图。

核外电子的排布规律——泡利(Pauli)不相容原理:在同一原子中没有四个量子数完全相同的电子或者:同一原子轨道只能容纳两个自旋相反的电子每一电子层、每一电子亚层所能容纳的电子数都是一定的。

最低能量原理:在不违背泡利原理的前提下,核外电子在各原子轨道中的排布方式应使整个原子的能量处于最低的状态。应当按照近似能级图的顺序填充电子。

洪特规则:在能量相同的轨道上排布电子时,总是以自旋相同的方向优先分占不同的轨道,这样体系的能量较低。因此,在一个亚层中,半充满状态是该亚层中自旋成单最多的状态(3,d5,f7),能量最低。此外,亚层处于全充满(如p6,d10,f14)状态时也是一种低能量的状态。

周期:7个能级组的存在是元素表被划分成7个周期的本质原因。

周期号数=能级组号数=电子层数=最大主量子数nmax

每周期的元素个数=该周期元素外层轨道所能容纳的电子数。

每一周期从ns亚层开始,到np亚层结(第一周期只有1s亚层)

族:每周期元素的电子层结构出现周期性的变化,将相同的价电子层结构的元素归为同一列(共分18列),这是周期表分族的依据。

主族占8列,分8族,凡是最后一个电子填入ns或np能级的元素称为主族元素。

主族元素的价电子排布通式:ns1-2np0-6

副族占10列,分8族(第8族占3列),凡是最后一个电子填在(n-1)d能级或(n-2)f能级上的元素,称为副族元素。

副族元素的价电子排布通式:(n-2)f1-14(n-1)d1-10ns1-2

分区:将结构相似的族划为同一区

s区凡是价电子层最高能级为ns1-2电子组态的元素,称s区元素。它包括A和ⅡA两个主族元素。

p凡是价电子层上具有ns2np-6电子组态的元素称为p区元素。它包括ⅢA-ⅦA以及0族的主族元素。

d区价电子层上具有(n-1)d-ns-电子组态的元素称为d区元素。它包括-Ⅷ6个副族元素。

ds区价电子层中具有(n-1)d10ns-电子组态的元素称为ds区元素。它包括B、B两个副族元素。

f区价电子层中具有(n-2)f-14(n-1)dns电子组态的元素称f区元素,镧系元素和锕系元素属于f区元素。

元素的性质是其原子结构的反映,随着原子序数的增大,原子的电子层结构呈周期性的变化,因此与电子层结构有关的元素的基本性质,也呈现周期性变化。

孤立原子的半径:原子的基电子组态中,占据最高能级上的电子到原子核的距离。由于电子的波动性和不确定关系而测不准。可以用基态原子最外层的原子轨道的半径近似代表其半径孤立原子的半径。r==n20/(Z*)实际原子的半径:其大小与其所处环境有关,取决于它与环境中原子之间作用力的性质,分为:

(a)原子的共价半径–-同种元素的两个原子A,以共价键结合成分子A时,两原子的核间距的一半,为A原子的共价半径。

(b)范德华半径在以范德华力形成的分子晶体中,不属于同一个分子的两个最接近原子的核间距的一半。

(c)原子的金属半径-在金属晶体中,两相互接触原子的核间距()的一半。

原子半径的相对大小:范德华半径>自由原子半径>金属半径>共价半径

原子半径的变化规律:

同周期比较:主量子数n相同,有效核电荷数Z*越大,对最外亚层中电子的吸引力就越大,相应的原子半径越小;

主族元素:从左到右原子半径(但惰性元素半径突然增大)

副族元素:从左到右原子半径(但到了ⅠBⅡB两个副族元素原子半径明显地增大了)

主族元素原子半径递变规律明显,因为有效核电荷Z*递增明显。

同族比较:有效核电荷数Z*基本相同,最外亚层的主量子数n越大,最外亚层电子的能量越大,因而它们离核的距离也越大,即原子半径越大。

主族元素:自上而下原子半径增大。

副族元素:r(四周期)<r(五周期)≈r(六周期),由镧系收缩引起

电离能:一个处于基态的气态自由原子失去一个电子,变成正一价的气态正离子所需要吸收的最小能量值,被定义为该原子的第一电离能I1;如再失去一个电子,变成正二价的气态正离子所需要吸收的最小能量值,被定义为第二电离能I2;其余类推。

电离能变化规律:

同周期比较:主量子数相同,有效核电荷数越大,电离能越大。

主族元素:左-右:第一电离能依次明显增大(但其中有些曲折,不规则的原因:多数与全空、全满和半满构型是比较稳定的构型有关。)。

副族元素:左-右:其第一电离能不规则地增加,且增加的幅度很小。

同族比较:有效核电荷数相同,主量子数越大,电离能越小。

主族元素:自上而下,随主量子数递增而明显地依次减小。

副族元素:自上而下,变化幅度较小,且规律性也差。(第六周期的副族元素的第一电离能反而比第四、五周期的大,主要是由镧系收缩效应引起的)。

电子亲和能:一个处于基态的气态自由原子获得一个电子变成负一价气态自由离子时所吸收(正值)或放出(负值)的最小能量,称该原子的第一电子亲和能。电子亲和能也有第一、二级等电子亲和能之分,分别表示为Y1Y2

电子亲和能的变化规律:电子亲和能一般随原子半径减小而增大。这是因为原子半径减小,核电荷对电子的吸引力就增强,原子则易结合外来电子而放出能量。

主族元素:

同一周期,左-右,原子半径减少,电子亲和能逐渐增大。

同一主族,原子半径自上而下增大,电子亲和能自上而下减小。(但是每一族开头元素的电子亲和能反而小些,这是因为前者的原子半径比后者的小得多,电子间斥力强)

副族元素:对于副族元素,它们的电子亲和能数据比较少,变化规律性也不明显。

元素电负性的概念:所谓元素电负性是指原子在分子中吸引成键电子的能力,常用χ表示。元素电负性越大,该元素原子在分子中吸引成键电子的能力越大,反之越小。

电负性变化规律:有效核电荷和原子半径的变化规律是一致的

主族元素:同一周期自左至右电负性增大;同一族自上而下电负性减小,

副族元素:同一周期自左至右电负性略有增加;同一族中的规律:

χ(第一过渡系)χ(第二过渡系)≈χ(第三过渡系)

在周期表中,右上方χ()最大(3.98),左下方χ(Cs)最小(0.79);

电负性的应用:a.判断元素的金属性和非金属性电负性越大,金属性越弱,非金属性越强;电负性越小,金属性越强,非金属性越弱。

b.判断化学键的性质和键的极性ΔX1.7极性共价键,ΔX1.7离子键

小结,在本章中,我们讨论了原子的结构,重点掌握四个量子数的意义以及它们的取值规律及原子性质的周期性。请同学们结合课后习题,进一步理解原子结构及其周期性变化规律。

 

 


  分子结构与性质

我们都知道分子是参与化学反应的基本单元之一。也是保持物质化学性质的最小微粒。因此,对分子内原子间的成键情况进行分析,进而讨论分子的形成过程,能够帮助我们更好的理解分子的结构与性质之间的关系。在本章中,我们将在第八章 原子结构的基础上,重点讨论共价键理论,和分子构型等问题。我们都知道,化学键是指的原子或离子之间的强相互作用,主要包括离子键,共价键,金属键三种类型。在本章中,我们将重点讨论共价键理论,包括,1916Lewis理论价键理论(19271930),以及在此基础上发展的价层电子对互斥理论(1940)杂化轨道理论(1931)。此外,我们还要学习,建立在原子轨道理论基础上的分子轨道理论(20世纪20年代末)价键理论和分子轨道理论各有特色,可以帮助我们预测,分析,解决分子的结构和性质,它们共同构成了共价键理论。

共价键的概念是美国人路易斯(G.N.Lewis)于1916年首先提出的,路易斯认为,分子中每个原子都具有形成类似于惰性原子的稳定电子结构的倾向,并通过原子间共用电子对的方式结合成分子。由此形成的化学键称为共价键(covalent bond),这种分子称为共价分子。此后在量子力学研究H2分子共价键本质的基础上发展起了共价键的价键理论(valence bond theory, VBT),又称电子配对法(electron pairing method)。它为共价键的本质在于共享电子对的观点提供了理论基础。

价键理论认为,一个共价键的形成必须具备以下两个条件(要点):

电子配对成键原理参与形成一个共价键的两个(基态)原子,各自都必须提供一个自旋(spin)没有配对的电子,这两个电子在自旋相反的条件下,才能够配对形成一个共价键。如果原子中没有未配对电子,一般不形成共价键,而已配对成键的电子不能再参与形成新的共价键。

通过H2分子的能量曲线图,可以说明H原子形成共价键的条件。如果两个H原子的成单电子自旋方向相反,则两个原子1s轨道互相重叠,两核间的电子云密度增大,体系的能量降低。在两个原子核之间构成一个负电荷的,把两个带正电荷的核吸引在一起。当核间距达到平衡距离R0时,体系的能理达到最低点。若两个原子进一步靠近,由于两核间的库仑排斥力逐渐增大而使体系的能量升高。因此,两个H原子在平衡距离R0处可以形成稳定的H2分子。实验测得R0=74pm,能量降低的数值,它近似等于H2分子的键能。

如果两个原子的电子自旋方向相同,则两核间的电子云密度稀疏,电子互相排斥。体系的能理高于单独存在的H原子能量之和,这就意味着它们不可能结合成H2分子。

可见,共价键的形成是由于两原子相互靠近时,具有自旋方向相反的未成对电子的相应原子轨道互相重叠,电子云密集在两个原子核之间,从而使体系的能量降低

但是,一个原子中的未配对电子数的概念也不是一成不变的。作为对价键理论的重要补充和发展,有人提出激发成键的观点。所谓激发成键,是指参与成键的原子,其价轨道上已配对的电子,可能被激发到相邻的空价轨道上,拆分成两个未配对电子。激发电子所需要的能量,可由形成共价键时所放出的能量予以补偿。例如,Be原子的基电子组态为1s22s2,并无未成对电子。其价电子层的基电子组态2s22p0,被键合原子Cl激发成2s12p1,使Be原子产生两个未配对电子,可形成两个共价键,因此才有BeCl2这类分子的存在。

原子的价电子层有多少未配对的电子,形成分子时,就会形成多少个共价键。例如H3C—CH3为共价单键、CH2=CH2为共价双键(doublebond)HC=CH为共价参键(triplebond)。电子配对成键原理决定了共价键具有饱和性。

轨道最大重叠原理在满足第一个条件的前提下,只有两自旋相反电子的电子云重叠才能形成一个共价键,并且电子云重叠区域越大,体系能量降得越低,形成的共价键才越稳定。这就是电子云最大重叠原理。

s电子云是球形对称的以外,其余原子轨道的电子云都具有确定的极值取向。如果s电子云与px电子云重叠,则必须沿对应的x轴的方向重叠才是最大重叠。轨道最大重叠原理决定了共价键具有方向性。根据电子云重叠程度不同,可对共价键进行分类。

共价键的特点

1)共价键具有方向性

共价键的方向性是由轨道最大重叠原理决定的,因为要实现轨道的最大重叠,必须在核间距不变的情况下,两轨道沿其极值最大的方向重叠才是最大的重叠。由于共价键在分子中的相对取向是确定的,那么由共价键连接的原子在分子中的相对位置也是确定的,即分子的几何构型是确定的。在多原子分子中,共价键的方向性有着重要作用,它不仅决定了分子的几何构型,而且还影响着分子的极性和对称性等分子性质。

2)共价键具有饱和性

共价键的饱和性是电子配对成键原理决定的,由于每种元素的原子所能提供的价轨道数和形成分子时所需提供的未成电子数是一定的,所以只要能确定某个原子的未配对电子数(包括激发后形成的未配对电子数),就能推算出该原子可能形成的最多共价键数。

共价键的类型共价键的形成是两未配对电子的电子去相互重叠的结果。根据电子云的重叠方向,方式及重叠后电子云分布的对称性,可将常见的共价键分为两类,即σ键和π键两类。根据共价键中共用电子对的来源不同,又可以将共价键分为普通共价键和配位共价键(complex valence bond)两类。

σ bond)如果各参与成键的电子云,沿键轴(即成键两原子核之间的连线)方向的分布是圆柱形对称的,它们重叠之后的电子云仍保持原来的圆柱形对称性,所形成共价键称为σ键。

例如在Cl2分子中,每个Cl原子的3px轨道都有一个未配对电子,这两个3px电子云对x(键)轴呈圆柱形对称,二者沿x轴方向重叠后的电子云分布对x轴仍具有圆柱形对称性(见图93),所以电子云px-px沿x轴重叠形成的必然是σ键。其他如s-s电子云的重叠,s-p电子云的重叠等都形成σ键。

π bond)如果各参与成键的电子云,对过键轴的平面呈对称分布,而重叠后的电子云仍然保留这种对称性,这样形成的共价键称为π键。例如,在N2分子中(图24),N原子的成键轨道及成键电子,,当它们沿键轴方向相互靠近时,2px-2px重叠呈圆柱形对称,形成一个σ键;2pz-2pz轨道沿键轴方向重叠时,则有一个对称面。这个对称面通过键轴而垂直于z轴(即xy平面),重叠区对称地分面在平面两边,波函数的符号相反。这种对称性称为镜面反对称,具有这种对称性的共价键为π键。同样,N原子的2py-2py轨道沿键轴方向重叠时,形成的也是π键,对称面为xz平面。所以N2分子中的共价参键,一个是σ键,两个是π键。

配位共价键前面介绍的共价键的共用电子对都是由参与成键的各原子分别提供的属于普通共价键。但是有些共价分子中的共价键并非如此,如果σ键的共用电子对是由单方面提供的,则这类共价键定义为σ配位共价键,简称为配价键。如果π键的共用电子对由单位方面提供,则称为π配键。例如,H+NH3反应生成NH4+时,NH3分子中N原子上的孤电子将同时进入H+离子中能量最低的1s空轨道,形成一个σ键,由于这个σ键的成键电子是由N原子单方面提供的,所以称为σ配(位共价)键,其电子云对键轴是圆柱形对称的。

又如,CO分子的成键情况,C原子介电子层的基电子组态为,O原子价电子层的基电子组态为2s22p4,当二者化合时:二者的2px-2px电子云重叠成σ键(键轴为x轴);2py-2py电子云重叠成πy键;O原子的电子进入C原子的空轨道形成πz配键。

在分子结构中,配键通常以“←”符号表示,箭头起点为提供孤对电子的原子,终点为提供空轨道接受孤对电子的原子。

通过以上的两讨论可知,形成配键必须同时具备两上条件:第一,成键原子中应有一个原子至少有一个孤电子对;第二,成键的另一个原子中,在其价电子层中至少有一个空的原子轨道。配键普遍存在于配位化合物中,有关配键的问题将在配位化合物中进一步讨论。

原子轨道的杂化(hybridization of atom orbitals)

共价键理论确实能解释共价分子的成键过程,但在解释分子几何构型时却遇到了很大困难,例如CH4分子的几何构型(geometric configuration),根据实验测定,4C—H键的键长均相等,为109pm,键能均为414kJ/molC—H间的夹角均为109°28′,它们构成以C原子为中心的正四面体几何构型而根据价键理论却无法解释这个事实,对H2O分子和NH3分子的几何构型的解释,也遇到相同的困难。

电子配对法的失败,其主要原因是,不能简单地用自由原子轨道代替成键后分子中的原子轨道。实际上,当原子参与化学反应,并结合成分子时,已不再是自由原子了。在这种情况下,原子中的价电子不仅要受自身中心力场的作用,还要受到与其键合原子电场的作用。因此,当有键合原子电场作用时,自由原子价电子层中的某个电子所处的状态(原子轨道),将会发生改变。为此,在量子化学中进行如下处理:将自由原子中的原子轨道进行线性组合(叠加)产生一个新的波函数,用它表示成键后的原子轨道。这种新的波函数称为杂化原子轨道,简称杂化轨道(hybrid orbital)。这种线性组合过程称为原子轨道杂化(atom orbital hybridization)。在分子AXm中,A原子称为中心原子,X原子称为端原子,轨道杂化一般发生在中心原子中,而端原子不杂化。

杂化轨道有如下特点:

1能量相近原则,在一个原子中,一般是中心原子价电子层的能量相近的原子轨道,在另一个原子(端原子)的作用下,才能发生杂化。中心原子中能量相近,并能参与杂化的原子轨道,常见的有以下几组:

a组:nsnp,称为s-p型杂化,含spsp2sp3杂化;

b组:(n1)dnsnp,称d-s-p型杂化,含ds2d2sp3等杂化;

c组:nsnpnds-p-d型杂化,含sp3d2等杂化。

本节重点介绍s-p型杂化。

2轨道数目守恒原则,即原子中参与杂化的原子轨道数N等于形成的杂化道数,例如,在CH4分子中,C原子有4个原子轨道(即12s32p轨道)形成的sp3杂化轨道数也是4个。

3能量重新分配原则,杂化前后的各原子轨道具有确定的能量,而杂化(原子)轨道的能量,只有平均值,并且各杂化轨道能量平均值可以相等(等性杂化),也可不相等(不等性杂化)。这决定于具体分子的条件。

4最大重叠原则,原子轨道的杂化可以提高它的成键能力,形成更加稳定的共价分子。这是因为在核间距不变的情况下,经过杂化的中心原子的电子云与键合原子电子云的重叠区比未杂化的要大得多,满足电子云最大重叠原理的要求,因而提高了成键能力(见图95)。

5).杂化轨道对称性分布原则,各个杂化轨道在核外空间要采取最对称的空间分布方式,以使成键电子之间的排斥力最小。

杂化轨道类型与分子空间几何构型

1sp等性杂化及分子的几何构型

Be原子的基电子组态为1s22s2,在BeCl2分子中Be原子的一个ns轨道和np轨道(三个p轨道中的任意一个)组合,得到两个等性sp杂化轨道,每个杂化轨道中均含有1/2s成分和1/2p成分,两个杂化轨道的夹角为180°BeCl2分子呈直线型。(95)

2sp2等性杂化及分子的几何构型

B原子的基电子组态1s22s22p1,在BF3分子中B原子的一个ns轨道和两个np轨道(三个p轨道中的任意两个)组合,得到三个等性sp2杂化轨道。所以各杂化轨道中1/3s成分和2/3p成分,杂化轨道间夹角为120°构成平面三角形分子(见图96)。

3sp3等性杂化及分子几何构型

C原子的基电子组态为1s22s22p2。在CH4分子中,C原子上的电子先激发为1s22s12p3,然后由一个ns轨道和三个np轨道组而成sp3杂化轨道。每个杂化轨道含有1/4s成分和3/4p成分,呈正四面体构型。(见图97)。

4S-P型不等性杂化及分子构型(molecularconfiguration)

等性杂化还不能解释为数众多的分子几何构型对实验结构的偏离。下面以NH3分子为例来说明这种偏离产生的原因。

N价电子层的基电子组态为2s22p3,即NH3分子的中心原子N采取sp3杂化,由杂化前后的能级分布图(如图98)可以发现:四个sp3杂化轨道的能量并不相同,其中被不参与成键的孤对电子占据的一个杂化轨道的能量比其他三个低。量子化学计算和核磁共振实验结果表明,前者的s成分为79%p成分为21%,后者的s成分为7%p成分为93%。于是我们将各杂化轨道中的同名原子轨道的成分不完全等同的杂化称不等性杂化。

一般情况下,凡是中心原子在成键之后,其价轨道上仍有孤对电子时,通常取不等性杂化。成键杂化轨道中,s(p)成分越大(小),键角越大;这就解释了N原子虽然取sp3杂化,而键角小于109°28′,为107°20′的原因。同理可以定性说明,H2O分子的键角为什么既不是90°,也不是109°28′,而是104°45′的原因。应当注意对于同种原子在不同分子中,或在同一分子中的不同位置,它们所取的杂化形式不完全相同。例如,在NH3NH4+NO2NO2+NO分子,离子系列中,N原子所采取的杂化形式就各不相同;又例如,在分子中的两个C原子和两个O原子,所采取的杂化形式也是各不相同。所以一个原子在分子中究竟应该取什么样的杂化形式,应根据具体情况来确定。

价层电子对互斥理论(valenceshellpairrepulsiontheoryVSEPRT)在预测一些分子或离子的空间构型方面比较简便,它与杂化轨道理论配合,能方便地解释一般分子或离子的成键情况和空间构型。判断分子或离子的空间构型就是以这些电子对的空间排布为依据。一个多原子共价型分子Abn或离子的空间构型,取决于中心原子A周围的成键电子对(bonded electron pair)和孤电子对(lone electron pair)的数目;电子对之间的相互排斥,使这些电子对互相处于尽可能远离的位置上以使斥力最小;分子空间构型的一般判断方法是:

1.确定在中心原子A价电子层中的电子对总数

把中心原子A原有的价电子数加上配位原子B提供的电子数即得价电子层中的总电子数。在正常的共价键中,规定:

1)不同元素的原子处于不同地位时,提供了价层电子数不同。氢和卤素原子各提供1个价电子;但当卤素原子作为中心原子时,则提供7个价电子。氧族元素作为端原子时可认为不提供共用电子;但当氧族元素的原子作为中心原子时,则提供6个价电子。这是因为:原子作为配位原子在成键时,空出12p轨道接受中心原子提供的孤电子对而形成配位键,

2)如果所讨论的是多原子离子,则要加上或减去与电荷相对应的电子数。例如,离子中的P应加上3个电子,而离子中的N应减去1个电子。

3)如果所讨论的分子中含有双键或三键,则把它们当做1个单键即为作为2个电子看待。因为在多重键对分子形状不起决定作用。

4)把中心原子A的价电子层中的总电子数除以2则得到电子对数,如遇有不成对的电子,也作为电子对看待。

2.确定电子对的几何构型

由中心原子A的价电子数对,根据排斥力最小的原则,可以确定电子对的理想几何构型。对应于电子对数为23456时,几何构型分别为直线型、平面三角形、正四面体型、三角双锥型和正八面体型。

3.确定分子的稳定结构

根据电子对的几何构型,把配位原子排在中心原子A的周围,每一对电子连接1个配位原子,剩下的未结合的电子对便是孤电子对。考虑以下因素,确定分子构型,使分子的能量最低:

1)考虑孤电子对、成键电子对对分子几何构型的影响

根据孤电子对、成键电子对这间的相互斥力的大小顺序:孤电子对-孤电子对>孤电子对-成键电子对>成键电子对-成键电子对,确定斥力最小的排布为稳定结构,并估计这种结构对理想几何构型的偏离程度。

2)考虑重键对分子几何构型的影响

如果分子中有重键,虽然重键只算一个电子对,但它毕竟有较多的价电子,在中心原子周围占有较大的空间,因而对附近的其他电子对有较大的排斥作用。重键排斥作用的大小顺序为:三重键>双键>单键>单电子。因此,虽然重键或π键不会改变分子的基本形状,但对键角也会有一定的影响。一般来说,含单键的键角小,含双键的键角略大。例如C2H4分子和CH2O分子中,键角∠HCC∠HCO略大于120°而键角∠HCH略小于120°(见图9-10)。

3)考虑电负性对分子几何构型的影响

中心原子和键合原子的电负性相对大小,也会影响分子几何构型(键角大小)。对于同一中心原子,与其键合的原子的电负性越大,吸引键对电子的能力就越大,键对电子云将键合原子方向移动。对附近其他电对的排斥作用就比较小,因而键角变小。例如在NH3NF3分子中,x(F)x(N),电负性,所以二者的键角为∠FNF102.1°)<∠HNH(107°20′)。当键合原子相同而中心原子不同时,则中心原子电负性越大,键对电子云将向中心原子移动,产生较大的排斥作用,键角将变大。例如在H2XX=OSSeTe)分子中,中心原子的负电性x分别为3.442.582.552.1,因此它们相应的键角∠HXH分别为104.7°92.2°91.0°89.5°

4)价层电子对互斥理论判断分子几何构型的实例

[21]判断NO2分子的几何构型。

解:N原子有5个价电子,根据上述规则,氧原子不提供价电子,因此中心原子N的价层电子总数为5,相当于3个电子对。N原子价层电子对的排布应为平面三角型,所以NO2分子的结构为“V”字形,∠ONO理论值为120°,但在孤电子对的位置实际上只有1个电子,排斥力减小使键角要稍大一些实际上∠ONO=135°,如图910所示。

价键理论(包含杂化轨道理论)能说明许多分子的形成过程和几何构型,可是应用它来处理某些分子如O2分子的结构时却遇到了矛盾。例如,按价键理论,O2分子的结构应为,分子内部的电子都已配对,但根据磁性实验,测得氧分子为顺磁性物质,说明氧分子中存在未成对电子。这需要用分子轨道理论加以说明。

分子轨道理论(moleculeorbitaltheory)强调分子的整体性,认为原子形成分子以后,电子不再局限于每个原子的原子轨道,而是在整个分子范围内运动。分子中每个电子的运动状态,同样可用相应的波函数(wavefunction)ψ来描述,这种描述分子中电子运动状态的波函数叫做分子轨道。以下用同核双原子分子为例说明分子轨道理论的要点。分子轨道是由分子中各个原子的原子轨道适当组合形成的。分子轨道的数目等于参加组合的全部原子轨道数。量子力学(quantummechanics)证明,由原子轨道组合成分子轨道时,须满足下列三个条件:

能量相近条件只有能量相近原子轨道才能有效地组合成分子轨道。为此,在分子轨道符号中须用下标注明对应的原子轨道的名称。

第二,原子轨道的最大重叠条件要求组成分子轨道的各个原子轨道尽可能多地重叠。根据原子轨道相互重叠的程度大小,可以将分子轨道分为σ分子轨道和π分子轨道。例如,由ss轨道、PxPx轨道组合所形成的分子轨道,其形状是沿着两核连线方向呈圆柱形对销,这种分子轨道叫做σ分子轨道;由PyPyPzPz轨道组合所形成的分子轨道。有一个通过核间连线的对称节面,呈镜面反对称,叫做π分子轨道(见图913)。

第三,对称性匹配条件

原子轨道组合成分子轨道时,有两种组合方式:原子轨道的同号部分重合或异号都分重合对称性不匹配,形成反键分子轨道。与原来的两个原子轨道的能级相比较,成键分子轨道(bondingmolecularorbital)中两核间电子云密度增大,其能级降低;反键分子轨道(antibondingmolecularorbital)中两核间电子云密度减小,能级升高。成键轨道降低的能量和反键分子轨道升高的能量相等。前者称为对称性匹配(symmetricmatch)形成成键轨道,后者称为σ成键轨道和的反键轨道分别用σσ*表示,π成键轨道和反键轨道,分别用ππ*表示(图913)。由图可见,由s-s组合只能形成1σs轨道和1轨道,而pp组合,除形成1轨道和1轨道外,还可形成能量相等,互相垂直的分子轨道以及分子轨道,共6个分子轨道。在图9-14中将这些分子轨道按能量高低排列成分子轨道能级图,图中每根短横线代表1个分子轨道。

在分子轨道上填充电子即构成分子轨道电子分布式。电子在分子轨道中的分布和电子在原子轨道中的分布一样,服从泡利不相容原理、最低能量原理和洪特规则。根据分子光谱的实验数据确定的分子轨道能级高低的顺序,按照电子分布的原则,可以写出分子的电子分布式。现举例说明如下:

第二周期元素同核双原子分子的分子轨道能级顺序有两种类型,O2F2为一类,以O2为代表;Li2N2为另一类,以N2为代表。

O2分子共有16个电子,其中12个为外层电子。按电子分布原则和图917的能级顺序,其电子分布式可写成:

9-1

式中下划线表示能量简并(energydegeneration)的轨道。

N2分子共有14个电子,其中10个为外层电子,按电子分布原则,其电子分布式可写成:

9-2

式中KK等效于,表示两个氮原子的K层全充满。

比较O2分子与N2分子的分子轨道能级顺序发现,它们的区别在于,能级的位置发生变化。在O2分子中,的能级变得低于。上述分子轨道电子分布式,是分子处于基态时的电子结构,故又称为分子的基电子组态。

根据分子的基电子组态,可以很方便地讨论分子的成键情况、分子的磁性,并画出分子的结构式。

(1)   键级(bondorder)

分子轨道理论中,共价键的强度用键级表示。键级按下式计算:

9-3

当成键轨道和反键轨道的电子数相等时,键效应与反键效应互相抵消,对成键没有贡献,只有净成键电子数对成键才有贡献,键级越大,键的强度越大,分子越稳定。

2)分子的磁性

物质的磁性是指物质在磁场中表现出来的性质。一般物质的磁性主要由电子运动来表现,它和原子、分子或离子的未成电子数有直接的关系,若分子或离子中所有的电子都已配对,则这种物质置于磁场中会被诱导出一个与外磁场反向的小磁矩,从而削弱外磁场的。这种物质称为反磁性物质。若分子或离子中存在未成对电子,在外磁场作用下,会被磁场吸引,从而加强外磁场的强度,这种物质称为顺磁性物质。通常把顺磁性物质在磁场中产生的磁效应用磁矩μm来表示。μm的单位为玻尔磁子μB

分子的顺磁性几乎全部由电子的自旋所贡献,其磁矩μm与未成对电子数的关系为:

9-4

式中n为分子未成对电子数,μB为磁矩单位,称为玻尔磁子(μB=9.27×1024A·m2)。O2分子中有2个未成对电子(n=2),其磁矩为:

N2分子中没有未成对电子(n=0),其磁矩为0,与实验结果符合。

键能(bondenergy)、键长(bondlength)和键角(bondangle)是表示共价键性质的重要物理量,统称为键参数(bondparameter)。既然分子是由原子通过共价键结合而成,因此共价键的性质就决定了分子的性质。例如:共价键有饱和性,就决定了分子具有确定的组成(用分子式表示);共价键的方向性,就决定了分子具有确定的空间几何构型(用键长和键角表示);共价键有强弱差别,就决定了分子的稳定性的差异(用键能表示)。所以键参数是描述分子性质的重要参数。

键能:在标准状态下,气态物质AB断开1mol键形成中性气态物质AB所需要的能量称为A—B键的键能(bondenergy)。这个能量等于该过程的标准焓变,键能是衡量化学键能的物理量,符号为E,单位为kJ/mol,键能的定义主要用于衡量共价键的强度。

对于双原子分子,键能等于分子的离解能D

键长分子内成键两原子核间的平衡距离称为键长(Bondlength)。键长可以用分子光谱或X射线衍射方法测得。

从分析大量实验数据发现,同一种键在不同分子中的键长数值基本上是个定值。这说明一个键的性质主要取决于成键原子的本性。两个确定的原子之间,如果形成不同的化学键,其键长成短,键能就越大,键就越牢固。

键角在分子中两个相邻化学键之间的夹角称为键角(bondangle)。像键长一样,键角数据可以用分子光谱或X射线衍射法测得。如果知道了某分子内全部分学键的键长和键角数据,那么这个分子的几何构型就确定了。可见,键角和键长是描述分子几何结构的两个要求

 

 

 


  配合物结构和性质

今天,我们一起来学习配合物的结构与性质。配合物是Lewis酸碱的加合物。例如:[Ag(NH3)2]+LewisAg+NH3的加合物。Lewis酸称为形成体(中心离子);Lewis碱称为配位体。形成体与一定数目的配位体以配位键按一定的空间构型结合的离子或分子叫做配合物。形成体通常是金属离子和原子,也有少数是非金属元素,例如:Cu2+,Ag+,Fe3+,Fe2+,Ni2+,B,P....

配位体通常是非金属的阴离子或分子,例如:F-,Cl-,Br-,I-,OH-,CN-,H2O,NH3,CO.....

配位原子——与形成体成键的原子单基配位体——配位体中只有一个配位原子多基配位体——具有两个或多个配位原子的配位体

例如:乙二胺(en)两个配位原子乙二酸根(草酸根)两个配位原子)乙二胺四乙酸根(简称EDTA,Y4-)(六个配位原子)

配位数——配位原子数在单基配体中,形成体的配位数等于配位数的数目;在多基配体中,形成体的配位数等于配位体的数目与基数的乘积。

例如:[Cu(en)2]2+Cu2+的配位数等于4

从溶液中析出配合物时。配离子与带有相反电荷的其他离子结合成盐,这类盐属于配盐。配盐的组成可以划分成内层和外层。配离子属于内层,配离子以外的其他离子属于外层。外层离子所带电荷总数等于配离子的电荷数。

配合物的化学式和命名原则如下

配酸:×××配碱:氢氧化×××配盐:先阴离子后阳离子,简单酸根加字。复杂酸根加字。

内层命名顺序:配位数、配位名称、、形成体名称(氧化值)。配位数目用倍数词头二、三、四等数字表示(配位数为一时省略),不同配体名称之间以“."分开,在最后一个配体名称之后缀以字。形成体的氧化值用带括号的罗马数字表示(氧化值为0时省略)。

配体次序:先离子后分子。例如:K[PtCl3NH3]命名为三氯·氨合铂(Ⅱ)酸钾

同是离子或同是分子时,按配位原子符号的英文字母顺序排列,例如:[Co(NH3)5H2O]Cl3命名为氯化五氨·水合钴(Ⅲ)

配位原子相同,少原子在先,配位原子相同,且配体中含原子数目又相同,按非配位原子的元素符号英文字母顺序排列,例如:[PtNH2NO2(NH3)2]命名为氨基·硝基·二氨合铂(Ⅱ

先无机后有机,例如:K[PtCl3(C2H4)]命名为三氯·乙烯合铂(Ⅱ)酸钾

课堂命名练习:H2[PtCl6][Cu(NH3)4](OH)2[Zn(OH)(H2O)3]NO3[Fe(CO)5]K3[Fe(NCS)6][Co(NO2)3(NH3)3][Ca(EDTA)]2-

3.配合物的分类

          简单配合物:一个中心、每个配体均为单基配位体。如:[Fe(CN)6]4-[Co(NH3)5(H2O)]3+

          螯合物:一个中心离子与多基配体成键形成环状结构的配合物。如:[Cu(en)2]2+CaY2-

          多核配合物:含两个或两个以上的中心离子。如:[(H2O)4Fe(OH)2(H2O)4]4+

          羰合物:CO为配体。如:Fe(CO)5Ni(CO)4

          烯烃化合物:配体是不饱和烃。如:[PdCl3(C2H4)]-

          多酸型配合物:配体是多酸根。如:(NH4)3[P(Mo3O10]·6H2O

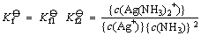
配离子或配合物分子在水溶液中存在着配合物的解离反应和生成反应之间的平衡,这种平衡称为配位平衡。配盐溶于水完全解离,解离出的配离子在水溶液中的解离像弱电解质一样,是部分地分步解离出其组成部分。例如:

总解离反应:

——[Ag(NH3)2]+的分步解离常数

——[Ag(NH3)2]+的总解离常数,又称为配合物的不稳定常数

愈大,配合物愈易解离,愈不稳定。

配合物的生成反应是配合物解离反应的逆反应。

总生成反应:

——[Ag(NH3)2]+的分步生成常数

——[Ag(NH3)2]+的总生成常数,又称为配合物的稳定常数或累积稳定常数。

愈大,配合物愈稳定,不易解离。

可以推得它们的关系为:

注意:一般说来,配合物的函级稳定常数随着配位数的增大而减小,即但各级稳定常数之间有时不是相差太大,进行平衡计算时,若累积稳定常数很大,而且配体在溶液中的浓度也较大时,可作近似计算。

配体取代反应一种配体取代了配离子内层的另一种配体,生成新的配合物的反应称为配体取代反应。生成的配合物的平衡常数越大,取代所用的配合剂的浓度越大,取代反应越完全。有时,配体取代反应发生时,伴随着溶液的pH的改变。

关于配合物稳定性的进一步讨论根据给吸电子能力的大小我们将酸碱分为硬酸、软酸和硬碱软碱等

所谓硬碱:电负性大(吸引电子能力强)、半径小,难氧化(不易失去电子),不易变形(难被极化)的原子,以这类原子为配位原子的碱,称为硬碱,如:NOF等。

软碱:电负性小(吸引电子能力弱),半径较大,易被氧化(易失去电子),容易变形(易被极化)的原子,如:I-SCN-S2-等,以这类原子为配位原子的碱称为软碱。

交界碱:界于硬碱和软碱之间的碱叫做交界碱。

硬酸:电荷数较大、半径较小、外层电子被原子核束缚得较紧,因而不容易变形(极化率小)的阳离子,如:Al3+Fe3+H+等。

软酸:电荷数较少,半径较大,外层电子被原子核束缚得比较轻松因而容易变形的阳离子,如:Cu+Ag+Cd2+Hg2+等。

交界酸:界于硬酸和软酸之间的酸称为交界酸。

Lewis酸碱根据硬软酸碱概念分类后,大量实验事实证明:硬酸与硬碱结合,软酸与软碱结合,常常形成稳定的配合物,简称为硬亲硬,软亲软。这一规律叫做硬软酸碱原则,称为HSAB原则。

注意:硬软酸碱原则基本上是经验的,比较粗糙,并不能符合所有实际情况。由于配合物的成键情况比较复杂,人们对软硬酸碱的研究尚不够深入,目前还不能简单地用硬亲硬,软亲软来全面阐述配合的稳定性。

那么鳌合物的稳定性如何求算呢

5-12一些螯合物和简单配合物的稳定常数对比表中数据可知:同一种金属离子的鳌合物往往比具有配位原子的配位数的简单配合物稳定(大),这种现象叫做鳌合效应。通常,鳌合配体与中心离子鳌合而成五原子环或六原子环更稳定些,且一个鳌合配体提供的配位原子越多,排成的五原子环或六原子环的数也越多,鳌合物越稳定

 

 


第十章  碱金属和碱土金属元素

  碱金属元素原子的价电子层结构为ns1。因此,碱金属元素只有+1氧化态。碱金属原子最外层只有一个电子,次外层为8电子(Li2电子),对核电荷的屏蔽效应较强,所以这一个价电子离核校远,特别容易失去,因此,各周期元素的第一电离能以碱金属为最低。与同周期的元素比较,碱金属原子体积最大,只有一个成键电子,在固体中原子间的引力较小,所以它们的熔点、沸点、硬度、升华热都很低,并随着Li-Na-K-Rb-Cs的顺序而下降。随着原子量的增加(即原子半径增加),电离能和电负性也依次降低。

碱金属性质的变化一般很有规律,但由于锂原子最小,所以有些性质表现特殊。事实上,除了它们的氧化态以外,锂及其化合物的性质与本族其它碱金属差别较大,而与周期表中锂的右下角元素镁有很多相似之处。

碱金属元素在化合时,多以形成离子键为特征,但在某些情况下也显共价性。气态双原子分子,如Na2Cs2等就是以共价键结合的。碱金属元素形成化合物时,锂的共价倾向最大,铯最小。

与碱金属元素比较,碱土金属最外层有2s电子。次外层电子数目和排列与相邻的碱金属元素是相同的。由于核电荷相应增加了一个单位,对电子的引力要强一些,所以碱土金属的原子半径比相邻的碱金属要小些,电离能要大些,较难失去第一个价电子。失去第二个价电子的电离能约为第一电离能的一倍。从表面上看碱土金属要失去两个电子而形成二价正离子似乎很困难,实际上生成化合物时所释放的晶格能足以使它们失去第二个电子。它们的第三电离能约为第二电离能的4—8倍,要失去第三个电子很困难,因此,它们的主要氧化数是+2而不是+1+3。由于上述原因,所以碱土金属的金属活泼性不如碱金属。比较它们的标准电极电势数值,也可以得到同样的结论。在这两族元素中,它们的原了半径和核电荷都由上而下逐渐增大,在这里,原子半径的影响是主要的,核对外层电子的引力逐渐减弱,失去电子的倾向逐渐增大,所以它们的金属活泼性由上而下逐渐增强。

碱金属和碱土金属团体均为金属晶格,碱土金属由于核外有2个有效成键电子,原于间距离较小,金属键强度较大,因此,它们的熔点、沸点和硬度均较碱金属高,导电性却低于碱金属。碱土金属的物理性质变化不如碱金属那么有规律,这是由于碱土金属晶格类型不是完全相同的缘故。碱金属皆为体立方晶格,碱土金属中,BeMg为六方晶格,CaSr为面心立方晶格,Ba为体立方晶格。

这两族元素的离子各有不同的味道特征,如Li+离子味甜;K+Na+离子味咸;Ba+离子味苦。

Li+离子的极化力是碱金属中最强的,它的溶剂化作用和形成共价的趋势异常的大,有人提出有锂键的存在,类似于氢键,如H—F···Li—F和(LiF22

碱金属和碱土金属的重要物理性质:碱金属和碱土金属单质除铍呈钢灰色外,其它都具有银白色光泽。碱金属具有密度小、硬度小,熔点低、导电性强的特点,是典型的轻金属。碱土金属的密度,熔点和沸点则较碱金属为高。

LiNaK都比水轻,锂是固体单质中最轻的,它的密度约为水的一半。碱土金属的密度稍大些,但钡的密度比常见金属如CuZnFe还小很多。IAIIA族金属单质之所以比较轻,是因为它们在同一周期里比相应的其它元素原子量较小,而原子半径较大的缘故。

由于碱金属的硬度小,所以钠、钾都可以用刀切割。切割后的新鲜表面可以看到银白色的金属光泽,接触空气以后,由于生成氧化物、氮化物和碳酸盐的外壳,颜色变暗。碱金属具有良好的导电性。碱金属(特别是钾、铷、铯)在光照之下,能够放出电子,对光特别灵敏的是铯,是光电池的良好材料。铷、铯可用于制造最准确的计时器——铷、铯原子钟。1967年正式规定用铯原子钟所定的秒为新的国际时间单位。

碱金属在常温下能形成液态合金(77.2% K22.8% Na,熔点260.7 K)和钠汞齐(熔点236.2 K),前者由于具有较高的比热和较宽的液化范围而被用作核反应堆的冷却剂,后者由于具有缓和的还原性而常在有机合成中用作还原剂。钠在实验室中常用来除去残留在各种有机溶剂中的微量水分。

锂的用途愈来愈广泛,如锂和锂合金是一种理想的高能燃料。锂电池是一种高能电池。

碱土金属中实际用途较大的是镁。主要用来制造合金。铍作为新兴材料日益被重视。

这两族元素中有几种元素在生物界有重要作用。钠和钾是生物必需的重要元素。镁对于所有有机界都是必需的。

碱金属和碱土金属的重要化学性质:碱金属钠、钾、钙、镁分别与水反应。金属钠与水反应剧烈,并放出H2。反应放出的热使钠熔化成小球。钾与水的反应更激烈,并发生燃烧,铷、铯与水剧烈反应并发生爆炸。

碱土金属也可以与水反应。铍能与水蒸气反应,镁能将热水分解,而钙、锶、钡与冷水就能比较剧烈地进行反应。

由此可知碱金属和碱土金属均为活泼金属,都是强还原剂;在同一族中,金属的活泼性由上而下逐渐增强,在同一周期中从左到右金属活泼性逐渐减弱。

根据标准电极电势,锂的活泼性应比铯更大,但实际上与水反应还不如钠剧烈。这是因为(1)锂的熔点较高,反应时产生的热量不足以使它熔化,而钠与水反应时放出的热可以使钠熔化,因而固体锂与水接触的机会不如液态钠;(2)反应产物LiOH的溶解度较小,它覆盖在锂的表面,阻碍反应的进行。

上述碱金属和碱土金属的活泼性及其变化规律,还表现在它们在空气中都容易和氧化合。碱金属在室温下能迅速地与空气中的氧反应,所以碱金属在空气中放置一段时,金属表面就生成一层氧化物,在锂的表面上除生成氧化物外还有氮化物。钠、钾在空气中稍微加热就燃烧起来,而铷和铯在空温下遇空气就立即燃烧。

4Li+O22Li2O

6Li+N22Li3N

4Na+O22Na2O

它们的氧化物在空气中易吸收二氧化碳形成碳酸盐:

Na2O+CO2=Na2CO3

因此碱金属应存放在煤油中,因锂的密度最小,可以浮在煤油上,所以将其浸在液体石蜡或封存在固体石腊中。

碱土金属活泼性略差,室温下这些金属表面缓慢生成氧化膜。它们在空气中加热才显著发生反应,除生成氧化物外,还有氮化物生成。

3Ca+N2=Ca3N2

因此在金属熔炼中常用LiCa等作为除气剂,除支溶解在熔融金属中的氮气和氧气。

在高温时碱金属和碱土金属还能夺取某些氧化物中的氧,如镁可使SiO2的硅还原成单质Si,或夺取氯化物中的氯,如金属钠可以从T1Cl4中置换出金属钛。

SiO2+2MgSi+2MgO

T1C14+4NaTi+4NaCl

碱金属最有兴趣的细致之一是它们在液氨中表现的性质。碱金属的液氨稀溶液呈蓝色,随着碱金属溶解两的增加,溶液的颜色变深。当此溶液中钠的浓度超过1mol/L以后,就在原来深蓝色溶液之上出现一个青铜色的新相。再添加碱金属,溶液就由蓝色变为青铜色。如将溶液蒸发,又可以重新得碱金属。

根据研究认为:在碱金属的稀氨溶液中碱金属离解生成碱金属正离子和溶剂合电子因为离解生成氨合阳离子和氨合电子,所以溶液有导电性。此溶液具有高导电性主要是由于有溶剂合电子存在。溶液中因含有大量溶剂合电子,因此是顺磁性的。痕量杂质如过渡金属的盐类、氧化物和氢氧化物的存在,以及光化作用都能促进溶液中的碱金属和液氨之间发生反应而生成氨基化物:

Na+NH3l=NaNH2+1/2H2

钙、锶、钡也能溶于液氨生成和碱金属液氨溶液相似的蓝色溶液,与钠相比,它们溶得要慢些,量也少些。碱金属液氨溶液中的溶剂合电子是一种很强的还原剂。它们广泛应用在无机和有机制备中。

S区元素的火焰焰色反应:碱金属和钙、锶、钡的挥发性盐在无色火焰中灼烧时,能使火焰呈现出一定颜色。这叫焰色反应。碱金属和钙、锶、钡的盐,在灼烧时为什么能产生不同的颜色呢?因为当金属或其盐在火焰上灼烧时,原子被激发,电子接受了能量从较低的能级跳到较高能级,但处在较高能级的电子是很不稳定很快跳回到低能级,这时就将多余的能量以光的形式放出。原子的结构不同,就发出不同波长的光,所以光的颜色也不同。碱金属和碱土金属等能产生可见光谱,而且每一种金属原子的光谱线比较简单,所以容易观察识别。利用焰色反应,可以根据火焰的颜色定性的鉴别这些元素的存在与否,但一次只能鉴别一种离子。同时利用碱金属和钙、锶、钡盐在灼烧时产生不同焰色的原理,可以制造各色焰火,例如红色焰火的简单配方:

质量百分比KClO334%Sr(NO3)2炭粉10%镁粉4%松香7%

绿色焰火配方:

质量百分比Ba(ClO3)238%Ba(NO3)240%S22%

由于碱金属和碱土金属的化学性质很活泼,所以它们只能以化合状态存在于自然界中。在碱金属中,钠和锂在地壳中分布很广,两者的丰度都为2.5%。主要矿物有钠长石Na[AlSi3O8]、和钾长石K[A1Si3O8],光卤石KCl·MgCl2·6H20及明矾石K2SO4·A12(SO4)3·24H2O等。海水中氯化钠的含量为2.7%,植物灰中也含有钾盐。锂的重要矿物为锂辉石Li20·A12034SiO2,锂、铷和铯在自然界中储量较少且分散,被列为希有金属。

碱土金属除镭外在自然界小分布也很广泛,镁除光卤石外,还有白云石CaCO3·MgCO3和菱镁矿MgCO3等。铍的最重要矿物是绿柱石3BeO·Al2O3·6SiO3。钙、锶、钡在自然界中存在的主要形式为难溶的碳酸盐和硫酸盐,如方解石CaCO3、碳酸锶矿SrCO3、碳酸钡矿、石膏CaSO4·2H2O、天青石SrSO4殉匝北石BaSO4等。海水中含有大量镁的氯化物和硫酸盐,1971年世界镁产量有一半以上是以海水为原料生产的。由于碱金属和碱土金属的性质很活泼,所以一般都用电解它们的熔融化合物的方法制取。钠和锂主要用电解熔融的氯化物制取。

电解熔融氯化钠制金属钠制取金属钠电解槽示意图如下。电解槽外有钢壳,内衬耐火材料。两极用隔墙分开。氯气从阳极区上部管道排出,钠从阴极区出口流出。

电解用的原料是氯化钠和氯化钙的混合盐。若只用氯化钠进行电解,不仅需要高温,而且电解析出的金属钠易挥发(氯化钠的熔点为1073K,钠的沸点为1156K),还容易分散在熔融盐中,难于分离出来。加入氯化钙后,一则可降低电解质的熔点(混合盐的熔点约873K),防止钠的挥发,再则可减小金属钠的分散性,因熔融混合物的密度比金属钠大,钠易浮在面上。

制取碱金属的方法还有热还原法、金属置换法和热分解法。

热还原法一般采用焦炭或碳化物为还原剂

金属置换法钾、铷和钠虽然也可以用电解法制取,但常用强还原性的金属如NaCaMgBa等在高温和低压下还原它们氯化物的方法制取

上面几个反应看起来那是较不活泼的金属把活泼金属从其盐类中置换出来,这似乎与金属的标准电极电势排列的金属活动顺序相矛盾,我们已经知道用标准电极电势作反应方向的判断标准,只能在水溶液的情况下应用,而上述反应都是在高温下进行的,所以不能应用。将钠蒸气通入熔融的KCl中,可以得到一种钠钾合金。从表17—3可知:钠的沸点为11559K,钾为1047.9K,钾在高温更易挥发。在一个分馏塔中加热。利用钾在高温时挥发度大而从合金中分离出来。另外钠和钾的同类型化合物的晶格能相比,钠比钾高,因而钠的化合物更稳定。

钾沸点低易挥发,钾易熔于熔融KCl中难分离,在电解过程中产生的KO2K会发生爆炸,所以一般不用熔融盐电解法制取钾,主要用金属置换法等制取。

热分解法碱金属的化合物,如亚铁氰化物,氰化物和叠氮化物,加热能被分解成碱金属。

碱金属的叠氮化物较易纯化,而且不一发生爆炸。这种方法是精确定量制备碱金属的理想方法。锂因形成很稳定的Li3N,故不能用这种方法制备。

碱金属和碱土金属氢化物化学活性很高的碱金属和碱土金属中较活泼的CaSrBa能与氢在高温下直接化合,生成离子型氢化物:

2M+H22M+H-(M=碱全属)

M+H2M2+H2-(M=CaSrBa)

氢化锂约在998K时形成,氢化钠和氢化钾在573—673K时生成,其余氢化物在723K时生成但在常压下反应进行缓慢。这些氢化物均为白色晶体,但常因混有痕量金属而发灰。由于碱金属和CaSrBa与氢的电负性相差较大,氢从金属原子的外层电子中夺得1个电子形成阴离子H-,这些氢化物都是离子晶体,故称为离子型氢化物,又称为盐型氢化物。电解熔融的盐型氢化物,在阳极上放出氢气,证明在这类氢化物中的氢是带负电的组分。碱金属氢化物个的H-离子的半径介于碱金属氟比物中的F-离子和氯化物中的C1-离子之间,因此,碱金属氢化物的某些性质类似于相应的碱金属卤化物。

碱金属氢化物中以LiH最稳定。加热到熔点(961K)也不分解。其它碱金属氢化物稳定性较差,加热还不到熔点,就分解成金属和氢。

所有碱金属氢化物都是强还原剂。固态NaH673K时能将TiCl4还原为金属钛:

TiCl4+4NaHTi+4NaCl+2H2

LiHCaH2等在有机合成中常作为还原剂。在水溶液H2H-电对的E0=225V,可见H-是最强的还原剂之一,它们遇到含有H+的物质,如水,就迅速反应而放出氢:

LiH+H2OLiOH+H2

CaH2+2H2OCa(OH)2+2H2

由氢化钙与水反应而能放出大量的氢气,所以常用它作为野外发生氢气的材料。

碱金属与氧化合可以形成多种氧化物,普通氧化物M2O,过氧化物M2O2,超氧化物MO2和臭氧化物MO3。碱金属在过量的空气中燃烧时,生成不同类型的氧化物:如锂生成氧化锂Li2O,钠生成过氧化钠,而钾、铷、铯则生成超氧化物。碱土金属一般生成普通氧化物MO,钙、锶、钡还可以形成过氧化物和超氧化物。

碱金属和碱土金属氧化物在空气中燃烧时,只有锂生成氧化锂(白色固体)。尽管在缺氧的空气中可以制得除锂以外的其它碱金属普通氧化物,但这种条件不易控制,所以其它碱金属的氧物M2O必须采用间接方法来制备。例如用金属钠还原过氧化钠,用金属钾还原硝酸钾,分别可以制得氧化钠(白色团体)和氧化钾(淡黄色固体)

Na2O2+2Na2Na2O

2KN03+10K6K2O+N2

Rb2O为亮黄色,Cs2O为橙红色,氧化物的颜色依次加深。

碱金属氧化物M2O与水化合而生成氢氧化物MOH

M2O+H2O=2MOH

碱金属氧化物与水反应的程度,从Li2OCs2O依次加强。Li2O与水反应很慢,但Rb2OCs2O与水反应时会发生燃烧甚至爆炸。

碱土金属在室温或加热下,能和氧气直接化合而生成氧化物MO,比可以从它们的碳酸盐或硝酸盐加热分解制得MO,例如:

CaCO3=CaO+CO2

2Sr(NO3)2=2SrO+4NO2↑+O2

氧化钙与水反应而生成熟石灰并放出大量的热,熟石灰广泛应用在建筑工业上。

CaO+H2O=Ca(OH)2

碱土金属氧化物的水合热从BeBa依次增加。氧化钙的这种水合能力,常用来吸收酒精中的水分。在高温下氧化钙能同酸性氧化物SiO2作用:

CaO+SiO2CaSiO3

CaOP2O5也有类似反应,这可用在炼钢中除去杂质磷。

碱土金属氮化物都是白色团体。除BeO外,都是氯化钠晶格的离子型化合物。由于正、负离子都是带有两个电荷,而M—O的距离又较小,所以MO具有较大的晶格能,因此它们的熔点和硬度都们当高。晶格中离子间距离依次降低,熔点除BeO外也是依次下降。根据这种特性,BeOMgO常用来制造耐火材料和金属陶瓷。

密度为2.949·cm-3MgO为白色细末,称轻质氧化镁。密度为3.589·cm-3MgO称重质氧化镁。他们均难溶于水,易溶于酸和氨盐溶液。氧化镁浸于水中慢慢转变为氢氧化镁。

碱金属和碱土金属过氧化物过氧化物M2O­2中含有过氧化离子O22-[—O—O—]2-。其分子轨道式如下:

[KKδ2S2δ*2S2δ2P2π2P4π*2P4]

成键和反键π轨道大致抵消,由填充δ2Px轨道的电子形成一个δ键,键级为1

碱金属最常见的过氧化物是过氧化钠,实际用途也较大。将钠加热至熔化,通入一定量的除去CO2的干燥空气,维持温度在453-473K之间,钠即被氧化为Na2O;进而增加空气流量并迅速提高温度至573-673K,即可制得Na2O(淡黄色粉末)

Na2O2与水或稀酸反应而产生H2O2H2O2立即分解放出氧气:

Na2O2+2H2OH2O2+2NaOH

Na2O2+H2SO4H2O2+Na2SO4

2H2O22H2O+O2

所以Na2O2可用作氧化剂、漂白剂和氧气发生剂。Na2O2CO2反应,也能放出氧气:

2Na2O2+2CO22Na2CO3+O2

利用这一性质,Na2O2在防毒面具、高空飞行和潜艇中用作CO2的吸收剂和供氧剂。

过氧化钠在碱性介质中是一种强氧化剂,例如在碱性溶液中,它可以把As(III)氧化成As(v)的化合物,把Cr(III)氧化成Cr(IV)的化合物等。在分析化学中,常用它来氧化分解(碱熔)某些矿物。例如,它能将矿石中硫、锰、铬、钒、锡等成分氧化成可溶的含氧酸盐,而自试样中分离出来,因此常用作分解矿石的熔剂。例如

Cr2O3+3Na2O22Na2CrO4+Na2O

MnO2+Na2O2Na2MnO4

由于Na2O2有强碱性,熔融时不能采用瓷制器皿或石英器皿,宜用铁、镍器皿。由于它们强氧化性,熔融时遇到棉花、炭粉或铅粉会发生爆炸,使用时应十分小心。

碱土金属的过氧化物以BaO2较为重要。过氧化钡还可作供氧剂、引火剂等

碱金属和碱土金属超氧化物钾、铷、铯在过量的氧气中燃烧及得超氧化物MO2KO2是橙黄色固体,RbO2是深棕色固体,CsO2是深黄色固体。超氧化物中含有超氧离子O2-,其结构为:[O···O]-

其分子轨道式为:O2-[KKδ2S2δ*2S2δ2P2π2P4π*2P3]

O2-中,有13个价电子,其中成键和反键轨道大致抵消,成键的(δ2P2构成一个δ键,成键的(π2P2和反键的(π*2P1构成一个三电子π键键级为:(2+2-1/2=1

因超氧离子O2-有一个末成对的电子,故它具有顺磁性,并呈现出颜色。由于O2-的键级比O2小,所以稳定性比O2差。实际上超氧化物是强氧化剂,与水剧烈地反应:

2MO2+2H2OO2+H2O2+2MOH

也能和CO2反应放出氧气:

4MO2+2CO22M2CO3+3O2

故它们也能除去CO2和再生O2,也可用于急救器中和潜水、登山等方面。

此外臭氧和KRbCs的氢氧化物作用,可以制得臭氧化物,例如:

3KOH(s)+2O3(g)2KO3(s)+KOH·H2O(s)+O2(g)

KO3用液氨重结品,可得到桔红色的KO3晶体,它缓慢地分解成KO2O2

碱金属和碱土金属氢氧化物碱金属的氢氧化物对纤维和皮肤有强烈的腐蚀作用,所以称它们为苛性碱。氢氧化钠和氢氧化钾通常分别称为苛性钠(又名烧碱)和苛性钾。它们都是白色晶状固体,具有较低的熔点。除氢氧化锂外,其余碱金属的氢氧化物都易溶于水,并放出大量的热。在空气中容易吸湿潮解,所以固体NaOH是常用的干燥剂。它们还容易与空气中的CO2反应而生成碳酸盐,所以要密封保存。但在NaOH表面总难免要接触空气而带有一些Na2CO3,如果在化学分析工作中需要不含Na2CO3NaOH溶液,可先配制NaOH的饱和溶液,Na2CO3因不溶于饱和的NaOH溶液而沉淀析出,静置取上层清液,用煮沸后冷却的新鲜水稀释到所需的浓度即可。碱金属氢氧化物的突出化学性质是强碱性。它们的水溶液和熔融物,既能溶解某些金属及其氧化物,也能溶解某些非金民及其氧化物。

2A1+2NaOH+6H2O2Na[Al(OH)4]+3H2

A12O3+2NaOH熔融2NaAlO3+H2O

Si+2NaOH+H2O=Na2SiO3+2H2

SiO2+2NaOHNa2SiO3+H2O

因为氢氧化钠、氢氧化钾易于熔化,又具有溶解某些金属氧化物、非金属氧化物的能力,因此工业生产和分析工作中常用于分解矿石。溶融的氢氧化钠腐蚀性更强,工业上熔化氢氧化钠一般用铸铁容器,在实验室可用银或镍的器皿。氢氧化钠能腐蚀玻璃,实验室盛氢氧化钠溶液的试剂瓶,应用橡皮塞,而不能用玻璃塞,否则存放时间较长,NaOH就和瓶口玻璃中的主要成分SiO2反应而生成粘性的Na2SiO3而把玻璃塞和瓶口粘结在一起。氢氧化钠是一种重要的化工基本原料,在工业和科学研究上有很多重要用途,它在工业上是用电解食盐水溶液的方法制备的。如需用少量的氢氧化钠、也可用苛化法制备。即用消石灰或石灰乳与碳酸钠的浓溶液反应:

Na2CO3+CaOH2CaCO3↓+2NaOH

下面着重讨论一下碱金属和碱土金属氢氧化物溶解性和碱性的变化规律:

一、溶解度的变化

碱金属氢氧化物在水小的溶解度很大(LiOH例外),并全部电离。碱土金属氢氧化物的溶解度比碱金属氢氧化物的溶解度小得多。从表17—5可以看出,同族元素的过氧化物的溶解度从上到下是逐渐增大的。因为大多数情况下,离子化合物的溶解度与离子势(Z/r)成反比,(详见第十五章第四节)。碱金属氢氧化物从LiOHCsOH随着阳离子半径的增大,阳离子和阴离子之间的吸引力逐渐减小,ROH晶格愈来愈容易被水分子把它们拆开。同周期中,碱土金属离子比碱金属离子小,而且带两个正电荷,因此水分子就不容易将它们拆开,溶解度就小得多。

二、碱性的变化

碱金属和碱土金属氢氧化物碱性呈现有规律性的变化。一般氢氧化物和含氧酸的酸碱性强弱可用Φ1/2值的大小来判断(风第十五章,第三节)。当金属离子(R)的电子构型相同时,则Φ1/2值愈小,碱性愈强;从表17—6所表示的Φ1/2值可知Be(OH)2是两性氢氧化物,其余碱土金属氢氧化物均为碱性氢氧化物,而且碱性依BeBa的顺序而增强。

由表l7—6可知,同族元素的氢氧化物。由于R的电子层构型和电荷数均相同,其碱性强弱的变化,主要取决于离子半径的大小。所以碱金属、碱土金属氢氧化物的碱性,均随R离子半径的增大而增强,若把这两族同周期的相邻两个元素的氢氧化物加以比较,碱性的变化规律可以概括如下:

从上到下碱性增强;从左到右碱性减弱。

由上述可知:这两族元素氢氧化物碱性强弱的变化规律和在水中溶解度的变化规律是一致的。为什么碱金属氢氧化物的碱性特别强?这一方面由于它们在水溶液中有较大的溶解度,可以得到浓度较大的溶液;另一方面,它们在水溶液中几乎全部电离,因此可以得到高浓度的OH-离子,OH-离子浓度愈大,碱性就愈强。因此碱金属的氢氧化物是最强的碱。碱土金属的氢氧化物溶解度比碱金属小得多,碱式电离程度比较差,所以其碱性比碱金属氢氧化物来说要弱一些。

碱金属和碱土金属的重要的盐类及其性质碱金属和碱土金属的常见盐类有卤化物、碳酸盐、硝酸盐、硫酸盐和硫化物等,下面讨论它们的共性和一些特性,并简单介绍几种重要的盐。

碱金属盐类的最大特征是易溶于水,并且在水中完全电离,所有碱金属离子都是无色的。只有少数碱金属盐是难溶的。它们的难溶盐一般都是由大的阴离子组成,而且碱金属离子越大、难溶盐的数目也越多。

难溶钠盐有白色粒状的六羟基锑酸钠Na[Sb(OH)6],醋酸双氧铀酰锌钠NaAc·Zn(Ac)2·3UO2(Ac)29H2O为黄绿色结晶。难溶的钾盐稍多,有:高试酸钾KClO4(白色)四苯硼酸钾KB(C6H5)4](白色)洒石酸氢钾KHC4H4O6(白色)六氯铂酸钾K2[PtCl4](淡黄色)钴亚硝酸钠钾K2Na[Co(NO2)6](亮黄色)钠、钾的一些难溶盐常用在鉴定钠、钾离子。

碱土金属盐类的重要特征是它们的微溶性。除氯化物、硝酸盐、硫酸镁、铬酸镁易溶于水外,其余的碳酸盐、硫酸盐、草酸盐、铬酸盐等皆难溶。硫酸盐和铬酸盐的溶解度CaSrBa的顺序降低。革酸钙的溶解度是所有钙盐中最小的,因此在重量分析中可用它来测定钙。

碱金属和碱土金属碳酸盐溶解度的差别也常用来分离Na+K+Ca2+Ba2+

钠盐和钾盐性质很相似,但也有差别,重要的有三点:

1).溶解度钠、钾盐的溶解度都比较大,相对说来,钠盐更大些。仅NaHCO3的溶解度不大,NaCl的溶解度随温度的变化不大,这是常见的钠盐中溶解性较特殊的。

2).吸湿性钠盐的吸湿性比相应的钾盐强。因此,化学分析工作中常用的标准试剂许多是钾盐,如用邻苯二甲酸氢钾标定碱液的浓度,用重铬酸钾标定还原剂溶液的浓度。在配制炸药时用KNO3KClO3,而不用相应的钠盐。

3).结晶水含结晶水的钠盐比钾盐多。如Na2SO4·10H2OK2SO4Na2HPO4·10H2O等。

绝大多数碱金属和碱土金属的盐是离子型晶体,晶体大多数属NaCl型,铯的卤化物是CsCl型结构。它们的熔点均较高。由于Li+Be2+离子最小,极化作用较强,才使得它们的其些盐(如卤化物)具有较明显的共价性。Mg2+盐也有一些是共价性的。

一般来说,离子愈小,它所带的电荷愈多,则作用于水分子的电场愈强,它的水合热愈大。碱金属离子是最大的正离子,离子电荷最少,原它的水合热常小于其它离子。

碱金属离子的水合能力从Li→Cs是降低的.这也反映在盐类形成结晶水合物的倾向上。几乎所有的锂盐是水合的,钠盐约有75%是水合的,钾盐有25%是水合物,铷盐和铯盐仅有少数是水合盐。在常见的碱金属盐中,卤化物大多是无水的,硝酸盐中只有锂形成水合物,LiNO3·H2OLiNO3·3H2O,硫酸盐只有Li2SO4·H2ONa2SO4·10H2O,碳酸盐中除Li2CO3无水合物外,其余皆有不同形式的水合物,其水分子数分别为:

Na2CO3K2CO3Rb2CO3Cs2CO3

1710151535

形成复盐的能力除锂以外,碱金属还能形成一系列复盐。复盐有以下几种类型:

光卤石类,通式为MC1•MgCl2•H2O,其中MK+Rb+Cs+,如光卤石KCl•MgCl2·6H2O

通式为M2SO4•MgSO4•6H2O的矾类,其中MK+Rb+Cs+,如软钾镁巩K2SO4·MgSO4·6H2O

通式为MM(SO4)2·12H2O的矾类,其中M=Na+K+Rb+Cs+MA13+Cr3+Fe3+Co3+Ga3+V3+等离子,如明矾KAl(SO4)2·12H2O

热稳定性一般碱金属盐具有较高的热稳定性。卤化物在高温时挥发而难分解。硫酸盐在高温下既难挥发,又难分解。碳酸盐除Li2CO31543K以上分解为Li2OCO2外,其余更难分解。唯有硝酸盐热稳定性较低,加热到一定温度就可分解

碱土金属的卤化物、硫酸盐、碳酸盐对热也较稳定,但它们的碳酸盐热稳定性较碱金属碳酸盐要低。

碱土金属碳酸盐热稳定性的规律也可用离子极化的观点来说明。

几种重要的盐卤化铍是共价型聚合物(BeX2n,不导电、能升华,蒸气中有BeCl2(BeCl2)2分子。卤化物中用途最广的是氯化钠,有海盐、岩盐和井盐等。氯化钠除供食用外,它是制取金属钠、氢氧化钠、碳酸钠、氯气和盐酸等多种化工产品的基本原料。冰盐混合物可作为致冷剂。无水氯化镁是制取金属镁的原料,光卤石和海水是取得氯化镁的主要资源。氯化镁常况下以MgCl2·6H2O形式存在,用加热水合物的方法不能得到无水盐,因为它会水解:

MgCl2·6H2O>408KMg(OH)Cl+HCl+5H2O

Mg(OH)C770KMgO+HCl

要得到无水的氯化镁,必须将六不氯化镁在干燥的氯化氢气流中加热脱水。工业上常用在高温下通氯气于焦炭和氧化镁的混合物制取。氯化镁有吸潮性,普通食盐的潮解就是含有氯化镁之故。六水氯化钙热至473K失去水而成二水氯化钙,温度高于533K完全脱水形成白色多孔的氯化钙,此这程有少许水解反应发生,故无水氯化钙中常含有微量氧化钙。无水氯化钙有很强的吸水性,是一种重要的干燥剂。由于它能与气态氨和乙醇形成加成物,所以不能用于干燥氨气和乙醇。氯化钙和冰(1.441)的混合物是实验室常用的致冷剂,可获得218K的低温。氯化钡为无色单斜晶体,一般为水合物二水氯化钡。加热至400K变为无水盐。氯化钡用于医药、灭鼠剂和鉴定硫酸根离子的试剂。氯化钡可溶于水。可溶性钡盐对人、畜都有害,对人致死量为0.8g,切忌入口。

氟化钙(萤石)是制取HFF2的重要原料。在冶金工业中用作助熔剂也用于制作光学玻璃和陶瓷等。

常用的荧光灯中涂有荧光材料3Ca3(PO4)2Ca(F,Cl)2和少量Sb3+Mn2+的化合物,卤磷酸钙称为母体,Sb3+Mn2+离子为激活剂,用紫外光激发后,发出荧光。

碱金属碳酸盐有两类:正盐和酸式盐。碳酸钠俗称苏打或纯碱,其水溶液因水解而呈碱性。它是一种重要的化工原料。碳酸氢钠俗称小苏打,其水溶液呈弱碱性,主要用于医药和食品工业,煅烧碳酸氢钠可得到碳酸钠。

六水碳酸钙为无色单斜晶体,难溶于水,易溶于酸和氯化铵溶液,用于制二氧化碳酵粉和涂料等。碳酸钙为无色斜方晶体,热至1000K转变为方解石。

硝酸钾在空气中不吸潮,在加热时有强氧化性,用来制黑火药。硝酸钾还是含氮肥、钾的优质化肥。

Na2SO4·10H2O俗称芒硝,由于它有很大的熔化热,是一种较好的相变贮热材料的主要组分,可用于低温贮存太阳能。白天它吸收太阳能而熔融,夜间冷却结晶就释放出热能。无水硫酸钠俗称元明粉,大量用于玻璃、造纸、水玻璃、陶瓷等工业中,也用于制硫化钠和硫代硫酸钠等。

CaSO4·2H2O俗称生石膏,加热至393K左右它部分脱水而成熟石膏CaSO4·1/2H2O,这个反应是可逆的:

2CaSO4·2H2O393K2CaSO4·1/2H2O+3H2O

熟石膏与水混合成糊状后放置一段时间会变成二水合盐,这时逐渐硬化并膨胀,故用以制模型、塑像、粉笔和石膏绷带等。石膏还是生产水泥的原料之一和轻质建筑材料。把石英钟膏加热到773K以上,得到无水石膏,它不能与水化合。

重晶石硫酸钡是制备其它钡类化合物的原料。将重晶石粉与煤粉混合,在高温下(1173K-1473K)煅烧还原成可溶性硫化钡。

盐酸与硫钡反应,制得氯化钡。往硫化钡溶液中通入二氧化碳,则得碳酸钡。

重晶石可作白色涂料(钡白),在橡胶、造纸工业中作白色填料。硫酸钡是唯一无毒钡盐,用于肠胃系统X射线造影剂。

七水硫酸镁为无色斜方晶体。热至350K失去六分子水,在520K变为无水盐。硫酸镁微溶于醇,不溶于乙酸和丙酮,用作媒染剂、泻盐,也用于造纸、纺织、肥皂、陶瓷、油漆工业。

金属离子中,钠,钾,铷,铯离子因电荷少,半径大和没有晶体场稳定化效应,形成一般配合物的倾向最小。它们能与配位能力较强的螯合剂作用,生成螯合物。所有碱金属都可以和水杨醛作用,生成配位数为4的配位化合物。

碱土金属离中铍离半径最小,是较强的电子对接受体,能形成较多的配合物。

钙、锶、钡的离子半径较大,生成配合物的能力较弱,钡离子的配合物很少。

锂、铍的特殊性质-对角线规则在周期表中,有几对处于相邻两族的对角线上的元素,即Li—MgBe—A1B—Si,它们具有许多相似的性质,人们称之为斜线关系或对角线关系。

锂与镁的相似性:

⑴Li+(66pm)Mg2+(65pm)半径相近

(2)单质与氧作用生成正常氧化物

单质与水反应均较缓慢,氢氧化物均为中强碱,且水中溶解度不大

氟化物、碳酸盐、磷酸盐均难溶

氯化物均能溶于有机溶剂中

碳酸盐受热分解,产物为相应氧化物

2.铍与铝的相似性:

都是两性金属,其氧化物、氢氧化物均为两性,氧化物熔点高、硬度大,氢氧化物难溶于水,Be2+Al3+盐易水解

(2)标准电极电势相近,Eo(Be2+/Be)=-1.97v, Eo(Al3+/Al)=-1.68v

(3)BeCl2AlCl3为共价化合物,易聚合,可溶于有机溶剂;Be2+Al3+F都可生成氟的配合物——BeF4-AlF63-

单质均能被冷的浓HNO3钝化

 


第十  卤素和氧族元素

 p区元素概述

1.  各族元素性质由上到下的变化规律出现突变

2.  多种氧化态(因为价电子构型为ns2np1-5)

3.  电负性大,形成共价化合物

突变:

1. 第一排元素反常性:(只有2s,2p轨道) 形成配合物时,配位数最多不超过4

第一排元素单键键能小于第二排元素单键键能

E(N-N)=159 kJ×mol-1  E(O-O)=142 kJ×mol-1   E(F-F)=158 kJ×mol-1

E(P-P)=209 kJ×mol-1   E(S-S)=264 kJ×mol-1  E(Cl-Cl)=244 kJ×mol-1

2. 中间排元素异样性(d区插入) 例如:溴酸、高溴酸氧化性均比其它卤酸、高卤酸强。

3. 最后三个元素性质缓慢地递变(镧系收缩)

多种氧化态:

因为价电子构型为:ns2np1-5p区元素有多个价电子,所以可以形成多种氧化态。

例如:氯有+1+3+5+7-10等氧化态

对于同族元素而言从上到下,随着原子序数的增加低氧化态化合物比高氧化态化合物稳定,这种现象称为惰性电子对效应。

例:Sn(II)<Sn(IV)        Pb(II)>Pb(IV)

 

§11.2 卤素

卤素是元素周期系第ⅦA族元素,包括氟、氯、溴、碘、砹。

卤族元素的性质变化如下:

卤素元素符号             F             Cl         Br           I

价电子构型           2s22p5              3s23p5         4s24p5         5s25p5 

公价半径/pm             66             99         114         133

电负性                   3.98            3.16       2.96        2.66

电离能/kJ·mol-1 1687           1257       1146      1015

11.2.2 卤素单质

⒈卤素单质的物理性质 

⒉卤素单质的化学性质

卤素是很活泼的非金属元素。卤素单质具有很强的氧化性,能与大多数元素直接化合。             

例如:位于前面的卤素单质可以氧化后面卤素的阴离子。     

 Cl2 + 2Br-  2Cl- + Br2

      卤素与水反应分为两类:

氧化反应:           2X2 + 2H2O  4X- + 4H+ + O2

                       激烈程度:F2Cl2Br2,碘不发生此类反应。

歧化反应:        

                       

                       

                            

可见,反应进行的程度Cl2Br2I2,氟只发生第一类反应。通常所用的氯水、溴水、碘水主要成分是单质。

 卤素在碱性条件下发生两类歧化反应:      X2 + 2OH  X  + XO  + H2O

                                         3X2 + 6OH   5X + XO3 + 3H2O

不同元素单质发生歧化反应的条件及主要产物见下表:

                   常温              加热         低温

       Cl2             ClO-                       ClO3-         ClO-                pH4

        Br2            BrO3-              BrO3-          BrO-(0)     pH6

          I2         IO3-                 IO3-            IO3            pH9

11.2.3 卤素的氢化物

⒈卤素的氢化物概述  

卤素的氢化物称为卤化氢,即氟化氢HF、氯化氢HCl、溴化氢HBr、碘化氢HI等。常温下卤化氢都是无色、有刺激性气味的气体。卤化氢易溶于水,其水溶液叫氢卤酸。除氟化氢外,其它氢化物均为强酸。

⒉氯化氢和盐酸

制备:   直接合成法:        

复分解反应:

                       

纯盐酸为无色溶液,有氯化氢的刺激性气味。一般浓盐酸的浓度约为39%,相当于12mol·l-1,密度为1.19g·cm-3。工业用的盐酸为30%左右,由于带有杂质而带黄色。

用途:盐酸是重要的化工生产原料,常用来制备金属氯化物、苯胺和染料等产品。盐酸在冶金工业、石油工业、印染工业、皮革工业、食品工业及轧钢、焊接、电镀、搪瓷、药物等部门也有广泛的应用。

⒊氟、溴、碘的氢化物

氟化氢的制备

一般用复分解反应法:       

   CaF2 + H2SO4()  CaSO4 + 2HF

氟化氢是无色、有刺激性气味并具有强烈腐蚀性的有毒气体,当皮肤接触HF时会引起不易痊愈的灼伤;氢氟酸的蒸汽对皮肤也有同样的危害,因此,使用氢氟酸时应特别注意安全。氟化氢和氢氟酸都能和二氧化硅作用,生成挥发性的四氟化硅:

                          SiO2 + 4HF  SiF4 + 2H2O

二氧化硅是玻璃的主要成分,氢氟酸能腐蚀玻璃。因此,常用塑料容器来贮存氢氟酸。

氢氟酸可以用来刻蚀玻璃或溶解各种硅酸盐。

溴化氢和碘化氢的制备

一般用卤化物水解法:        PBr3 + 3H2O  H3PO3 + 3HBr

                                          PI3 + 3H3O  H3PO3 + 3HI

也可直接用水和卤素与磷混合物反应制备卤化氢。

                              2P + 3Br2 + 6H2O  2H3PO3 + 6HBr      

                              2P + 3I2 + 6H2O  2H3PO3 + 6HI

溴化氢和碘化氢的制备不能用单质直接合成法,因溴和碘与氢反应速度缓慢、产率低而不适合。溴化氢和碘化氢的制备也不能用卤化物与浓硫酸的复分解反应来制备,因为HBrHI有显著的还原性,它们将与浓硫酸进一步发生氧化还原反应:

2HBr + H2SO4()  Br2 + SO2 + 2H2O      

8HI + H2SO4()  4I2 + H2S + 4H2O         

所以,实际上得不到纯的溴化氢和碘化氢。如果改用无氧化性的高沸点酸浓磷酸代替浓硫酸,可以制得溴化氢和碘化氢。

卤化氢性质的比较

11.2.4 卤化物和多卤化物

⒈卤化物  

卤素和电负性比它小的元素生成的化合物叫卤化物。卤化物可以分为金属卤化物和非金属卤化物,根据卤化物的键型,又可以分为离子型卤化物和共价型卤化物。

⑴金属卤化物

所有金属都能形成卤化物。碱金属、碱土金属以及镧系、锕系元素的卤化物大多数属于离子型或接近离子型,例如:NaXBaCl2LaCl3等。当阴阳离子极化作用比较明显时,表现出一定的共价性,如:AgCl等。有些高氧化值的金属卤化物则为共价型卤化物,如,AlCl3,SnCl4,FeCl3,TiCl4等。

不同类型卤化物,性质上存在差异,见下表:

卤化物类型                离子型              共价型

熔点                                           

溶解性              大多易溶于水          易溶于有机溶剂

导电性              水溶液、熔融导电        无导电性

 在金属卤化物中,对应氢氧化物不是强碱的都易水解,产物为氢氧化物或碱式盐。需特殊记忆的有:

SnCl2 + H2O  Sn(OH)Cl + HCl

SbCl3 + H2O  SnOCl + 2HCl

BiCl3 + H2O  BiOCl + 2HCl

⑵非金属卤化物

非金属硼、碳、硅、氮、磷等都能与卤素形成各种相应的卤化物。这些卤化物都是共价型的。

非金属卤化物水解产物一般为两种酸,例如:BX3SiX4PCl3等。

⒉多卤化物

有些金属卤化物能与卤素单质或卤素互化物发生加合作用,生成的化合物称为多卤化物。例如:KI3KICl2KI2ClKIBrCl等。

含有3个卤原子的多卤化物阴离子的空间构型几乎都是直线型的。如卤原子不同时,则半径较大的卤原子位于中间,而半径较小的卤原子位于两侧。

I2在含有I-的溶液中溶解度比在纯水中溶解度大得多,与生成多卤化物有关,即发生如下加合反应:

KI + I2  KI3

11.2.5 卤素的含氧化合物

⒈卤素的含氧化合物概述

卤素的含氧化合物有氧化物、氢氧化物(含氧酸)、含氧酸盐,其稳定性依次增强。

⒉各类卤素含氧酸根的结构

对于任何类型的卤素含氧酸根, ,价层电子对的空间构型为四面体构型,即卤原子X都采用sp3杂化,卤原子用sp3杂化轨道与氧原子O成键。

                               

卤原子氧化值               +1            +3              +5              +7

名称                      次卤酸根      亚卤酸根    卤酸根       高卤酸根

离子空间构型           直线型         V字型        三角锥           四面体

空间构型                       

                  

模型                             

电子结构式                  

⒊次卤酸及其盐

次氯酸很不稳定,只能存在于稀溶液中,而不能制得浓酸。次氯酸见光受热均不稳定。

次溴酸、次碘酸稳定性更差。

次氯酸是很强的氧化剂。氯气的漂白作用就是由于它与水作用而生成次氯酸的缘故,所以完全干燥的氯气没有漂白作用。

把氯气通入冷的碱溶液中,便生成次氯酸盐。

Cl2 + NaOH  NaClO + NaCl + H2O

漂白粉是用氯气与消石灰作用而制得的,是次氯酸钙、氯化钙和氢氧化钙的混合物。

2Cl2 + 3Ca(OH)2  Ca(ClO)2 + CaCl2·Ca(OH)2·H2O + H2O

溴和冷的碱溶液作用能生成次溴酸盐。NaBrO在分析化学上常用作氧化剂。次碘酸的稳定性极差,所以,碘与碱溶液反应得不到次碘酸盐。

*⒋亚卤酸及其盐

目前已获得的亚卤酸及其盐是亚氯酸及其盐。反应为:

2ClO2 + H2O  HClO2 + HClO3    

     Ba(ClO)2 + H2SO4  2HClO2 + BaSO4

二氧化氯与过氧化物反应时,可得到亚氯酸盐和氧。

2ClO2 + Na2O2  2NaClO2 + O2       

2ClO2 + BaO2  Ba(ClO2)2 + O2

亚氯酸盐虽比亚氯酸稳定,但加热或敲击固体亚氯酸盐时,立即发生爆炸,分解成为氯酸盐和氧化物。亚氯酸盐的水溶液较稳定,具有强氧化性,可作漂白剂。

⒌卤酸及其盐

氯酸是强酸,仅存在于水溶液中。氯酸也是强氧化剂,例如

2HClO3 + I2  2HIO3 + Cl2       

 HClO3 + 5HCl  3Cl2 + 2H2O

重要的氯酸盐有氯酸钾和氯酸钠。KClO3受热分解,因条件不同而产物不同。

    

4KClO3→3KClO4+KCl]

固体氯酸钾KClO3是强氧化剂,与各种易燃物混合后,经撞击会引起爆炸起火。因此,KClO3多用来制造火柴和焰火等。

KClO3C11H22O11混合物的火焰           KClO3火柴头中的氧化剂

常用氯酸钡与稀硫酸作用制取氯酸:    Ba(ClO3)2 + H2SO4  BaSO4 + 2HClO3

溴酸和碘酸的制备,通常用选择适当的氧化剂而获得。例如:

Br2 + 5Cl2 + 6H2O→ 2HBrO3 + 10HCl

I2 + 5Cl2 + 6H2O→ 2HIO3 + 10HCl

3I2 + 10HNO3  6HIO3 + 10NO + 2H2O

⒍高卤酸及其盐

高卤酸都是强氧化剂,均已获得纯物质,稳定性好。例如:

高氯酸是最强的无机含氧酸。无水的高氯酸是无色液体。HClO4的稀溶液比较稳定,但浓HClO4不稳定,受热分解。        

    4HClO4  2Cl2 + 7O2 + 2H2O

HClO4是强氧化剂,与有机物接触会引起爆炸,所以贮存时必须远离还原性物质。务必注意安全!高氯酸在钢铁分析中常用来溶解矿样。

高氯酸的盐多易溶于水,但K+ Cs+Rb+的高氯酸盐溶解度都很小。有些高氯酸盐易吸湿,如Mg(ClO4)2Ba(ClO4)2可作干燥剂。KClO4常用作制造炸药。NH4ClO4是现代火箭推进剂的主要成分。

⒎氯的各种含氧酸及其盐的性质的一般规律

 

§11.3 氧族元素

11.3.1 氧族元素概述

     氧族元素是周期系第ⅥA族元素,包括氧(O)、硫(S)、硒(Se)、碲(Te)、钋(Po)五种元素,其价电子构型为:ns2np4

元素符号

O

S

Se

Te

Po

单质性质

典型非金属

准金属

放射性金属

存在形式

单质或矿物

共生于重金属的硫化物中

单质化学活性

由大到小

本节的讨论重点是氧、硫及其化合物。硒、碲的单质见下图:

     

11.3.2 氧及其化合物

     氧是地壳中分布最广泛的元素,其丰度居各种元素之首,其质量约占地壳的一半。在海洋中氧以水的形式存在,在大气中氧以单质状态存在,在岩石和土壤中氧以硅酸盐、氧化物及其它含氧阴离子的形式存在。

     氧的电子排布式为:     

      其结构式为:     ,具有顺磁性。

常温下氧气只能将某些还原性的物质(NOSnCl2H2SO3)氧化。在加热条件下,除卤素、少数贵金属(AgPt)以及稀有气体外,氧气几乎能与所有元素直接化合成相应的氧化物。

臭氧

      臭氧O3是氧气O2的同素异形体。臭氧在地面附近的大气层中含量极少,而在大气层的最上层,由于太阳对大气中的氧气的强烈辐射作用,形成了一层臭氧层。臭氧层能吸收太阳光的紫外辐射,成为保护地球上生命免受太阳将辐射的天然屏障。

     臭氧分子的构型为V型,如图所示: 

 

中心氧原子以2sp2杂化轨道与另外两个氧原子形成σ键,第三个sp2杂化轨道被孤对电子所占有。此外,中心氧原子的未参与杂化的p轨道上有一对孤对电子,两端的氧原子与其平行的p轨道上各有一个电子,它们之间形成垂直于分子平面的三中心四电子大π键,用 表示。

臭氧分子中键角为117°,分子的偶极矩μ=1.8×10-3c·m。臭氧是唯一的极性单质。

臭氧是淡蓝色的气体,有鱼腥味。臭氧极不稳定,在常温下缓慢分解:

O3(g)  3O2(g)

二氧化锰的存在可加速臭氧的分解。臭氧的另一个重要性质就是它的强氧化性,例如:

O3 + 2I- + 2H+  I2 + O2 + H2O

这个反应用于测定臭氧的含量。

     利用臭氧氧化性和不易导致二次污染的优点,臭氧可用作消毒剂,用来净化废气、废水。

过氧化氢

     过氧化氢H2O2的分子结构:H2O2的分子结构如图所示,在H2O2的分子中有一个过氧键─O─O─,两个氧原子都以sp3杂化轨道成键,除相互连接成O─O键外,还各与一个氢原子相连。

 

     H2O2的性质:高纯度的H2O2在低温下比较稳定,分解作用比较平稳。当加热到426K以上,发生爆炸性分解:    

                                  2H2O2(l)  2H2O + O2(g)

因此,H2O2应贮存在棕色瓶中,置于阴凉处。

H2O2具有弱酸性和氧化还原性。例如:

弱酸性:         H2O2 + Ba(OH)2  BaO2 + 2H2O

强氧化性:

酸性条件:2Fe2+ + H2O2 + 2H+  2Fe3+ + 2H2O

碱性条件:2[Cr(OH)4]- + 3H2O2 + 2OH-  2[CrO4]2- + 8H2O

过氧化氢还可将黑色的PbS氧化为白色的PbSO4

                         PbS + 4H2O2   PbSO4 +   4H2O

只有当H2O2与强氧化剂作用时才显示出其还原性。

                      2KMnO4 + 5H2O2 + 3H2SO4  2MnSO4 + 5O2 + K2SO4 + 8H2O

                      H2O2 + Cl2  2HCl + O2

过氧化氢也是一种不造成二次污染的氧化剂,所以常用作杀菌剂、漂白剂等。注意:浓度稍大的双氧水会灼伤皮肤,使用时应格外小心!

11.3.3 硫及其化合物

单质硫

      单质硫俗称硫磺,是分子晶体,很松脆,不溶于水。硫有几种同素异形体,斜方硫(菱形硫)、单斜硫、弹性硫等。天然硫一般是斜方硫。

 

斜方硫

单斜硫

弹性硫

密度/g·cm-1

2.06

1.99

 

颜色

黄色

浅黄

 

稳定条件

94.5℃

94.5℃115℃

190℃的熔融硫用冷水速冷

外观

 

斜方硫和单质硫的分子都是由8个硫原子组成的环状结构,像皇冠一样,如图所示。在S8分子中,每个硫原子各以sp3杂化轨道中的两个轨道与相邻的两个硫原子形成σ键,而sp3杂化轨道中的另两个则各有一对孤对电子。单质硫与斜方硫的不同在于四面体中S8分子排列不同。

单质硫是分子晶体,熔点低,不溶于水而易溶于二硫化碳,四氯化碳等非极性溶剂。

单质硫加热熔化后,温度升至160℃S8环开始断开,并聚合成中长链大分子,因而液体颜色变暗,粘度显著增大。当温度达到190℃左右,倒入冷水中迅速冷却,可以得到弹性硫。此时,由于骤冷,长链状硫分子来不及成环,仍以绞结的长链存在于固体中,因而固体具有弹性。

硫的化学性质比较活泼,能与许多金属直接化合成相应的硫化物,也能与氢、氧、卤素(除碘外)、碳磷等直接作用生成相应的共价化合物。

硫与氧化性酸的作用:

    S + 2HNO3  H2SO4 + 2NO(g)

   S + 2H2SO4()  3SO2(g) + 2H2

硫在碱中的歧化:

硫化氢和硫化物

硫化氢

      硫化氢H2S分子的构型与水分子相似,也呈"V"字形,当其分子极性比H2O弱。

通常用金属硫化物和非氧化性酸制备硫化氢:

FeS + 2HCl  H2S + FeCl2

  也可用硫代乙酰胺水溶液加热水解的方法制取。

CH3CSNH2 + 2H2O  CH3COONH4 + H2S

硫化氢是无色有腐蛋味的剧毒气体。H2S中毒是由于它能与血红素中Fe2+作用生成FeS沉淀,因而使Fe2+失去原来正常的生理作用。硫化氢微溶于水,其水溶液为二元弱酸。

       硫化氢最重要的性质就是它的强还原性。

 被空气氧化

                   

                    

          所以硫化氢水溶液在空气中放置会逐渐变混浊。

     与中等强度氧化剂作用

                   H2S + 2Fe3+  S + 3Fe2+ + 2H+ (注意:反应不生成Fe2S3FeS)

                       H2S + X2  S + 2X- + 2H+ (X=Cl,Br,I)

    与强度氧化剂反应

                  

                 

金属硫化物

颜色:金属硫化物大多数为黑色,少数需特殊记忆。例如:SnS棕色,SnS2黄色,As2S3黄色,As2S5黄色,Sb2S3橙色,As2S5橙色,MnS肉色,ZnS白色,CdS黄色。

水解性:金属硫化物无论是微溶还是易溶,都会发生水解反应,即使是难溶金属硫化物,其溶解部分也 

     会发生水解。例如:Na2S(NH4S)水溶液因水解而呈碱性;Cr2S3Al2S3遇水发生强烈水解:

     2M3+ + 3S2- + 6H2O  2M(OH)3 + 3H2S (M=Al,Cr)

溶解性 和碱金属硫化物及BaS易溶于水,其他碱土金属硫化物微溶于水(BeS难溶)。除此之外,大多数金属硫化物难溶于水。难溶于水的金属硫化物在不同的酸、碱中溶解程度也有差异,利用这些差异我们可将金属离子进行分离。

 稀酸溶解性硫化物:MnSFeSCoSNiSZnS

                                  MS + 2H+  M2+ + H2S(g)

  浓盐酸配位溶解

 硝酸氧化溶解:

 王水溶解:

                

 碱溶(NaOHNa2S)

 氧化碱溶(Na2S2)

多硫化物

在可溶性硫化物的溶液中加入硫粉时,硫溶解而生成相应的多硫化物,例如:

                 (NH4)2S + (x-1)S  (NH4)2Sx

     随着硫原子数目x的增加,溶液颜色由黄橙红红。所以通常所得的多硫化物是含有不同数目硫原子的各种多硫化物的混合物。

     多硫离子 具有链式结构:       

x=2时,多硫化物称为过硫化物(同过氧化物)

过硫化氢H2S2与过氧化氢的结构相似。

多硫化物的重要性质:

    遇酸不稳定

                

    还原性(次要)

               3FeS2 + 8O2  Fe3O4 + 6SO3

 氧化性(主要)

               

  所以多硫化物用作厚皮的除毛剂,果木、棉花的杀虫剂。

二氧化硫、亚硫酸及其盐

二氧化硫制备:工业上利用焙烧硫化物矿制取SO2

                      3FeS2 + 8O2  Fe3O4 + 6SO2

实验室中常用亚硫酸盐与酸作用制取少量二氧化硫,也可用浓硫酸与铜共热制取二氧化硫。

二氧化硫的结构:气态的SO2的分子构型为V形,如图所示。SO2分子中,硫原子以两个sp2杂化轨道分别与两个氧原子形成σ键,而另一个sp2杂化轨道上则保留1对孤对电子,硫原子的未参与杂化的p轨道上的2个电子与两个氧原子的未成对p电子形成三中心四电子大π男子的脸部特写与配字黑白照

低可信度描述已自动生成

 

 

 

 

 

二氧化硫和亚硫酸的性质:SO2是无色、具有强烈刺激性气味的气体。液态SO2能构解离,是一种良好的非水溶剂。

    

     SO2的汽化焓很大,液态SO2可用作制冷剂。

     SO2易溶于水,生成很不稳定的亚硫酸H2SO3

 H2SO3是二元中强酸, H2SO3只存在于水溶液中,光谱试验证明SO2在水溶液中的状态基本上是SO2·H2O

 H2SO3是较强的还原剂,例如:

                

        所以空气中长期放置的亚硫酸或亚硫酸盐会被空气中的氧氧化而失去还原性。

 氧化性:H2SO3与强还原剂反应时才表现出氧化性。

                   H2SO3 + H2S  3S + 3H2O

 漂白作用SO2H2SO3可与某些有机物发生加合作用,而使有机物退色。例如它们能使品红溶液退色。

   SO2主要用于生产硫酸和亚硫酸盐,还大量用于生产合成洗涤剂、食品防腐剂、住所和用具消毒剂等。

三氧化硫、硫酸及其盐

三氧化硫

     在加热和催化剂存在下可将SO2氧化成SO3

                 

 结构:气态SO3为单分子,其分子结构为平面三角形。

SO3分子中,硫原子以sp2杂化轨道与3个氧原子形成3σ键,此外,还以pd2杂化轨道与3个氧原子形成垂直于分子平面的四中心六电子大Π 。即:

在大Π键中有三个电子原来属于硫原子,而另外三个电子原来分别属于三个氧原子。在固态SO3中,硫原子都采用sp3杂化轨道成键。固体三氧化硫有几种聚合晶型。在不同类型SO3固体中,SO3分子的排列方式不同。γ型晶体为三聚分子,β型晶体为SO3原子团互相连接成的长链,与石棉结构类似,α型晶体也具有类似石棉的结构。

性质:纯三氧化硫是一种无色、易挥发的固体,其熔点为16.8℃,沸点为44.8℃SO3具有很强的氧化性。例如,当磷和它接触时会燃烧。高温时SO3的氧化性更为显著,它能氧化KI,HBrFe,Zn等金属。

       三氧化硫极易与水化合生成硫酸,同时放出大量的热:

                       

 因此,SO3在潮湿的空气中呈雾状。

硫酸

结构:在硫酸分子中,硫原子采取sp3杂化轨道与四个氧原子的2个形成2σ键;另两个则接受硫的电子对分别形成σ配键;与此同时,硫原子的空的3d轨道与两个不在OH基中的氧原子的2p轨道对称性匹配,相互重叠,反过来接受来自2个氧原子的孤对电子,从而形成了附加的(p─d)π反馈配键。

硫酸晶体呈现波纹形层状结构。每个硫氧四面体(SO4原子团)通过氢键与其它4SO4集团连接。

性质:硫酸是二元强酸,较稳定。浓硫酸具有强吸水性和强氧化性。

    强吸水性:浓硫酸的吸水性很强,它除了可作干燥剂外,它还能从纤维和糖中按H:O2:1的比例夺取H2O,使其碳化。

         C12H22O11  12C + 11H2O

 强氧化性:浓硫酸可以氧化许多金属和某些非金属。

与活泼金属:      3Zn + 4H2SO4() → 3ZnSO4 + S + H2O

                        4Zn + 5H2SO4() →4ZnSO4 + H2S + H2O

与不活泼金属:    Cu + 2H2SO4() → CnSO4 + SO2 + 2H2O

与非金属:        C+ 2H2SO4() → CO2 + 2SO2 + 2H2O

                        2P+ 5H2SO4() → P2O2 + 5SO2 + 5H2O

                        S+ 2H2SO4() →  3SO2 + 2H2O

冷的浓硫酸(70%以上)能使铁的表面钝化,生成一层致密的保护膜,阻止硫酸与铁的表面继续作用。因此可以用钢罐贮装和运输浓硫酸(80%90%)

硫酸盐

硫酸能形成正盐和酸式盐。 的结构为四面体。大多数硫酸盐易溶于水,但PbSO4CaSO4SrSO4溶解度很小。BaSO4几乎不溶于水且不溶于酸,利用BaSO4的这一特性,可以用BaCl2等可溶性钡盐鉴定 的存 在。

硫酸的其它含氧酸及其盐

焦硫酸及其盐

     冷却发烟硫酸可以析出焦硫酸H2S2O7,无色晶体,焦硫酸的结构式为:

焦硫酸的酸性、吸水性、腐蚀性比硫酸更强。焦硫酸是一种强氧化剂,又是一种良好的磺化剂,工业上用于制造染料、炸药、和其它有机磺酸化合物。

      焦硫酸盐可与某些既不溶与水又不溶于酸的金属氧化物(Al2O3Fe3O4TiO2)共熔,生成可溶与水的硫酸盐。

                   

这是分析化学中处理某些固体试样的一种重要方法。

 硫代硫酸及其盐

       硫代硫酸H2S2O3可看作是硫酸分子中的一个氧原子被硫原子所取代的产物。硫代硫酸极不稳定,至今尚未制得纯品。

亚硫酸亚与硫作用生成硫代硫酸盐。例如,将硫粉与亚硫酸钠一块煮沸,可制得硫代硫酸钠:

                                  

      另外,在Na2SNa2CO3混合溶液(物质的量比为2:1)中通入SO2也可以制得Na2S2O3

                                 2Na2S + Na2CO3 + 4SO2  3Na2S2O3 + CO2

Na2S2O3·5H2O是重要的硫代硫酸盐,俗称海波或大苏打,是无色透明的晶体,易溶于水,其水溶液呈弱碱性。

硫代硫酸盐的重要性质如下:

    遇酸分解:

           

    还原性:

            

     在纺织工业上用Na2S2O3作脱氯剂。

           

    在分析化学上用于碘量法滴定。其中产物 叫做连四硫酸根离子,其结构式如下:

 配位作用:

             

硫代硫酸钠大量用作照相的定影剂。照相底片上未感光的溴化银在定影液中形成〔Ag(S2O3)23-而溶解。

过硫酸及其盐

      过硫酸可以看作是过氧化氢的衍生物。过氧化氢结构式为H─O─O─H,磺酸基─SO3H结构式为: ,H2O2分子中的两个氢原子被─SO3H分步取代,分别得到的产物为过一硫酸H2SO5和过二硫酸H2S2O8

           

       过硫酸具有强氧化性(来自过氧键─O─O─)。它们作为氧化剂参与反应的过程中,过氧键断裂,这两个氧原子的氧化值由原来的-1变为-2,而硫的氧化值保持+6不变。

     重要的过二硫酸盐有K2S2O8(NH4)2S2O8,它们也是强氧化剂。

      过硫酸盐热稳定性差,例如:

               

连二亚硫酸及其盐

连二亚硫酸H2S2O4是二元酸,很不稳定,遇水会立即分解为硫和亚硫酸。


     2H2S2O4 + H2O  H2S2O3 + 2H2SO3

2H2S2O3  S + H2SO3

     连二亚硫酸钠Na2S2O3·2H2O俗称保险粉,其稳定性比相应的酸强。

                      

      连二亚硫酸钠是强还原剂。Na2S2O4能将I2Cu2+Ag+等还原,能把硝基化合物还原为氨基化合物。空气中的氧能将Na2S2O3氧化。

2Na2S2O4 + O2 + 2H2O→ 2NaHSO3 + 2NaHSO4

连二亚硫酸钠是染料工业和印染工业上常用的还原剂,还广泛用于造纸、食品工业及医学上。

氯磺酸和二氯化硫酰

氯磺酸HSO3Cl可以看作为硫酸分子中的一个羟基被氯原子取代的产物。其结构式为:

      干燥的氯化氢气体与发烟硫酸反应生成氯磺酸:

HCl + SO3  HSO3Cl

      氯磺酸是一种无色、有刺激性气味的气体,遇水发生剧烈水解并爆炸,在潮湿的空气中因水解而发烟。在有机化学上氯磺酸是良好的磺化剂。

     二氯化硫酰SO2Cl2相当于硫酸分子中的两个羟基都被氯原子取代的产物,其结构式如下:

二氧化硫和氯气在催化剂存在条件下能直接化合生成二氯化硫酰:

二氯化硫酰也是一种无色液体,有强烈的水解作用。二氯化硫酰也用于有机合成工业。

 


第十   氮族、碳族和硼族元素

本章我们主要了解氮族、碳族和硼族元素的通性,熟悉相关分子的结构和稳定性。

§12.1 氮族元素

12.1.1 氮族元素概述

氮族也叫ⅤA族。

氮族元素符号:

N

P

As

Sb

Bi

价层电子构型:

2s22p3

3s23p3

4s24p3

5s25p3

6s26p3

氧化值:

-3+5

-3,+3,+5

-3,+3,+5

(-3),+3,+5

+3,(+5)

最大配位数:

4

6

6

6

6

氮族元素的 价层电子构型为ns2np3,电 负性不是很大,所以本族元素形成氧化值为正的化合物的趋势比较明显,化合物只要是共价型的,而且原子愈小,形成共价键趋势也愈大。

     氮族元素在自然界的存在形式:

氮:

主要以单质存在于大气中。

磷:

主要以磷酸盐形式分布在地壳中,如,磷酸钙Ca3(PO4)2,氮磷灰石3Ca3(PO4)2·CaF2

砷、锑、铋:

主要以硫化物矿存在,如,雄黄4S4As4、辉锑矿Sb2S3、辉铋矿Bi2S3等。

12.1.2 氮族元素的单质

氮气是无色、无臭、无味的气体。微溶于水,沸点为-195.8℃。常温下氮气的性质极不活泼,加热时氮气与活泼金属LiCaMg等反应,生成离子型化合物。

氮分子是双原子分子,两个氮原子以三键结合,电子排布为: ,由于N≡N键的键能(946kJ/mol)非常大,所以N2是最稳定的双原子分子,氮气表现出高的化学惰性,因此氮气常被用作保护气体。

磷的常见的同素异形体有:白磷、红磷和黑磷。

白磷是透明的、柔软的蜡状固体,由P4分子通过分子间力堆积起来,每个磷原子通过其pxpypz轨道分别和另外3个磷原子形成3σ键,键角∠PPP60°,分子内部具有张力,其结构不稳定。所以P4化学性质很活泼,在空气中自燃,能溶于非极性溶剂。

将白磷隔绝空气加热到400℃时可得到红磷。红磷的结构较复杂。一种观点认为:P4分子中的一个P—P键断裂后相互连接起来形成长链结构,所以红磷较稳定,400℃以上才燃烧。红磷不溶于有机溶剂。

黑磷具有与石墨类似的层状结构,当与石墨不同的是,黑磷每一层内的磷原子并不都在同一平面上,而是相互连接成网状结构。所以黑磷具有导电性,也不溶于有机溶剂。

12.1.3 氮的化合物

氮的氢化物

       在氮的氢化物中重点学习氨和铵盐。

  

结构:氨原子以三个不等性杂化轨道与氢原子成键,形成三角锥型结构。

制备:

       工业制备法:

                   

       实验室制备法:

性质:氨是无色气体,有特殊刺激性气味,溶于水呈碱性。氨的化学性质活泼,能与许多物质发生反应。

氧化还原反应:

                主要体现了氨的强还原性。

       加合反应:  Ag++ 2NH3  [Ag(NH3)2]+

       取代反应:    

铵盐

     铵盐一般为无色晶体,绝大多数易溶于水,在水中都有一定程度的水解,水解反应为:

                 

    的结构: 中的氮原子采用四个sp3杂化轨道与四个氢原子成键,形成正四面体的空间构型。

的鉴定:石蕊试纸法和Nessler试剂法。在试液中加碱,加热试液使氨气逸出,用石蕊试纸检验,试纸由红变蓝,用Nessler试纸检验,试纸由白到红棕再到深褐色。反应可表示如下:
   

固体铵盐的热稳定性差:铵盐的热分解情况因组成铵盐的酸的性质不同而异。

                

                 

   非挥发性非氧化性酸的铵盐,分解时只有氨挥发掉,而酸或酸式盐则留在容器中。

                

                

氧化性酸的铵盐,分解出的氨气被氧化成N2N2O

                

                

氮的氧化物

氮的氧化物分子中因所含的NO键较弱 ,其热稳定性都比较差,它们受热易分解或易被氧化。其中最重要的是NONO2

一氧化氮(NO)

结构NO的分子轨道电子排布为:(1σ)2(2σ)2(3σ)2(4σ)2(1π)4(2π)1可见分子中有未成对的单电子存在,NO具有顺磁性。NO参与反应时容易失去轨道上的一个单电子形成亚硝酰离子NO+

制备:NO是硝酸生产的中间产物。

工业制法:    

实验室制法:   3Cu + 8HNO3()  3Cu(NO3)2 + 2NO + 4H2O

性质NO是无色气体,水中溶解度较小。

       2NO + O2  2NO2

       2NO + Cl2  2NOCl(氯化亚硝酰)

Fe2+ + NO  [Fe(NO)]2+(亚硝酰合铁(Ⅰ))

二氧化氮和四氧化氮

    结构:NO2中的N以两个sp2杂化轨道与氧原子成键,形成V字型的空间构型,此外分子中还形成一个三中心三电子大( )键。

性质NO2是有特殊臭味的红棕色有毒气体。

            NO2冷却时转化为无色的N2O4(g)

                     

           NO2被水吸收生成硝酸和NO,被NaOH吸收生成硝酸盐和亚硝酸盐。

                  3NO2 + H2O  2HNO3 + NO

                2NO2 +2NaOH  NaNO3 + NaNO2 + H2O

氮的含氧酸及其盐

亚硝酸及其盐

   亚硝酸的结构HNO2N以两个sp2杂化轨道分别与羟基

氧和氧原子形成σ键,NO原子之间还形成一个π键,结构如图所示。

   亚硝酸的制备:必须在冷溶液中制备。

                       

                       

亚硝酸的性质:亚硝酸是一种弱酸, 。亚硝酸极不稳定,只能存在于很稀的冷溶液中,溶液浓缩或加热时都会分解。

             

   亚硝酸根的结构 中的N采取两个sp2杂化轨道分别与氧原子形成σ键,此外还形成一个三中心四电子大( ),离子是V字型结构。

   亚硝酸盐的制备:用碱吸收等物质的量的NONO2

                         NO + NO2 + 2NaOH  2NaNO2 + H2O

   亚硝酸盐的性质:除AgNO2是浅黄色不溶性固体外,大多数亚硝酸盐是无色的,一般易溶于水,极毒,是致癌物质。

       亚硝酸盐在酸性介质中既有氧化性又有还原性,实际应用中常作氧化剂,其还原产物一般为NO

                    

       当亚硝酸盐与强氧化剂作用时,才表现出其还原性。

                  

形成亚硝酸盐的阳离子金属性越强,亚硝酸盐的稳定性越高。例如:AgNO2NaNO2

硝酸及其盐

 硝酸的结构HNO3中的N原子采取sp2杂化轨道分别与一个羟基氧和两个氧原子形成3σ键,N原子中未参与杂化的p轨道中的两个电子与两个非羟基氧在ONO间形成三中心四电子( ),如图所示。 

硝酸的性质:浓硝酸很不稳定,见光受热易分解。

                4HNO3  4NO2 + O2 +2H2O

     硝酸由于挥发而产生白烟,故称为发烟硝酸;硝酸中常因溶有分解出来的NO2而带有黄色或红棕色。

     硝酸最典型的性质是它的强氧化性。硝酸可以把碳、磷、硫、碘等许多非金属氧化为高价酸,而其自身被还原为NO

               3C + 4HNO3  3CO2 + 4NO + 2H2O

               3P + 5HNO3 + 2H2  3H3PO4 + 5NO

               S + 2HNO3  H2SO4 + 2NO

              3I2 + 10HNO3  6HIO3 + 10NO + 2H2O

     大部分金属可溶于硝酸,硝酸被还原的程度与金属的活泼性和硝酸的浓度有关。

Cu + 4HNO3()  Cu(NO3)2 + 2NO2 + 2H2O       

             3Cu + 8HNO3()  3Cu(NO3)2 + 2NO + 4H2O

             4Zn + 10NO3()  4Zn(NO3)2 + N2O + 5H2O

             4Zn + 10NO3(很稀)  4Zn(NO3)2 + NH4NO3 + 3H2O     

可见,金属越活泼,硝酸的浓度越低,HNO3被还原后氮的氧化值越低。

      金、铂等不活泼金属能溶于王水(硝酸与浓盐酸以体积比1:3的比例而配制的混合物)中。

             Au + HNO3 + 4HCl  H[AuCl4] + NO + 2H2O

3Pt + 4HNO3 + 18HCl  3H2[PtCl6] + 4NO +8H2

 注意:冷的浓硝酸可以使FeAlCr钝化(浓硝酸将金属表面氧化成一层薄而致密的氧化物保护膜,致使金属不能再与硝酸继续作用)

     浓硝酸还能与有机化合物发生硝化反应。

             

 硝酸根的结构 中的N采取sp2杂化轨道分别与3O原子形成σ键,N中的为参与杂化的p轨道中的两个电子与3O3p电子形成四中心六电子大( )

     硝酸盐的性质:几乎所有的硝酸盐都溶于水。硝酸盐固体或水溶液在常温下都比较稳定,水溶液在酸性条件下才有氧化性,固体在高温时才有氧化性,故硝酸盐可用作炸药、火药、焰火中的氧化剂。

      硝酸盐受热时分解,分解产物因金属离子性质不同而分为三类:(以金属活动顺序中的排序为准)

            KMg

            MgCu

            Cu以后:

  思考:比较硝酸亚硝酸的酸性、氧化性;比较硝酸盐、亚硝酸盐的热稳定性。

12.1.4 磷的化合物

磷的化合物(PH3)

     结构:三角锥形,类似于NH3

     制备:单质磷在碱溶液中歧化。

                    P4 + 3KOH + 3H2O → PH3 + 3KH2PO2(次磷酸钾)

此外还可用类似制备氨的方法制备PH3

           复分解法:PH4I + KOH  PH3 + H2O + KI

           水解法: Mg3P2 + 6H2O  2PH3 + 3Mg(OH)2

     性质:膦是无色气体,有似大葱臭味,剧毒。有强还原性。

                 PH3 + 2O2  H3PO4

磷的氧化物

       磷的常见氧化物有五氧化二磷和三氧化二磷。

   三氧化二磷

磷在氧气不足的条件下燃烧生成P4O6,简称为三氧化二磷。三氧化二磷的结构如图所示。相当于6个氧原子P4的四面体的六个棱上。所以P4O6是白色易挥发的蜡状固体,易溶于有机溶剂。

P4O6是亚磷酸酐,与冷水反应较慢,生成亚磷酸。

                       P4O6 + 6H2O()  4H3PO3

     P4O6在热水中歧化为磷酸和膦(或单质磷)

                       P4O6 + 6H2O()  3H3PO4 + PH3

                    5P4O6 + 182O()  12H3PO4 + 8P

     P4O6于氧气进一步反应生成P4O10

P4O6 + 2O2  P4O10

 五氧化二磷

       磷在充足的空气中燃烧生成P4O10,简称为五氧化二磷。五氧化二磷的结构如图所示。相当于在P4O6的基本结构单元的各个磷原子的顶上再加上一个氧原子,P4O10是雪花状晶体,且有很强的吸水性,常用作干燥剂。

                         P4O10 + 6H2O  4H3PO4

                   P4O10 + 6H2SO4  6SO3 + 4H3PO4

                   P4O10 + 12HNO3  6N2O5 + 4H3PO4

     可见P4O10可使硫酸、硝酸等脱水生成氧化物。

磷的含氧酸及其盐

         磷能形成多种含氧酸。磷的含氧酸按氧化值不同可分为次磷酸H3PO2、亚磷酸H3PO3和磷酸H3PO4等。

次磷酸及其盐

性质:次磷酸是一元中强酸, H3PO2是强还原剂,能在溶液中将AgNO3HgCl2CuCl2等重金属盐还原为金属单质。  次磷酸盐多易溶于水,也是强还原剂。

结构:

 

亚磷酸及其盐

性质:H3PO3是二元中强酸,

 H3PO3是强还原剂,受热易歧化。

 H3PO3 + 2Ag+ + H2O  H3PO4 + 2Ag + 2H+

                 

结构:

亚磷酸能形成正盐和酸式盐。碱金属和钙的亚磷酸盐易溶于水,其他金属的亚磷酸盐都难溶。亚磷酸盐也是较强的还原剂。

磷酸

性质:H3PO4是三元中强酸,

        正磷酸可形成三种类型的盐:正盐、磷酸一氢盐、磷酸二氢盐。一般正磷酸盐比较稳定,不易分解。

结构:

磷酸的三种盐类溶解性和水解性比较如下:

 

M3PO4

M2HPO4

MH2PO4

溶解性:

大多数难溶于水(K+,Na+,铵离子外)

大多数易溶于水

水溶液酸碱性:

PH7

PH7

PH7

原因:

水解为主

水解>解离

水解<解离

磷酸盐中最重要的的是钙盐。工业上利用天然磷酸钙生产磷肥,反应如下:

             Ca3(PO4)2 + 2H2SO4 + 4H2O  Ca(H2PO4)2 + 2(CaSO4·2H2O)(过磷酸钙(磷肥))

  的鉴定:将磷酸盐与过量的钼酸铵(NH4)2MoO4及适量的浓硝酸混合后加热,可慢慢生成黄色的磷钼酸铵沉淀,反应为:

磷酸受热后脱水可形成焦磷酸、聚磷酸、偏磷酸等。

焦磷酸及其盐

      两个磷酸分子脱去一个水分子及得焦磷酸H4P2O4。焦磷酸是无色玻璃状物质,易溶于水。在冷水中缓慢转化为磷酸。

       H4P2O4 + H2O  2H3PO4

焦磷酸为四元中强酸 ,结构为:      

     常见的焦磷酸盐为M2H2P2O7M4P2O7两类。 具有配位能力,例如:

            

            

所以焦磷酸盐可用于硬水软化和无氰电镀。

偏磷酸及其盐

     偏磷酸指一个H3PO4脱去一个H2OHPO3。若为nH3PO4脱去nH2O,即为多聚偏磷酸,常见的有三聚偏磷酸和四聚偏磷酸。脱水过程以四聚偏磷酸(HPO3)4为例,图示如下:

聚磷酸是指nH3PO4脱去n1个水,如焦磷酸即为二聚磷酸;三聚磷酸的形成可图示如下:

  聚磷酸盐同样具有配位能力。

                   

小结:

 缩合度增加,酸性增强。

 

H5P3O10

H4P2O7

H3PO4

 

2.9×10-2

6.7×10-3

10-2

5.3×10-3

6.2×10-8

10-3

2.2×10-7

4.5×10-13

 鉴别正磷酸、焦磷酸和偏磷酸的方法:

 

正磷酸

焦磷酸

偏磷酸

AgNO3

黄色

白色

白色

蛋白质

 

 

白色

磷的卤化物

      磷可以形成三卤化磷PX3和五卤化磷PX5

      最重要的卤化物为三氯化磷和五氯化磷。在室温下,三氯化磷是无色液体,五氯化磷是白色晶体,该晶体是无色晶体,晶体中含有[PCl4]+[PCl6]-离子

磷的卤化物最重要的性质就是水解性。

                     PCl3 + 3H2O  H3PO3 +3HCl

                     PCl5 + 4H2O  H3PO4 +5HCl

 

PCl3

PCl5

结构

三角锥

三角双锥

 

中心原子杂化类型

不等性sp3

sp3d

12.1.5 砷、锑、铋的化合物

砷、锑、铋的氢化物

     砷、锑、铋的氢化物分别是:胂AsH3 SbH3 BiH3。这些氢化物都是无色液体,结构与氨类似,均为三角锥形。性质变化规律如下:

       熔、沸点从胂到 由低到高。

       稳定性从胂到 由高到低。

       碱性从胂到 由强到弱。

     胂、 均极毒。胂有似大蒜的刺激性气味,室温下在空气中燃烧:

2AsH3 + 3O2  As2O3 +3H2

     在缺氧条件下,胂受热分解:

检验生物体是否含砷中毒,利用的是AsH3的热不稳定性和还原性。

砷、锑、铋的氧化物

      砷、锑、铋可形成两类氧化物,即M2O3M2O5M2O3是相应的亚酸的酸酐,M2O5是相应的正酸的酸酐。

砷、锑、铋的单质在空气中燃烧和焙烧它们的硫化物可制得它们的M2O3

 

As2O3

Sb2O3

Bi2O3

颜色、状态

白色粉末

白色固体

黄色粉末

水溶性

微溶

难溶

极难溶

酸碱性

两性偏酸

两性

碱性

晶体结构

分子晶体

分子晶体

离子晶体

常温为双聚分子

As4O6

Sb4O6

 

三氧化二砷As2O3,俗称砒霜,剧毒。主要用于制造杀虫剂、除草剂以及含砷药物。

      As2O5为白色;Sb2O5为淡黄色;Bi2O5为红棕色,极不稳定。

砷、锑、铋的氢氧化物及其含氧酸

酸碱性递变:

形状

中度可信度描述已自动生成

 

 

 

 

 

 

M(Ⅲ)的还原性:

M(Ⅴ)的氧化性:

注意下面反应发生的条件,并解释为什么?

    

砷、锑、铋的盐

砷、锑、铋难以形成M5+,但在强酸溶液中可以形成M3+。砷、锑、铋的盐在水中都易水解。AsCl3的水解类似于PCl3,产物为两种酸。

                   AsCl3 + 3H2O  H3AsO3 + 3HCl

     锑、铋的盐水解为碱式盐。

                Sb2(SO4)3 + 2H2O→ (SbO)2SO4(s) + 2H2SO4

                    BiCl3 + H2O  BiOCl(s) + 2HCl

     Sb3+Bi3+具有一定的氧化性。

                     2Sb3+ + 2Sn  2Sb + 3Sn2+

这是鉴定Sb3+的特征反应。

                    2Bi3+ + 3[Sn(OH)4]2- + 6OH-  2Bi + 3[Sn(OH)6]2-

   这是鉴定Bi3+的特征反应。

砷、锑、铋的硫化物

硫化物:

As2S3()

Sb2S3()

Bi2S3()

As2S5()

Sb2S5()

Bi2S5(不能形成)

硫化物的性质:

       不溶于水和稀酸。

       配位溶解(HCl)

                  

                  

                  

         As2S3As2S5不溶。

      碱溶

      NaOH

                  

Na2S

                  

  氧化碱溶

                  

    与氧化性酸(HNO3)作用

                  

 

§12.2 碳族元素

12.2.1 碳族元素概述

碳族元素符号:

C

Si

Ge

Sn

Pb

价层电子构型:

2s22p2

3s23p2

4s24p2

5s25p2

6s26p2

氧化值

-4,+2,+4

+4

(+2),+4

+2,+4

+2,(+4)

最大配位数:

4

4

4

6

6

碳族元素的价层电子构型为2s22p2,得失电子都较难,这决定了碳族元素成键的主要倾向是共价键。

碳族元素在自然界的存在形式:

碳:金刚石、石墨;煤、石油、天然气;碳酸盐;CO2

硅:SiO2和硅酸盐。

锗:主要以硫化物形式存在:4Ag2S·GeS2(硫银锗矿)2PbS·GeS2(硫铅锗矿),请注意铅和锗的氧化值,          

体会到惰性电子对效应的存在。

锡:锡石(SnO2)

铅:方铅矿(PbS),白铅矿(PbCO3) 

 

 12.2.2 碳族元素的单质

单质碳存在着同素异形体:

          无定型碳:                木炭、焦炭、骨碳。

          金刚石:                 原子晶体,硬度大,熔点高。

          石墨:                    层状晶体。

        足球烯(富勒烯)          C60C70等。

单质硅也存在着同素异型体:无定型体和晶体硅,后者是原子晶体。

      单质锗:是灰白色金属,结构类似于金刚石。

     单质锡:三种同素异型体:

      

低温下,白锡变成粉末,称之为"锡疫"

铅:质软,能阻挡X射线,可以用作核反应堆的保护屏。

12.2.3 碳的化合物

1. 碳的氧化物

一氧化碳(CO)

结构:CON2为等电子体(14e-),结构相似,均有三键。

                    

 性质:

      作为配位体形成羰基配合物,Fe(CO)5Ni(CO)4Co2(CO)8,其中C是配位原子。

      CO作为还原剂,在冶金工业中得到广泛应用。

3CO(g) + Fe2O  2Fe(s) + 3CO2(g)

CO(g) + CuO(s)  Cu(s) + CO2(g)

CO(g) + PdCl2(aq) + H2O  Pd(s) + CO2 + 2HCl(aq)

此反应因生成黑色Pb,可用于检验CO的存在。

      CO有毒,空气中CO的体积比达到1∕800,人在半小时那就会死亡。因为CO与血液中的血红蛋白结合,使之失去载氧能力,人缺氧而窒息死亡。

二氧化碳(CO2)

    经典的分子结构:O=C=O,后来人们测得CO2CO间的键长为116pm,介于双键键长与三键键长之间( 中的C=O键长为124pmCO三键键长为113pm),为此人们提出CO2中应存在以下键型:CO间除了有σ键外,在CO2

分子中尚存在2个三中心四电子大( )                

2. 碳酸及其盐

CO2溶于水,大部分以CO2·H2O形式存在,极小部分是以H2CO3的形式存在,也就是说CO2溶于水后,水溶液中存在以下平衡:

            

应指出的是,上述解离常数是把CO2看作全部形成碳酸,这与事实不符,考虑溶液中的平衡,H2CO3的实际解离常数为:

      碳酸盐的热稳定性:

      正盐>酸式盐>酸,即M2CO3MHCO3H2CO3。例如Na2CO3很难分解,NaHCO3270℃分解,H2CO3在室温下即可分解。

             

            

             H2CO3  H2O + CO2

      同一族的金属的碳酸盐的稳定性从上到下增加。

例如:

碳酸盐

BeCO3

MgCO3

CaCO3

SrCO3

BaCO3

分解温度/℃

100

540

900

1290

1360

r(M2+)增大,稳定性增加,分解温度增高。

      过渡金属碳酸盐稳定性差

碳酸盐

CaCO3

PbCO3

ZnCO3

FeCO3

分解温度/℃

900

315

350

282

M2+价层电子构型

8e-

(8+2)e-

18e-

(9-17)e-

上述热稳定性规律可用离子极化理论解释:

内部:C(4+)O2-有极化能力,而在M2+ 之间:

M2+对邻近的O2-有反极化作用,抵消C(4+)O2-的极化作用,消弱了C···O键,反极化作用的大小与M2+的半径,价层电子构型有关,M2+的半径越小(Be2+),极化力越强,MO结合越密切,CO键断开,分解温度就越低;非8e-构型M2+极化力大,所以,分解温度也低。

      碳酸盐的溶解性:

对难溶盐来说,酸式盐溶解度大于正盐,例如:Ca(HCO3)2易溶于水,而CaCO3难溶于水。地表层中的碳酸盐矿石在CO2和水的长期侵蚀下能部分的转变为Ca(HCO3)2而溶解。

               CaCO3+ CO2 + H2O   Ca(HCO3)2

石灰岩地域出现钟乳石景观与此有关。

对易溶盐来说,规律恰好相反,酸式盐溶解度小于正盐。

碳酸盐

Na2CO3

NaHCO3

K2CO3

KHCO3

S (100℃)g/100g H2O

45

16

156

60

这是由于氢键存在, 之间形成二聚物或多聚物 缘故。

    

      碳酸盐的水解性:

溶液中含有 OH等,此时,加入金属离子生成的沉淀类型是什么?

金属离子加入碳酸盐后,生成沉淀的类型:

      氢氧化物碱性强的的金属离子与之反应生成碳酸盐沉淀。例如:Ba2+Sr2+Ca2+Ag+等。

      

      氢氧化物碱性较弱的金属离子与之反应生成碳酸羟盐(碱式碳酸盐)沉淀。例如,Pb2+Bi3+Cu2+Cd2+Zn2+Hg2+Co2+Ni2+Mg2+等。

            

             

      水解性强,两性的金属离子与之反应生成氢氧化物沉淀。例如:Al3+Fe3+Cr3+Sn2+Sn4+,Sb3+等。

            

墙上挂着钟表

中度可信度描述已自动生成12.2.4 硅的化合物

1.硅的氧化物:SiO2(硅石)

无定型体:石英玻璃、硅藻土、燧石。

晶体:天然SiO2晶体称为石英,纯净的石英称为水晶,属于原子晶体,用于制作光学仪器及工艺品等。

含杂质的石英:玛瑙、紫晶。

SiO2的性质:SiO2属于酸性氧化物,试想它与碱反应的产物。另外,SiO2HF反应的实用性:

             SiO2 + 2NaOH   Na2SiO3 + H2O

             SiO2 + Na2CO3   Na2SiO3 + CO2

                   SiO2 + 4HF   SiF4 + 2H2O

2.硅酸及其盐

硅酸:H2SiO3(原硅酸H4SiO4的脱水形式)二元弱酸: ,可见硅酸酸性比碳酸弱,由此可想到制备硅酸可用酸性比硅酸强的二氧化碳、氯化铵、氯化氢等与硅酸钠反应:

                        Na2SiO3 + 2NH4Cl   H2SiO3 + 2NaCl + 2NH3

                                     Na2SiO3 + 2HCl   H2SiO3 + 2NaCl

产物H2SiO3,开始为单分子硅酸溶于水,后聚合成多硅酸,形成硅酸溶胶,当浓度大时或加入电解质时,形成凝胶,经过干燥后得到白色透明固体。它具有许多极细小的孔隙,表面积大,吸附能力强,常用作干燥剂和吸附剂载体。浸透过CoCl2的硅胶称为变色硅胶,干燥时呈蓝色,吸水饱和后呈粉红色。

硅酸盐:除了Na2SiO3(俗称水玻璃)为可溶性硅酸盐外,大多数硅酸盐难溶于水,且有特征颜色。 水中花园(难溶于水的硅酸盐)

硅酸盐结构复杂,以SiO4四面体为结构单元,可连接成线层、主体网状。   一般以氧化物形式表示硅酸盐,

例如:白云石   K2O·3Al2O3·6SiO2·2H2O

泡沸石   Na2O·Al2O3·2SiO2·nH2O    

铝硅酸盐  人工合成的铝硅酸盐称为分子筛,天然泡沸石 与人工合成分子筛都具有多孔多穴结构,直径比孔穴小的分子能进入孔穴中,直径比孔道大的分子被拒之于外,起着筛选分子的作用。人们可根据不同需要制备不同结构、不同孔径的分子筛。广泛用于石油化工、冶金医疗等工业。

 

 

 

3.硅的卤化物

卤化物

SiF4

SiCl4

SiBr4

SiI4

聚集状态

g

l

l

s

其沸点依次升高,试用学过的知识解释该规律。

水解性:           SiCl4 + 3H2O  H2SiO3 + 4HCl

SiF4 + 3H2O  H2SiO4 + 4HF

SiF4 + 2HF  H2[SiF6]

12.2.5 锡、铅的化合物

 1.氧化物的酸碱性

均为两性,当酸碱强度不等。

M(Ⅱ)            

                      

                 (HNO3HAc不能加HClH2SO4)

                    

M(Ⅳ)

            α-锡酸能溶于酸也能溶于碱,β-锡酸不溶于酸也不溶于碱。

                   

Sn + 4HNO3()  H2SnO3 + 4NO2 + H2O

总之,锡、铅的氢氧化物的酸碱性规律如下:

同一元素高氧化值氢氧化物比低氧化值氢氧化物的酸性强;        

同一氧化值的不同元素,遵循同一主族由上到下碱性增强的规律。相对而言,Pb(OH)2碱性最强,Sn(OH)4酸性最强,所以称之为锡酸。           

2.锡、铅(ⅡⅣ)化合物的氧化还原性

Sn(Ⅱ)具有强还原性 

酸性:  

             

           此反应是鉴定Sn2+Hg2+的反应。

碱性:  

           

           此反应是鉴定Bi3+的反应。

                 

Pb(Ⅳ)具有强氧化性    

                  5PbO2  +  2Mn2+ + 4H+   2MnO4 +  5Pb2+ +  2H2O

                    3PbO2    Pb3O4 +  O2   

Pb3O4,俗称铅丹,红色。与亚麻仁油混合后作为油 灰涂在管子的衔接处,防止漏水。Pb3O4可看作是Pb2PbO4(原铅酸的Pb(Ⅱ))

Pb2PbO4+ 4HNO3   2Pb(NO3)2  + PbO2 + H2O

3.锡、铅的盐类

 水解

         锡、铅的氢氧化物是两性的,因此其盐类易水解:

              Sn2+ + H2O + 2Cl-  Sn(OH)Cl(s,) + HCl

            Sn4+ + 6H2O    H2[Sn(OH)6]( α-锡酸) + 4H+

(Ⅱ)盐的溶解性

少数可溶:

Pb(NO3)2,Pb(Ac)2(味甜,俗称铅糖弱电解质),可溶性铅盐均有毒。

多数难溶:

PbCl2PbSO4PbI2(金黄)PbCrO4()

溶解方法:

PbCl2溶于热水和浓HCl(生成 )

 

PbSO4溶于浓H2SO4PbSO4 + H2SO4  Pb(HSO4)2

 

PbI2溶于KIPbI2 + 2KI  K2PbI4

 

PbCrO4溶于HNO3

 

亦溶于 碱:

4.铅的硫化物

        SnS()SnS2()PbS(),不存在PbS2

均不溶于水,不溶于稀HCl

溶于浓HCl(配位溶解)

                 

                

                 

碱溶(SnSPbS碱性强,不溶于碱)

             

            

氧化碱溶(SnS2PbS不溶)

氧化溶解

 

§12.3 硼族元素

12.3.1 硼族元素概述

硼族(ⅢA)包括:硼(B,铝(Al, 镓(Ga, 铟(In, 铊(Tl价电子构型为:ns2np1 ,硼族元素的价电子数(3个电子)<价层轨道数(1s轨道个+3p轨道),所以硼族元素是缺电子元素。所以硼族元素易形成缺电子化合物。 例如:BF3

缺电子化合物:  成键电子对数<价层轨道数

缺电子化合物是典型的Lewis酸,                                                      

a.        易形成配位化合物,例如:HF+BF3→HBF4                                                

卡通人物

中度可信度描述已自动生成b.         易形成双聚物,例如:Al2Cl6                                                                                               

 

 

 

 

 

 

12.3.2 硼族元素的单质

单质硼有多种同素异形体,无定形硼为棕色粉末,晶体硼呈灰黑色.单质硼的硬度近似于金刚石,硼的电阻很大,但它的电导率却随着温度的升高而增大。     

晶态单质硼有多种变体,它们都以B12正二十面体为基本的结构单元。该二十面体由12B原子组成,20个接近等边三角形的棱面相交成30条棱边和12个角顶,每个角顶为一个B原子所占据。由于B12二十面体的连接方式不同,键也不同,形成的硼晶体类型也不同。

α一菱形硼是由B12单元组成的层状结构,该晶体属于原子晶体,因此晶态单质硼的硬度大,熔点高,化学性质不活泼;无定形硼则比较活泼。

铝是银白色有光泽的轻金属,具有良好的导电性和延展性;是很重要的金属材料和结构材料,常用以制作导线、和日用器皿。

镓、铟、铊都是软金属,物理性质相近,熔点都较低,镓的熔点比人体体温还低。镓、铟、铊可用于生产新型半导体材料。

 12.3.3 硼的化合物

下面列举了一些重要硼的化合物

硼化物

颜色和状态

密度(g/cm-3)

熔点(℃)

受热时的变化

溶解度(g/100g H2O)

四硼酸钠 (硼砂)NaB4O7×10H2O

坚硬白色晶体

1.73 (无水为2.4

 

加热后首先熔化,然后膨胀失去结晶水。最后变为玻璃状物质。NaB4O7×H2O200℃时仍稳定,400℃以上才完全脱水。

2.0120℃)水溶液呈碱性,也能溶于甘油,却不溶于酒精。

硼酸 H3BO3

六角形晶体,发珠光的白色鳞状物

1.46

171.0

107℃时失去水,变为偏硼酸HBO2,在140℃~160℃时变为焦硼H2B4O7(四硼酸),红热时变为B2O3

4.7420℃23.390℃)溶于水后,有正、偏和焦型的离子,也能溶于甘油,酒精及醚中

三氧化二硼 B2O3

无色透明玻璃状物

2.55

450.0

 

1.10℃15.7100℃)极易吸水,吸湿后变为混浊状态,也能溶于酒精

三氟化硼 BF3

无色气体

3.077g/L(STP)

-127.1

-100℃沸腾

在水中溶解

氮化硼 BN

白色,像滑石一样的分状物

2.18 2.34

2967 3300(加压)

4930℃升华加热时难被氧化。也不与Cl2作用,红热时与H2O作用放出NH3

不溶于水,不与酸,强碱溶液作用。

 

 

1. 硼的氢化物  

硼与氢可形成许多共价型氢化物,按组成可分为两大系列,通式分别为:BnHn+6(B4H10),BnHn+4(B2H6B5H9B6H10),称为硼烷。最简单的硼烷是乙硼烷(B2H6)。硼氢化合物的分子结构不能仅用一般的共价键来表示。因为硼原子是缺电子原子,硼烷分子内所有价电子的数不能满足一般共价键所需要的数目。在B2H6分子中,共有14个价轨道,而只有12个价电子,所以B2H6是缺电子化合物。

乙硼烷的结构: B2H6分子中,有8个价电子用于2B原子各与2H原子形成4B─Hσ键,这4σ键在同一平面上。剩下的4 个价电子在2B原子和另外2H原子之间形成了垂直于上述平面的2个三中心两电子键,一个在平面之上,另一个在平面之下,每一个三中心两电子键是由1H原子和2B原子共用2个电子构成的。这个H原子把2B原子连接起来,具有桥状结构,我们称这个H原子为桥氢原子                          

乙硼烷的性质: 常温下,B2H6B4H10(丁硼烷)为气体,B5~B8为液体,B10H14及其它高硼烷都是固体。硼烷多数有毒,有令人不适的特殊气味,且不稳定。乙硼烷(B2H6)是无色气体,用LiHNaHNaBH4与卤化硼作用可以制备B2H6

1B2H6是非常活泼的物质,暴露于空气中易燃烧或爆炸,并放出大量的热:

 

2 B2H6易水解释放出氢气,生成硼酸:

3B2H6LiH反应,能生成一种比B2H6的还原性更强的还原剂硼氢化锂LiBH4 

LiBH4为白色盐型氢化物,溶于水或乙醇,无毒,化学性质稳定。广泛用于有机合成,是重要的还原剂。

4)生成配合物:

2. 硼的含氧化合物

由于硼与氧形成的B-O键键能大(B-O键键能为:523kJ×mol-1),所以硼的含氧化合物具有很高的稳定性。构成硼的含氧化合物的基本单元是平面三角形的BO3和四面体形的BO4,这是由硼元素的亲氧性和缺电子性质所决定的。 

1)三氧化二硼(B2O3

B2O3是白色固体,晶态B2O3比较稳定,熔点为460℃B2O3能被碱金属、镁、铝还原为单质硼: 

  B2O3+ Mg→2B + 3MgO

     B2O3易溶于水,生成硼酸:

B2O3+ 3H2O → 2H3BO3    

但在热的水蒸气中则生成挥发性的偏硼酸HBO2

B2O3+ H2O→ 2HBO2   

制备B2O3的一般方法是加热硼酸H3BO3使之脱水:

 

 2)硼酸

硼酸包括原硼酸H3BO3、偏硼酸H3BO2和多硼酸xB2O3×yH2O。原硼酸通常又称为硼酸。将纯的硼砂(Na2B4O7·10H2O)溶于沸水中并加入盐酸,放置后可析出硼酸:

Na2B4O7+ H2SO4  + 5H2O→ 4H3BO3+Na2SO4    

结构:H3BO3的晶体中,每个B原子以三个sp2杂化轨道与三个O原子结合成平面三角形结构,每个O原子除以共价键与1B原子和1H原子相结合外,还通过氢键与另一个H3BO3单元中的H原子结合而连成片层结构,层与层之间则以微弱的范德华力相吸引。所以硼酸晶体是片状的,有滑腻感,可作润滑剂。                      

性质H3BO3是白色片状晶体,微溶于水(0℃时溶解度为6.35g/(100gH2O)),但在热水中溶解度较大(100℃时溶解度为27.6g/(100gH2O))。

H3BO3是一元弱酸,由于B是缺电子原子,它加合了来自H2O分子中的OH而释放出离子:

H3BO3+ H2O B(OH)4+ H+     =5.8×10-10 

表明了硼酸是缺电子化合物,是一个典型的路易士酸。其酸性可因加入甘露醇或甘油(丙三醇)而大为增强:

硼酸和甲醇或乙醇在浓H2SO4存在的条件下,生成硼酸酯:

硼酸酯在高温下燃烧挥发,产生特有的绿色火焰,此反应可用于鉴定含硼化合物的存在。

硼酸加热脱水先生成偏硼酸HBO2,继续加热变成B2O3

2H3BO3 2HBO2+2H2O B2O3+ 3H2O

3)硼酸盐

硼酸盐有偏硼酸盐、原硼酸盐、和多硼酸盐等。最重要的硼酸盐是四硼酸钠,俗称硼砂。硼砂的分子式为Na2B4O5(OH)4·8H2O习惯上也常写作Na2B4O7·10H2O)。

四硼酸根阳离子的立体结构:在四硼酸根中有两个BO3平面三角形和两个BO4四面体通过共用角顶O原子而联结起来。

     性质:硼砂是无色半透明的晶体或白色结晶粉末。在空气中容易失水风化,加热到350℃~400℃左右,失去全部结晶水成无水盐,在878℃熔化为玻璃体。熔融状态的硼砂能溶解一些金属氧化物,形成偏硼酸盐,并依金属的不同而显示出特征颜色,例如:

Na2B4O7 + CoO  Co(BO2)2·2NaBO2 (蓝色)

Na2B4O7 + NiO   Ni(BO2)2·2NaBO2 (棕色)

此反应可用于焊接金属时除锈,也可以鉴定某些金属离子,这在分析化学上称为硼砂珠试验。

硼砂是一个强碱弱酸盐,可溶于水,在水溶液中水解而显示较强的碱性:

 [B4O5(OH)4]2- + 5H2O  4H3BO3+2OH-  2H3BO3 + 2B(OH)4-  

硼砂水解时得到等物质的量的酸(H3BO3)和碱(B(OH)4-),所以此水溶液具有缓冲作用。硼砂易于提纯,水溶液又显碱性,在实验室中常用它配制缓冲溶液或作为标定酸浓度的基准物质。在工业上还可用做肥皂和洗衣粉的填料。 

硼砂珠试验可看作是熔融的酸性氧化物B2O3和碱性金属氧化物作用生成有特征颜色的偏硼酸盐玻璃,所以B2O3也有硼砂珠试验,例如:

B2O3 + CuO  Cu(BO2)2   蓝色

B2O3 + NiO  Ni(BO2)2绿色

BO3平面三角形结构中,B原子以sp2杂化轨道与O原子结合。(如下右图所示)

BO4四面体结构中,B原子以sp3杂化轨道与O原子结合。(如下左图所示)

                                          

3 硼的卤化物

硼与氢可形成许多共价型氢化物,按组成可分为两大系列,通式分别为:BnHn+6(B4H10)BnHn+4 (B2H6B5H9B6H10),称为硼烷。最简单的硼烷是乙硼烷(B2H6)。

硼氢化合物的分子结构不能仅用一般的共价键来表示。因为硼原子是缺电子原子,硼烷分子内所有价电子的数不能满足一般共价键所需要的数目。在B2H6分子中,共有14个价轨道,而只有12个价电子,所以B2H6是缺电子化合物。 

卤素都能和硼形成硼的卤化物,即三卤化硼。

制备:通常可用硼与卤素直接反应制得三卤化硼:

2B+3X2 → 2BX3

也可以萤石,浓H2SO4B2O3反应制备BF3

B2O3+3CaF2+3 H2SO4→ 2BF3+3CaSO4+3H2O

   B2O3HF酸作用,可制得BF3

                       B2O3+6HF→ 2BF3+3H2O

用置换法,使BF3AlCl3AlBr3反应,可得BCl3BBr3

                      BF3(g)+ AlCl3 → AlF3+ BCl3

                              BF3(g)+ AlBr3 → AlF3+ BBr3

用卤化法,以B2O3C为原料 ,通入Cl2气,,也可制备BCl3

                    B2O3+3C+3Cl2 → 2BCl3+3CO

结构:三卤化硼的分子结构都是平面三角形(如下图),表明B原子都是以sp2杂化轨道与卤图片包含 游戏机, 物体, 网

描述已自动生成原子形成σ键。                                

 

 

 

 

 

 

 

 

性质:三卤化硼都是共价化合物,熔沸点均很低,并有规律地按FClBI顺序而逐渐增高,它们的挥 发性随相对分子质量的增大而降低。

BF3是无色的有窒息气味的气体,不能燃烧,BF3水解得到氟硼酸H[BF4]

4BF3+3H2O  → 3H[BF4]+H3BO3

体现出BF3是缺电子化合物,是很强的Lewis酸。氟硼酸是强酸,仅以离子状态存在于水溶液中。

BCl3略加压力即可液化,它是无色具有高折射率的液体。在潮湿的空气中发烟并在水中强烈水解:

                      BCl3+3H2O      H3BO3+3HCl

4. 氮化硼

氮化硼是一种新型的无机合成材料。在873K时, B2O3NH3反应可制得氮化硼BNBNO2是等电子体。等电子体常表现出相似的结构和相似的性质。

BN有三种晶型:

无定型(类似于无定型炭)

六方晶型(类似于石墨)它又称为白石墨,是一种优良的耐高温润滑剂。

立方晶型(类似于金刚石),硬度如金刚石,用作磨料。

12.3.4 铝的化合物

铝是典型的两性元素,铝的单质和化合物既能溶于酸又能溶于碱而呈现典型的两性。

1. 氧化铝和氢氧化铝

氧化铝Al2O3有多种晶型,其中两种主要变体是α-Al2O3γ-Al2O3

      α-Al2O3称为刚玉,熔点高,硬度大,不溶于酸、碱。

γ-Al2O3称为活性氧化铝,可溶于酸、碱,可用作催化剂载体。

有些氧化铝载体基本上是透明的,因含有少量杂质而呈现鲜明的颜色。红宝石含有极微量铬的氧化物,蓝宝石含有铁和钛的氧化物,黄晶含有铁的氧化物。

 红宝石(Cr3+)            蓝宝石(Fe3+Cr3+)         黄玉/黄晶(Fe3+)

氢氧化铝是两性氧化物,它溶于酸生成

2.铝的卤化物

离子型化合物

AlF3

 

 

共价型化合物

AlCl3

AlBr3

AlI3

 

共价型化合物的共同特点:熔点低,易挥发,易溶于有机溶剂,易形成双聚物。    

无水AlCl3的水解反应非常剧烈并放出大量的热,甚至在潮湿的空气中也因强烈的水解而发烟。

3.铝的含氧酸盐

常见的铝的含氧酸盐有硫酸铝Al2(SO4)3,铝钾钒(明矾)KAl(SO4)2·12H2O等。

硫酸铝、硝酸铝溶于水后,由于Al3+的水解,溶液呈酸性。

            

铝的弱酸盐水解更加明显,甚至达到几乎完全的程度。

 

所以,弱酸的铝盐不能用湿法制得。

Al3+的鉴定:在氨碱性条件下,加入茜素,生成红色沉淀。

           

 

 

§12.4 p区元素化合物性质的递变规律

12.4.1 p区元素的氢化物

12.4.2 p区元素的氧化物及其水合物

1.氧化物

p区元素大多数都能与氧直接或间接地形成氧化物。稀有气体中只有氙能间接地与氧形成氧化物。同族元素同一氧化值的氧化物的酸碱性变化规律自上而下酸性逐渐减弱,碱性逐渐增强。

⒉氧化物水合物的酸碱性

同一周期p区元素最高氧化值氧化物的水合物从左到右碱性减弱,酸性增强。例如:

 

同族元素相同氧化值氧化物的水和物的酸碱性自上而下酸性减弱,碱性增强。

L·Pauling在研究含氧酸强度与结构之间的关系时,总结出下面的两条经验规则。

L·Pauling规则(定性)

氢氧化物或含氧酸,可记作:(HO)mROn,其中m:羟基氧的个数;n:非羟基氧的个数。酸性的强弱取决于羟基氢的释放难易,而羟基氢的释放又取决于羟基氧的电子密度,若羟基氧的电子密度小,易释放氢,则酸性强。

若中心原子R的电负性大,半径小,氧化值高则羟基氧的电子密度小,酸性强;非羟基氧的数目多,可使羟基氧上的电子密度减小,酸性增强。例如:

 

p区元素化合物的氧化还原性

对于同一元素不同氧化值的化合物来说,最高氧化值的化合物只可能有氧化性,且同一周期的最高氧化值化合物的氧化性从左到右依次增强。例如:

电对

Al3+/Al

SiO2/Si

H3PO4/P

/S

/Cl2

/V

-1.68

-0.9754

0.412

0.384

1.390

对于氯、溴、碘等非金属性较强的元素的不同氧化值的含氧酸来说,通常不稳定的酸氧化性较强。例如:

电对

/Cl-

/Cl-

HClO2/Cl-

HClO/Cl-

/V

1.38

1.45

1.57

1.49

p区元素含氧酸的热稳定性

一般地说,含氧酸的热稳定性差,则相应的盐的热稳定性也较差。但是,含氧酸盐比相应的含氧酸要稳定些。

同一种含氧酸形成的盐,一般来说,金属越活泼,相应的含氧酸盐也越稳定。例如:

 

Na2CO3

BaCO3

MgCO3

FeCO3

CdCO3

Ag2CO3

分解温度/

1800

1360

540

280

345

275

 


第十  过渡元素()

 本章我们主要了解过渡元素的通性。了解钛、钒及其重要化合物的性质。 熟悉铬的电势图,掌握 Cr( ),Cr( )化合物的酸碱性、氧化还原性及其相互转化。了解钼钨的化合物。  熟悉锰的电势图,掌握 Mn( ),Mn( ),Mn(),Mn()的重要化合物的性质和反应。掌握Fe( ),Co( ),Ni()的重要化合物的性质及其变化规律;掌握 Fe( ),Co( ),Ni()的重要化合物的性质及其变化规律。熟悉铁、钴、镍的重要配合物。

§13.1 d区元素概述

  13.1.1 d区元素简介

d区元素包括周期系第B B,, BB元素,不包括镧系和锕系元素。 d区元素都是金属元素。d区元素的价电子构型为,(n-1)d1-10ns1-2(Pd5s0)。同周期d区元素金属性递变不明显,通常按不同周期将过渡元素分为三个过渡系:

第一过渡系:第四周期元素从钪(Sc)到锌Zn;

第二过渡系:第五周期元素从钇(Y)到镉(Cd);

第三过渡系:第六周期元素从镥(Lu)到汞(Hg)

d区元素在自然界中储量以第一过渡系为较多,它们的单质和化合物在工业上的用途也较广泛。本章将重点学习从钛(Ti)到镍(Ni)7个元素,还要适当了解我国的丰产元素钼 (Mo)和钨(W)

13.1.2 d区元素的原子半径和电离能

同周期过渡元素的原子半径随着原子序数的增加而缓慢地依次减小,到了第族元素后又缓慢增大。同族过渡元素的原子半径,除了B外,自上而下随着原子序数的增大而增大。

各过渡系元素电离能随原子序数的增大,总的变化趋势是逐渐增大的。同副族过渡元素的电离能递变不很规则。d区元素的第一电离能变化趋势如图所示。

          第一电离能变化趋势

13.1.3 d区元素的物理性质

 熔点、沸点高。熔点最高的单质是钨(W)

 硬度大。硬度最大的金属是铬(Cr)

 密度大。密度最大的单质是锇(Os)

 导电性、导热性、延展性好。

13.1.4 d区元素的化学性质

在化学性质方面,第一过渡系元素的单质比第二、三过渡系元素的单质活泼。化学性质变化总趋势是同一过渡系单质的活泼性从左到右降低。

13.1.5 d区元素的氧化态

过渡元素大多可以形成多种氧化值的化合物。图中给出了第一过渡系元素的各种氧化值,红色代表常见的氧化值

   

13.1.6 d区元素的离子的颜色

过渡元素的水合离子大多是有颜色的。

过渡元素与其它配体形成的配离子也常具有颜色。这些配离子吸收了可见光(>30nm 400nm)的一部分发生了d—d跃迁,而把其余部分的光透过或散射出来,我们看到的物质的颜色就是这部分透射光或散射光。

对于某些具有颜色的含氧酸根离子,如 (黄色), (紫色)等,它们的颜色被认为是由电荷迁移引起的。

§13.2.钛副族 Ti, Zr, Hf    

.钛的存在与冶炼

  1. 稀有元素

Ti属于稀有元素,Ti有富矿红金石(TiO2)和钛铁矿(FeTiO3),在地壳中含量为0.42%, 居第10位。

Zr 以锆石等形式存在, 20, 比熟知的CuZn都多

2. 钛的冶炼
    工业上以钛铁矿为原料,制取钛单质。

  先用浓H2SO4处理磨碎的钛铁矿粉:
  FeTiO3 + 3H2SO4 ===Ti(SO4)2 + FeSO4 + 3H2O
  矿石中的FeOFe2O3也同时转变成了硫酸盐,加入Fe粉,还原Fe2(SO4)3FeSO4,冷却使FeSO4·7H2O(绿矾)结晶,得副产品。

  水解Ti(SO4)2:

  Ti(SO4)2 + H2O=== TiOSO4(硫酸氧钛) + H2SO4

  TiOSO4 + 2H2O ===H2TiO3(沉淀白色,偏钛酸) + H2SO4

  煅烧H2TiO3制得TiO2

   H2TiO3 TiO2 + H2O
  氯化、耦合制TiCl4

       TiO2 + 2C + 2Cl2 TiCl4(l) + 2CO(气体)

Ar气氛保护下,用熔镁还原TiCl4蒸气

      TiCl4(g) + 2Mg(l) --- Ti + 2MgCl2(l) (熔融, Ar气保护)

可以将剩余的Mg和生成的MgCl2蒸发掉,或用盐酸将MgMgCl2溶掉,得海绵钛再熔炼,得Ti单质。 也可直接氯化金红石矿粉,制TiCl4,完成钛的冶炼。

钛单质

1. 物理性质
  银白色,密度4.54,比钢铁的7.8小,比铝的2.7大,较轻,强度接近钢铁,兼有铝铁的优点,既轻强度又高(航天材料, 眼镜架等)

  制作记忆性合金NT合金(镍钛合金, NT)

  亲生物性,人造骨, 可与生物体骨肉易长在一起。

  1. 化学性质

  热力学上很活泼,但表面钝化,在常温下极稳定。常温不与X2O2H2O反应,不与强酸(包括王水),以及强碱反应。钛合金耐酸碱腐蚀。但高温时钛相当活泼:
  Ti + O2 === TiO2 (红热)
  Ti + 2Cl2 === TiCl4 (600K)
  3Ti + 2N2 === Ti3N4 (800K)
  Ti的以上反应均达到最高氧化态。
  2Ti + 6HCl ==2TiCl3(紫色) + 3H2(气体)
  最好的溶剂是氢氟酸或氢氟酸与盐酸的混合液,产生 :
  Ti + 6HF ===TiF62- + 2H+ + 2H2(气体)
  Ti不溶于热碱,但和熔融碱作用:
  2Ti + 6KOH ====2K3TiO3 + 3H2 (熔融)
  总之, 钛密度小,强度高,抗酸碱腐蚀,有记忆性,亲生物性,在地壳中储量高,是极有前途的结构材料,被誉为第三金属二十一世纪金属

钛的重要化合物

1. 二氧化钛
与酸的作用
  TiO2白色粉末,俗称钛白,不溶于H2O、稀酸和稀碱中,在一定的条件下可溶于热浓H2SO4中。
  TiO2 + 2H2SO4() Ti(SO4)2 + 2H2O
 电场过强,在水中易水解成:
  

 称为钛氧基或钛酰基,因此上述反应可写成:
  TiO2 + H2SO4() TiOSO4 + H2O

 之间有如下平衡:

  

水溶液中不能析出 Ti(SO4)2,却可以析出白色粉末TiOSO4·H2O
TiO2KHSO4共熔,得可溶性盐类:
  TiO2 + 2KHSO4 ===TiOSO4 + K2SO4 + H2O (熔融)
与碱性化合物作用
   TiO2 + MgO=== MgTiO3 (熔融)
   TiO2 + BaCO3=== BaTiO3 + CO2(气体) (熔融)
   BaTiO3,偏钛酸钡,是一种压电材料,受压时两端产生电位差。
2. 钛酸
  在钛盐中加碱,可得-钛酸(氢氧化钛):
   TiBr4 + 4NaOH === Ti(OH)4(沉淀) + 4NaBr
-钛酸活性大,可溶于酸或碱,可以写成Ti(OH)4H4TiO4TiO2·xH2O等形式。
将钛酸溶液煮沸,水解生成-钛酸,这种水解即使加强酸也不能抑制。
  Ti(SO4)2 + 4H2OTi(OH)4 + 2H2SO4
  得到的-钛酸稳定,不溶于酸也不溶于碱。

3. 四氯化钛
  TiCl4无色溶液,有刺激性气味,极易水解,在空气中冒白烟
    TiCl4 + H2O === H2TiO3 + 4HCl
    制TiCl4关键是防止水解。
4. 三氯化钛
  单质钛在加热情况下与盐酸反应得TiCl3紫色溶液。
  TiCl3也可以由TiCl4还原制得:
   2TiCl4 + H2 ===TiCl3 + 2HCl
   2TiCl4 + Zn === TiCl3 + ZnCl2
  从水溶液中可以析出TiCl3·6H2O的紫色晶体,配合物的构成是[Ti(H2O)6]Cl3 若用乙醚从TiCl3的饱和溶液中萃取出,可得TiCl3 ·6H2O绿色晶体,配合物的构成是[Ti(H2O)5Cl]Cl2·H2O。两者互为水合异构。
  有关Ti(IV)Ti(III)的电极电势如下:
  
  可见说不上Ti(IV)的氧化性,倒可谈Ti(III)的还原性
             

锆与铪

由于镧系收缩的影响,Zr Hf 极为相似,均为浅灰色和灰色金属。元素 Zr 发现后,大约 30 年以后发现 Hf,并发现 30 年来对Zr 进行的研究,全是在含 2 Hf 的基础上完成的。

Zr Hf 耐酸性比 Ti 还强,尤其是 Hf100 以下对酸稳定(HF 除外 ),与碱可反应:
    Zr + 4KOH === K4ZrO4 + 2H2(气体)
  ZrO2 是白色粉末,硬度高,高温处理的 ZrO2, HF , 不溶于其它酸。 常用的可溶性锆是 ZrOCl2,易水解

ZrOCl2 + (x+1)H2O === ZrO2·xH2O(锆酸) + 2HCl
  锆酸比钛酸弱,也有两性。  

 

 

§13.2.钒副族    
 一.钒单质

钒在自然界中非常分散,V(III)经常和铁矿混生,如钒钛铁矿,V(V)尚可独立成矿,钒是稀有金属。

钒浅灰色,高熔点(Ti),纯净时延展性好,不纯时硬而脆。钢中加0.1- 0.2%的钒,韧性、强度、延展性及抗冲击力均加强。
    
  热力学上看,应是极活泼的金属,但由于表面钝化,常温下不活泼,块状的钒可以抵抗空气的氧化和海水的腐蚀,非氧化性酸及碱也不能与钒作用。
  V可以溶于浓硫酸和硝酸中
   V + 8HNO3 == V(NO3)4 + 4NO2 + 4H2O
   V(NO3)4 或以VO(NO3)2形式存在。
  高温下活性很高
    2V + 5O2 ===V2O5 (砖红色固体)
    V + 2Cl2 === VCl4 (红色液体)
  V可以与熔融的强碱反应。

钒的重要化合物  

1. 五氧化二钒
  V2O5 , 砖红色固体,无臭、无味、有毒,是钒酸 H3VO4 及偏钒酸 HVO3 的酸酐。 加热偏钒酸铵可得V2O5
   2NH4VO3 === V2O5 + 2NH3 + H2O
  三氯氧钒水解也得V2O5
   2VOCl3 + 3H2O ===V2O5 + 6HCl
   V2O5 H2O中溶解度很小,但在酸中、碱中都可溶,是两性氧化物。
   V2O5 + 6NaOH === 2Na3VO4 + 3H2O
   V2O5 + H2SO4 === (VO2)2SO4 + H2O
  和盐酸的反应,放出Cl2V2O5有氧化性
   V2O5 + 6HCl === 2VOCl2 + Cl2 + 3H2O
 2. 钒酸盐
  偏钒酸盐VO3ˉ,正钒酸盐VO43ˉ,二聚钒酸盐V2O74ˉ,多聚酸(Hn+2VnO3n+1).

存在形式与体系的pH值有关,pH越大聚合度越低,pH越小,聚合度越高。
(1) pH>13时,以VO43ˉ存在,pH降低,经二聚,四聚、五聚.....逐渐升高;
(2) pH2时,以V2O5形式析出;
(3) pH≤1时,以阳离子存在. (V2O5与强酸的反应产物)
3. 各种氧化态的钒离子
         

铌和钽  

Nb浅灰色,Ta银白色,性质十分相似。NbTa在室温下活性很低,尤其是Ta,甚至不和王水反应。但可以缓慢地溶于氢氟酸,尤其是HF-HNO3的混酸中。 在空气中加热均可得五价的氧化物:
    4Nb + 5O2 2Nb2O5
    4Ta + 5O2 2Ta2O5
  Ta2O5相当稳定,加热至1470℃熔化而不分解,不被H2所还原。
  NbTa的含氧酸和钒酸相似,有多酸形式,NbOCl3易水解:
     2NbOCl3 + (x+3)H2O=== Nb2O5·xH2O + 6HCl

 

§13.3 铬 多酸型配合物

      周期系第 B族元素也叫铬分族,包括铬(Cr)、钼(Mo)、钨(W)3种元素。价电子构型为: (n-1)d4-5ns1-2。在自然界中的主要矿物有铬铁矿(Fe(CrO2)2)、辉钼矿(MoS2)、黑钨矿(MnFeWO4)、白钨矿(CaWO4)。我国钼矿资源丰富,钨矿的储量约占世界储量的一半。

13.3.1 钨的单质

铬、钼、钨都是灰白色金属。它们的熔点和沸点高。在通常条件下,由于铬、钼、钨表面形成一层氧化膜,它们在空气或水中都相当稳定。因此常在铁制品的表面镀有一层铬,可起到防腐、美化的作用。室温下,无保护膜的纯铬能溶于稀盐酸和硫酸溶液中,而不溶于硝酸和磷酸。钼和钨都能溶于硝酸和氢氟酸的混合溶液中。

13.3.2 铬的化合物

铬原子的价电子构型为:3d54s1。铬的最高氧化值为+6。铬也能形成氧化值为+5,+4,+3,+2,+1,0,-1,-2的化合物。铬的重要化合物有:三氧化铬(CrO3)暗红色晶体,铬酸钾(K2CrO4)黄色晶体,重铬酸钾(K2Cr2O7)橙红色晶体,三氧化二铬(Cr2O3)绿色粉末,硫酸钾铬(铬钾钒,(KCr(SO4)2·12H2O)暗紫色晶体。

  铬的重要化合物通常以K2Cr2O7为原料制备,而K2Cr2O7是由铬铁矿借助于碱溶法制得的,制备K2Cr2O7的流程图如下:

           

 所涉及到的重要反应为:

13.3.3 水溶液中铬的离子及其反应

1.Cr()的盐   

 Cr3+在水溶液中发生水解。

         

Cr3+的水溶液中引入弱酸根离子,水解将进行到底

2Cr3+ + 3S2 + 6H2O → 2Cr(OH)3(s) + 3H2S(g)

2Cr3+ + 3CO32 + 6H2O → 2Cr(OH)3(s) + 3H2S(g) 

Cr3+溶液中加入碱时,先生成灰绿色的 Cr(OH)3沉淀,当碱过量时生成亮绿色的 溶液。

 Cr()具有还原性,但在碱性条件下较强,即:若想将Cr()氧化为Cr(),选择碱性条件更容易。

  

 Cr()的鉴定:

原理流程:

 重要反应:

             

    在反应最后一步加入乙醚,目的是使CrO(O2)2能够较稳定地存在。

 Cr3+有一定的氧化性

                  2Cr3+(紫色) + Zn(s)  2Cr2+(蓝色) + Zn2+

  Cr()的配合物有多种颜色

[Cr(H2O)6]Cl3紫色,  [CrCl(H2O)5]Cl2· H2O蓝绿色,   [CrCl2(H2O)4]Cl· H2O绿色。

Cr()在水溶液中的存在及转化

  pH值不同,存在形式不同   

pH2,以 为主,pH6, 为主。二者间存在下列平衡。

 

  难溶盐的生成使 转化为

       例如:

所以 的溶液中加入Ag+时,生成Ag2CrO4

同理:

点击图片实验演示 

  的氧化性

  有很强的氧化性( ), 的氧化性很差。

可氧化

Fe2+

Sn2+

点击试验演示

H2S

I-

Cl-(浓盐酸中)

对应产物

Fe3+

Sn4+

S

I2

Cl2

例如:

这一反应在分析化学中常用于Fe2+含量的测定。

小结

13.3.4 钼、钨的化合物

钼和钨的原子价层电子构型分别为:4d55s1 5d46s2,它们都能形成氧化值从+2+6的化合物。其中氧化值为+6的化合物较稳定。例如:钼酸铵((NH4)2MoO4),钨酸钠(Na2WO4).

 碱金属和 的钼()、钨 ()含氧酸盐易溶于水。在可溶性的钨酸盐或钼酸盐中,增加酸度往往形成聚合的酸根离子。在(NH4)2MoO4Na2WO4的溶液中分别加入适量的盐酸,则析出难溶于水的钼酸H2MoO4和钨酸H2WO4

                  

  可以与H2S作用,生成硫化物。

 MoS3WS3能溶于(NH4)2S中形成硫代酸盐

                 

 用硝酸酸化的钼酸铵溶液,加热至50,再加入Na2HPO4,生成磷钼酸铵(NH4)3PO4·12MoO3· 6H2O黄色沉淀

这一反应常用来 检查溶液中是否含有 ,也可用来鉴定溶液中的

13.3.5 多酸型配合物 同多酸和杂多酸及其盐

多酸:由简单含氧酸缩合起来的,含有复杂酸根离子的含氧酸。例如:H2Cr2O7

从配合物的观点来看,简单的酸根离子 也是配离子,形成体是Cr(),配位体是O2-。这类酸根离子为单核配离子。显然,多酸根 为多核配离子,结构为:

 

        当形成体是同种离子时,该多酸为同多酸。例如:H2P2O7

当形成体是不同种离子时,该多酸为杂多酸,对应的盐为杂多酸盐。例如: (NH4)3PO4· 12MO3·6H2O;根据实验测定和配合物的结构理论,把它写为 (NH4)3[P(Mo3O10)4] ·6H2O,其中P()是形成体,而四个 是配位体

§13.4 锰

周期系第B族元素也叫锰族元素,包括锰(Mn)、锝(Te)、铼(Re)3种元素。价电子构型为:(n-1)d5ns2

锰在地壳中的含量在过渡元素中占第三位,仅次于铁和钛。锰在自然界中主要以软锰矿MnO2·xH2O的形式存在。

 16.4.1 锰的单质

         锰是白色金属,质硬而脆,外形与铁相似。纯锰用途不大,常以锰铁的形式来制造各种合金钢。

 常温下,锰能缓慢地溶于水: Mn + 2H2O  Mn(OH)2(s) + H2

     锰能溶于稀酸并放出氢气。

 在氧化剂存在下,锰能与熔融的碱作用生成锰酸盐:2Mn + 4KOH + 3O2  2K2MnO4 + 2H2O

 锰还能与氧、卤素等非金属作用,生成相应的化合物。

13.4.2 锰的化合物

锰原子的价电子构型为3d54s2。锰的最高氧化值为+7。锰也能形成氧化值从+6-2的化合物。锰的重要化合物有:高锰酸钾(KMnO4)紫黑色晶体,锰酸钾(K2MnO4)暗绿色晶体,二氧化锰(MnO2)黑色粉末,硫酸锰(MnSO4·7H2O)肉红色晶体,氯化锰(MnCl2· 4H2O)肉红色晶体。

        以软锰矿为原料,可以制备KMnO4,Mn3O4,MnO等。制备流程图如下:

13.4.3 锰的化合物
Mn()的性质

 Mn2+在水溶液中比较稳定,水解程度较小。

        

Mn2+ 的溶液中加入OH-时,先得到白色的Mn(OH)2沉淀。  

  Mn2+ + 2OH-  Mn(OH)2(s)

Mn(OH)2在空气中很快被氧化成棕色的Mn3O4 MnO2的水合物

 

 

 在氨碱性条件下,向Mn2+溶液中加入 H2S溶液,生成肉红色的MnS沉淀。该沉淀可溶于醋酸中。

            Mn2+ + H2S + 2NH3 → MnS(s,肉色) + 2NH4+

                                MnS + 2HAC → Mn2+ + H2S + 2AC-

 Mn2+的还原性差,在酸性介质中要实现 的转化需要采用强氧化剂。例如:NaBiO3,PbO2,K2S2O8,H5IO6 等。

            

说明:

该反应常用来鉴定溶液中微量的Mn2+。若Mn2+存在,则溶液由无色(Mn2+)变为紫红色( )

酸化时不能用HClCl-会还原 而使紫色立即褪去。

    Mn2+的浓度很低时,很灵敏。当Mn2+过多时也会使紫色立即消失。

Mn()的性质    

Mn()通常以MnO2的形式存在。MnO2通常呈现强氧化性

              

        MnO2也有一定程度的还原性。

MnO2   +  2MnO4  +  4OH   ()    3MnO42  +  2H2O

Mn()的性质   

Mn()一般以K2MnO4的形式存在。K2MnO4是暗绿色晶体, pH13.5的强碱性溶液中才能存在,在水溶液或酸性溶液中易歧化:

Mn()的性质    

Mn()通常以KMnO4的形式存在。KMnO4有强氧化性,

可氧化物质

I-

Cl-

H2S

Fe2+

Sn2+

产物

I2

Cl2

S

Fe3+

Sn4+

溶液的酸度不同, 被还原的产物也不同

 酸性条件:

      中性条件:   

        

 浓强碱性条件条件:

KMnO4 热稳定性差,通常盛装于棕色瓶中。例如:

 见光(遇酸)

 浓碱:

      加热:

       

锰的有关离子和化合物的性质小结

§13.5 铁  

周期系第 族元素包括:

        (Fe)     (Co)     (Ni)  铁系

        (Ru)    (Rh)   (Pd) 铂系  

          (Os)    (Ir)      (Pt) 铂系      

铁系元素中,以铁的分布最广。铁在地壳中的含量居第四位,在金属中仅次于铝。铁的主要矿石有赤铁矿(Fe2O3)、磁铁矿(Fe3O4)、黄铁矿(FeS2)和菱铁矿(FeCO3)等。钴和镍的常见矿物是辉钴矿(CoAsS)和镍黄铁矿(NiS· FeS)

13.5.1 铁、钴、镍的单质

         铁、钴、镍都是银白色金属,能被磁体所吸引,是 铁磁性物质

钴、镍和纯铁在空气中都是稳定的,但一般的铁因含有杂质在潮湿的空气中慢慢形成棕色的铁锈Fe2O3·xH2O

         铁、钴、镍都能从稀酸中置换出氢气。 Co,Ni的相应反应要慢一些。

冷的硝酸溶液可使铁、钴、镍变成钝态。浓硫酸可使铁钝化。钝态的铁、钴、镍不再溶于相应的酸中,所以可以用铁罐贮存浓硫酸

在加热条件下,铁、钴、镍能与许多非金属剧烈反应。

13.5.2 铁、钴、镍的化合物

 

价电子构型

            重要氧化值

Fe

3d64s2

+3 +2 (+6)

Co

3d74s2

+2 +3 (+5)

Ni

3d84s2

+2 +3 (+4)

最高氧化值不等于族序数。这主要是因为随着原子序数的增加,原子的有效核电荷增加,增强了核对3d电子的束缚作用

铁、钴、镍的高氧化态化合物氧化性较强,大都以含氧酸盐或配盐的形式存在,例如:Na2FeO4,K3CoO4,K2NiF6等,这类化合物在水溶液中都极不稳定。

Fe3+,Co3+,Ni3+的氧化性按Fe3+Co3+Ni3+顺序增强,因此它们卤化物稳定存在状况见下表:

FeCl3有明显的共价性,易潮解。它的蒸气中含有双聚分子 Fe2Cl6,其结构为:

氯化钴CoCl2·6H2O在受热脱水过程中,伴随着颜色的变化:

利用CoCl2·6H2O的这一特性指示出的吸水程度。

铁、钴、镍的其它化合物具有盐类的一般性质。

 

13.5.3 水溶液中铁、钴、镍的离子及其反应

Fe( )Fe() Co( )Ni()的水解性

     Fe()Fe( )在水溶液中分别以[Fe(H2O)6]3+(淡紫色)[Fe(H2O)6]2+(淡绿色)的形式存在。钴和镍的盐类在水溶液中主要有[Co(H2O)6]3+(粉红色) [Ni(H2O)6]3+(绿色)

由于Fe3+Fe2+的电荷多,因而Fe3+Fe2+容易发生水解。

 

   

Co2+Ni2+仅发生微弱的水解。

由于Fe3+水解程度大,[Fe(H2O)6]3+仅能存在于酸性较强的溶液中,稀释溶液或增大溶液的pH ,都会有胶状物FeO(OH)沉淀出来,使混浊的水变清。所以FeCl3常用作净水剂。

沉淀反应   

Fe2+,Fe3+,Co2+,Ni2+溶液中加入强碱,分别生成相应的氢氧化物

Fe2+ + 2OH-  Fe(OH)2(s,白色) 

Fe3+ + 3OH-  Fe(OH)3(s,红棕色) 

Co2+ + 2OH-  Co(OH)2(s,粉红色) 

Ni2+ + 2OH-  Ni(OH)2(s,苹果绿色) 

 Fe(OH)2迅速被空气中的氧氧化,由白色灰绿色棕褐色最终生成Fe(OH)3 

 湿的 Co(OH)2也能被空气中的氧缓慢地氧化成暗棕色的Co2O3·xH2O(Co(OH)3)

                                   4Co(OH)2 + O2 + 2(x-2)H2O  2Co2O3·xH2O

      Ni(OH)2需要在浓碱溶液中用较强的氧化剂(如溴水)才能把它氧化成黑色的NiO(OH)(Ni(OH)3) 

       2Ni(OH)2 + Br2 + 2OH -  2NiO(OH) + 2Br - + 2 H2O

 Co(OH)2在同样条件下也可被氧化为Co(OH)3

                                2Co(OH)2 + Br2 + 2OH-  2Co(OH)3 + 2Br-

由于Co3+,Ni3+具有很强的氧化性,在水溶液中很难有 [Co(H2O)6]3+[Ni(H2O)6]3+存在。所以Co2O3,NiO(OH)与酸作用时,发生氧化还原反应:

2M(OH)3 + 6HCl()  2MCl2 + Cl2 + 6H2O (M=Co,Ni)

在氨碱性条件下,向Fe2+,Co2+,Ni2+溶液中通入H2S,能够生成MS沉淀。

FeS,CoS,NiS是稀酸溶性,即在稀酸条件下,向含有 Fe2+,Co2+,Ni2+离子的溶液中通入H2S是不会产生硫化物沉淀的。但当MS在氨碱性条件下形成后,CoS,NiS由于发生晶型转变而不再溶于酸。

氧化还原反应

铁的元素电势图:

 在浓碱溶液中,用NaClO可以把Fe(OH)3氧化成紫红色的FeO42-

         2Fe(OH)3 + 3ClO- + 4OH-    2FeO42- + 3Cl- + 5H2O

 酸性溶液中,Fe3+是中强氧化剂,能把I-,H2S,Fe,Cu等氧化:

2Fe3+ + 2I-  2Fe2+ + I2 

2Fe3+ + H2S  2Fe2+ + S + 2H+

2Fe3+ + Fe  3Fe2+

2Fe3+ + Cu  2Fe2+ + Cu2+

工业上常用FeCl3的溶液在铁制品上刻蚀字样,或在铜板上制造印刷电路。FeCl3溶液也叫做烂板剂。

 在酸性溶液中,Fe2+有一定的还原性(显然Fe2+的还原性比Fe(OH)2) (点击图片实验演示)。例如:空气中的氧能把Fe2+氧化为Fe3+

                  4Fe2+ + O2 + 4H+  4Fe3+ + 2H2O                    

  所以保存 Fe2+溶液时,应加入Fe

配合反应

 氨配合物  

Fe2+,Fe3+NH3不形成配合物:

            

    Co2+Ni2+的溶液中加入氨水,先生成碱式盐沉淀,当氨水过量时,形成氨配合物。

[Co(NH3)6]2+具有较强的还原性 ,易被空气中的氧氧化为[Co(NH3)6]3+:

 硫氰配合物

 鉴定Fe3+ 

鉴定Co2+

 在鉴定Co2+的实验中,用固体的KSCNNH4SCN引入SCN-根。

     氰的配合物

          

对应的盐类有:六氰合铁( )酸钾:K4[Fe(CN)6]俗称黄血盐,呈黄色。

六氰合铁()酸钾:K3[Fe(CN)6]俗称赤血盐,晶体呈红色。

, 在碱性条件下都不稳定,分解为相应的氢氧化物:

有关离子的鉴定

 铁离子的鉴定      

Fe2+的鉴定:在酸性条件下加入K3[Fe(CN)6]溶液 

Fe3+的鉴定:除了可用KSCN外,还可用 K4[Fe(CN)6]

        实验已证明,Prussian蓝和Turnbull's蓝的组成都是[KFe(CN)6Fe]x

 Cu2+的鉴定:在弱酸性条件下,用K4[Fe(CN)6]溶液。

 2Cu2+ + [Fe(CN)6]4-  Cu2[Fe(CN)6](s,红棕色)

  S2-的鉴定:利用[Fe(CN)6]4-与硝酸作用后生成的[Fe(CN)5NO]2-鉴定S2-的存在:

 K+的鉴定:把Na3[Co(NO2)6]溶液加到含有 K+的溶液中,则析出难溶于水的黄色晶体K2Na[Co(NO2)6]                                      

 Ni2+的鉴定:在弱碱性条件下加入丁二肟生成难溶于水的鲜红色螯合物沉淀二丁二肟合镍( ) 

二丁二肟合镍简写作: Ni(DMG)2

重要反应小结

形状

中度可信度描述已自动生成


第十  过渡元素()

 

本章我们主要了解铜族元素的通性。了解铜的氧化物、氢化物、重要铜盐的性质,Cu()Cu()的相互转化,铜的配合物 熟悉银的氧化物、氢氧化物的性质,银的重要配合物。了解锌族元素的通性。掌握氢氧化锌的性质、水溶液中Zn2+的重要反应、锌的重要配合物。熟悉锌、镉、汞的氧化物,镉、汞的氢氧化物的性质,Hg()Hg()间的相互转化,镉、汞的配合物。 

§14.1 铜族元素

14.1.1 铜族元素简介   

周期系第ⅠB元素,包括铜(Cu)、银(Ag)、金(Au)3种元素,通常称为铜族元素。价电子构型为(n-1)d10ns1

在自然界中,铜族元素除了以矿物形式存在外,还以单质形式存在。常见的矿物有辉铜矿(Cu2S)、孔雀石[Cu2(OH)2CO4]、辉银矿(Ag2S)、碲金矿(AuTe2)等。

14.1.2 铜族元素的单质

1.物理性质

 铜、银、金都有特征颜色:Cu(紫红)Ag()Au()

 铜、银、金的熔沸点不太高。

 它们的导电性、导热性、延展性特别突出。它们的导电性顺序为:AgCuAu。由于铜的价格较低,所以,铜在电器工业上得到了广泛的应用。

⒉化学性质

铜、银、金的化学活泼性较差,在室温下看不出它们与氧或水作用。在含有CO2的潮湿空气中,铜的表面会逐渐蒙上绿色的铜锈(铜绿碳酸羟铜Cu2(OH)2CO3)

2Cu + O2 + H2O + CO2  Cu2(OH)2CO3                                                                                

        在加热条件下,铜与氧化合成CuO,而银、金不发生变化。此所谓真金不怕火炼   

注意:当沉淀剂或配合剂存在时,铜、银、金也可与氧发生作用:

          

14.1.3 铜族元素的化合物

⒈铜的化合物

铜的常见化合物的氧化值为+1+2Cu()d10构型,没有d—d跃迁,Cu()的化合物一般是白色或无色的。Cu()d9构型,它们的化合物中常因Cu2+发生d—d跃迁而呈现颜色。

  一般说来,在高温、固态时,Cu()的化合物比Cu()的化合物稳定,例如:

               

在水溶液中,Cu()易被氧化为Cu(),水溶液中Cu()的化合物较稳定。

 Cu()的化合物都难溶于水,常见的Cu()化合物在水中的溶解度顺序为:

                       CuClCuBrCuICuSCNCuCNCu2S

Cu()的化合物易溶于水的较多。

常见的五水硫酸铜(CuSO4·5H2O)俗称胆矾,晶体呈蓝色,完全脱水后变为白色粉末CuSO4

  

无水CuSO4易吸水,吸水后呈蓝色,常被用来鉴定液态有机物中的微量水。工业上常用硫酸铜作为电解铜的原料。在农业上,用它与石灰乳的混合液来消灭果树上的害虫。

⒉银、金的化合物

在银的化合物中,Ag()的化合物最稳定,而金则以Au()的化合物较为常见,但在水溶液中多以配合物形式存在。

银的化合物具有以下特点:

难溶的多。

易溶:AgNO3, AgF, AgClO4

难溶:AgCl, AgBr, AgI, AgCN, AgSCN, Ag2S, Ag2CO3, Ag2CrO4等。

热稳定性差(见光,受热易分解)

                

有颜色。

         AgCl        AgBr         AgI         Ag2O       Ag2CrO4       Ag2S

                    浅黄                              砖红       

14.1.4 水溶液中铜族元素的离子及其反应

Cu()Cu()离子的反应

[Cu(H2O)6]2+呈蓝色,水解程度小。

             

      OH-(适量)                  OH-(过量)

Cu2+  Cu (OH)2(浅蓝) Cu (OH)4

 

 

 

 

                                      80~90

CuO

     与葡萄糖在加热条件下反应,有暗红色的Cu2O沉淀析出:

          

这一反应在有机化学中用来检验某些糖的存在。

[Cu(H2O)6]+是无色的,水溶液中很不稳定,容易歧化为Cu2+Cu

              

       例如:        Cu2O + H2SO4  CuSO4 + Cu + H2O

所以在水溶液中Cu()Cu()稳定。

有配合剂、沉淀剂存在时,Cu()的稳定性提高。

                     Cu2O + 2HCl  2CuCl(s) + H2O

                   Cu2+ + 4Cl- + Cu  2[CuCl2]-(泥黄素)

所以,常利用CuSO4CuCl2溶液与浓盐酸和铜屑混合,在加热条件下制取[CuCl2]-溶液。

Cu2+具有一定的氧化性:

              

思考:如何鉴定溶液中是否存在Cu2+

Cu()的配合物多位2配位的,其稳定性顺序为:

          

Cu()的配合物多位4配位的,例如:

             

              

CuSO4·5H2O也是配合物,即[Cu(H2O)4]SO4·H2O

Ag()离子的反应

一般认为水合银离子的化学式是[Ag(H2O)4]+,它在水中几乎不水解。AgNO3的水溶液呈中性。在Ag+中加入NaOH溶液,因为AgOH极不稳定,析出的沉淀是Ag2O

                            2Ag+ + 2OH-  Ag2O(s) + H2O

Ag()的许多化合物都是难溶于水的,在Ag+的溶液中加入配位剂时,常常先的生成难溶化合物,当配位剂过量时,难溶化合物溶解生成配离子。例如:

                   

含有[Ag(NH3)2]+的溶液能把醛或某些糖氧化,本身被还原为单质银。

                  2[Ag(NH3)2]+ + HCHO + 3OH-  2Ag(s) + HCOO- + 4NH3 + 2H2O

这类反应也叫做银镜反应,工业上利用这类反应来制作镜子或在暖水瓶的夹层内镀银。

又如:Ag+ 反应都生成Ag2CrO4,Ag2CrO4可溶于足量的氨水中:

                

该性质用于Ba2+Ag+的分离。(请注意如何具体操作?)

Ag+与少量Na2S2O3溶液反应生成Ag2S2O3白色沉淀,放置一段时间之后,沉淀由白色转变为黄色、棕色最后为黑色Ag2S

                  

Na2S2O3过量时,Ag2S2O3溶解,生成配离子[Ag(S2O3)2]3-

                      

Ag2S的溶解度很小,难以借配位反应使它溶解,一般采用HNO3的氧化性来实现Ag2S溶解:

                  

概括以上水溶液中Ag+离子的性质,可通过以下"Ag+"作简单小结:

Ag+的鉴定。

Ag+的鉴定实验中,加入HCl有白色沉淀生成仅说明可能有Ag+,必须作进一步的鉴定。即加入NH3·H2O沉淀溶解,将该溶液酸化,有白色沉淀产生或在溶液中加入KI,有黄色沉淀产生,才能证明原始溶液中确实存在Ag+。图示如下:

       

主要反应有:

 

 

 

§14.2 锌族元素

14.2.1 锌族元素简介

周期系第ⅡB元素,包括锌(Zn)、镉(Cd)、汞(Hg)3种元素,通常称为锌族元素。它们是与p区元素相邻的d区元素,具有与d区元素相似的性质,如易于形成配合物等。在某些性质上它们又与第四、五、六周期的p区金属元素有些相似,如熔点低,水合离子都无色等。锌族元素一般以矿物形式存在,例如闪锌矿(ZnS)、砂(HgS)等。

14.2.2 锌族元素的单质

 1.物理性质

锌、镉、汞都是银白色金属(锌略带蓝色)

它们都是低熔点金属,特别是汞,它是室温下唯一的液态金属。

易形成合金,例如黄铜Cu—Zn;汞齐Na—HgAu—HgAg—Hg

0℃~200℃之间,汞的膨胀系数随着温度升高而均匀地改变,并且不润湿玻璃,在制造温度计时常利用汞的这一性质。另外也用汞填充在气压计中。钠汞齐在有机合成中用作温和的还原剂,金汞齐、银汞齐用于提纯贵金属。

⒉化学性质

与氧的作用。

             锌、镉、汞在干燥的空气中都是稳定的。在有CO2存在的潮湿空气中,锌的表面常生成一层碱式碳酸盐的薄膜,保护锌不被继续氧化。

                       4Zn + 2O2 + CO2 + 3H2  ZnCO3·3Zn(OH)2(碱式碳酸锌)

在空气中加热锌、镉、汞都能形成相应的氧化物。

           

与硫等非金属的作用。

锌、镉、汞均能与硫粉作用,生成相应的硫化物。特别是汞,在室温下就可以与硫粉作用,生成HgS。所以可以把硫粉撒在有汞的地方,防止有毒的汞蒸气进入空气中。若空气中已有汞蒸气,可以把碘升华为气体,使汞蒸气与碘蒸气相遇,生成HgI2,以出去空气中的贡蒸气。

   与酸反应。

锌、镉能从稀酸中置换出氢气。汞能与硝酸反应而溶解。

            

锌与OH-,NH3反应。

锌可以从碱溶液中置换出氢气。

                 

14.2.3 锌族元素的化合物

锌、镉、汞的价电子构型为(n-1)d10ns2。所以锌和汞通常形成氧化值为+2的化合物,汞除了形成氧化值为+2的化合物外,还有氧化值为+1( )的化合物。锌和镉的化合物具有大多数无机盐的一般通性,此处就重点讨论汞的化合物。

   汞的卤化物。

氯化汞(HgCl2也称升汞),是直线型共价分子,易升华,微溶于水,在水溶液中主要以分子形式存在,剧毒。

氯化亚汞(Hg2Cl2也称甘汞),也是直线型分子(Cl—Hg—Hg—Cl),有甜味,难溶于水,无毒。

HgBr2HgI2HgCl2,但HgF2为离子型化合物。

  汞的硝酸盐。

硝酸汞Hg(NO3)2和硝酸亚汞Hg2(NO3)2是离子型化合物,易溶于水。Hg(NO3)2可用HgOHg硝酸作用制取:                      

  HgO + 2HNO3  Hg(NO3)2 + H2O

                           Hg + 4HNO3()  Hg(NO3)2 + 2NO2 + 2H2O

硝酸汞Hg(NO3)2Hg作用可制取Hg2(NO3)2

                        Hg(NO3)2 + Hg  Hg2(NO3)2

由电势图分析:

                     

不发生歧化。

14.2.4 水溶液中锌族元素的离子及其性质

1.Zn2+,Cd2+离子的反应

 水解反应:

[Zn(H2O)6]2+[Cd(H2O)6]2+的水解趋势都较弱:

                   

  沉淀反应:

Zn2+,Cd2+的溶液中加入强碱,都生成氢氧化物,但Zn(OH)2是两性,而Cd(OH)2是碱性的。

Zn2+,Cd2+的溶液中分别通入H2S时,都会有硫化物从溶液中沉淀出来:

                     Zn2+ + H2S  ZnS(s,白色) + 2H+

                      Cd2+ + H2S  CdS(s,黄色) + 2H+

注意:Zn2+只有在氨碱性条件下才能沉淀完全。CdS的黄色可作为鉴定Cd2+的特征颜色。

ZnSO4溶液中加入BaS时,生成ZnSBaSO4的混合沉淀物:

                      

此沉淀叫做锌钡白,俗称立德粉,是一种较好的白色颜料,没有毒性,在空气中比较稳定。

Zn2+,Cd2+的溶液中分别加入NH3·H2O,均生成氢氧化物沉淀,当NH3·H2O过量后生成氨的配物:

在水溶液中,Zn2+Cd2+与同种配体形成的两种配合物相比,一般说来后者较稳定。

 Zn2+的鉴定      

   在碱性条件下,Zn2+与二苯硫腙反应,生成粉红色的内配盐沉淀:

                 

 

此内配盐能溶于CCl4中,呈棕色。实验现象为:绿色的二苯硫腙四氯化碳溶液与Zn2+反应后充分振荡,静置,上层为粉红色,下层为棕色。 

Hg(),Hg()离子的反应  

 水解反应  

Hg(NO3)2Hg2(NO3)2的酸性溶液中,分别有无色的[Hg(H2O)6]2+[Hg2(H2O)x]2+存在,它们按下式水解:

                  

增大溶液的酸性可抑制它们的水解。

沉淀反应。在Hg2+ 的溶液中加入强碱时,分别生成黄色HgO和棕色Hg2O沉淀

                    

         Hg2O很快分解为HgOHg            

 Hg2O  HgO + Hg

思考:到目前为止,我们学过哪些阳离子与碱作用后生成氧化物而不生成氢氧化物。为什么?

Hg2+ 的溶液中分别加入适量的Br-,I-, ,CN-S2-时,分别生成难溶于水的汞盐和亚汞盐。但许多难溶于水的亚汞盐见光受热容易歧化为相应的汞盐和单质汞(Hg2Cl2)。例如:汞盐可溶于过量的阳离子溶液形成配合物。

                   

HgI2可溶于过量的KI溶液中:     

           

HgCl2溶液中通入H2S时,会析出HgS沉淀:例如:汞盐可溶于过量的阳离子溶液形成配合物。

HgS难溶于盐酸或硝酸中,但能溶于过量的浓的Na2S溶液中:

                       

实验室常用王水来溶解HgS

                   

Hg(),Hg()NH3·H2O反应先生成NH2HgCl白色沉淀,当有过量的NH4Cl存在时才与NH3形成配合物:                     

                     HgCl2 + 2NH3  NH2HgCl(s) + NH4Cl

                     Hg2Cl2 + 2NH3  NH2Hg2Cl(s) + NH4Cl

                     NH2Hg2Cl  NH2HgCl + Hg

                     NH2HgCl + 2NH3 + NH4Cl  [Hg(NH3)4]Cl2

Hg2+的鉴定。

利用Sn2+的还原性,鉴定Hg2+的存在。

                

溶液由白黑灰黑色。利用该原理,也可用HgCl2鉴定Sn2+

思考:利用图示法总结锌、镉、汞的重要性质