2024-2025 学年第学期

 

 

 

 

课程名称:    人工智能技术

课程性质:    专业课

授课学时:    32学时

授课对象:    机器人22

任课教师:    胡建文

 

 

 

 

长沙理工大学电气学院

2024.8


全课程教案

 

一、基本信息

课程名称

人工智能技术

课程编号

0808000014

课程性质

专业课

学分

2

教学安排

总学时32。其中讲授26学时,实验6学时,上机 0学时,实训 0学时

授课时间:第 1 周至第 17

周学时

2

相关课程与环节

高等数学、Python程序设计、毕业设计、机器视觉

 

二、授课对象

基本情况

专业

机器人工程

年级

2022

班级

1

修读人数

42

授课对象分析

本教学班主要为机器人工程专业学生22级,先修课程:Python程序设计等,有较好的基础知识。

 

三、教学内容与安排

课程简介与要求

《人工智能技术》是机器人工程专业的专业课程。该课程是关于人工智能领域的引导性课程,介绍人工智能的基本理论、方法和技术,以及传统行业 AI 化改造的解决方案。目的是使学生了解和掌握人工智能的基本概念和前沿算法和算法,为今后的更高级课程的学习及将来在人工智能领域的进一步研究工作和软件实践奠定良好的基础。通过本课程的学习,使学生掌握人工智能的基本思想和实现方法,掌握基本分析与设计方法,为人工智能在各领域的应用奠定基础,拓宽知识广度。

课程目标

课程目标

支撑毕业要求指标点

与课程关联度

1.了解人工智能的基本定义、发展历程及发展趋势,认识到人工智能是持续发展的过程,需要自主学习和终身学习。

12.1能在社会发展的大背景下,认识到自主学习和终身学习的必要性。

L

2.掌握机器学习的一般流程,熟悉监督学习、无监督学习和弱监督学习的区别熟悉人工智能计算机视觉领域的主流技术发展方向和产品解决方案,能够选择和设计合适的方案。

3.2 认知复杂机器人系统或装置设计有多种方案可供选择,能够通过文献研究、对比分析寻求优秀的解决方案。

H

2.掌握知识图谱、语音识别、自然语言处理等人工智能领域常用技术原理和应用场景,熟悉人工智能相关技术在自动驾驶、商业智能、智慧医疗、智能制造等行业的具体落地应用,了解行业解决方案和技术需求

9.2具有在多学科背景中发挥作用的能力,能与其他学科的成员有效沟通,并发挥自己的学科优势。

L

课程思政

思政目标1帮助学生立正确的人生观、价值观和自我认同感培养学生为国家富强、民族昌盛而奋斗的志向和社会责任感;

思政目标2培养学生的辩证思维批判质疑、勇于探究的科学精神培养学生勇攀科技高峰的科研精神和精益求精的工匠精神;

思政目标3培养学生合作沟通,责任担当和实践创新意识

教学方法

采用多媒体教学,课堂讲授结合课堂提问、课堂讨论、案例教学及网络课程等多种方式共同实施。结合学生个性特点,结合应用实例讲解,处理好理论分析、实际应用、学术前沿之间的关系。本课程的课堂教学将充分利用多媒体技术制作丰富的教学课件和辅导材料,调动学习积极性,提高教学效率。

教学重点

与难点

重点:

1机器学习的基本流程、工作原理。

2计算机视觉基本原理,计算机视觉技术实现及应用

3语音识别基本原理、技术实现及应用场景

4自然语言处理基本原理、技术实现

5知识图谱技术发展、基本原理及应用

6人工智能在交通、金融、制造和医疗行业的解决方案

 

难点:

1弱人工智和强人工智能,人工智能发展的道德规范与风险。

2机器学习的基本流程,机器学习模型的工作原理,机器学习各种方法

3计算机视觉技术实现及应用

4语音识别技术实现及应用场景

5知识图谱基本原理及应用

 

课程各教学环节内容与安排

知识单元

知识点

课内学时

教学方式

作业/测验

课外学习

人工智能概述

人工智能简介产业框架体系人工智能核心技术意义及挑战

2

课堂讲授

 

 

机器学习

机器学习基本流程、线性模型、支持向量机、贝叶斯分类器、决策树

10

课堂讲授、习题练习、实验

6

10

课后复习、完成作业

计算机视觉及应用

计算机视觉技术、基于深度学习的图像识别

12

课堂讲授、习题练习、实验

8

10

课后复习、完成作业

语音识别及应用

语音识别、语音合成

2

课堂讲授、习题练习

2

2

课后复习、完成作业

自然语言处理

自然语言处理、应用场景

2

课堂讲授、习题练习

2

2

课后复习、完成作业

知识图谱及应用

知识图谱简介、应用、展望

2

课堂讲授、习题练习

2

2

课后复习、完成作业

人工智能行业解决方案

智慧交通、智能制造、智慧医疗、智慧金融

2

课堂讲授、习题练习

2

2

课后复习、完成作业

注:课程目标、教学方法、重难点、教学环节(知识单元、知识点等)等内容应与教学大纲、教学日历一致。课外学习可包括学时和内容要求。

 

 

四、考核方式

考核项目

考核内容

考核方式

分值或占比

期末大作业

机器学习、计算机视觉、语音识别、自然语言处理、知识图谱

60

小测验、小作业

各知识模块、课后习题

随堂测试

10

课堂表现

出勤率和课堂参与度

考勤、课堂讨论、课堂展示等

10

实验

机器学习、计算机视觉

实验

20

注:考核方式应符合课程教学大纲的要求。

 

五、教学资源

推荐教材

[1] 人工智能,姚期智,清华大学出版社,2022.

参考材料

[1] 姜春茂人工智能导论[M],清华大学出版社,2021.

[2] 吴飞人工智能导论:模型与算法[M],高等教育出版社,2020.

[3] 黄同愿,郑小洋,刘瑞· 著,肖汉光,王勇 编人工智能概论[M],清华大学出版社,2020.

 

课程资源

1. 人工智能概论》中国大学MOOC

https://www.icourse163.org/course/BUU-1461546165

2. 人工智能》中国大学MOOC

https://www.icourse163.org/course/preview/WHU-1207037803/?tid=1207394201

3. 学校网络教学平台

 

教材分析与处理

根据课程目标选用人工智能,姚期智,清华大学出版社,2022..考虑到人工智能的的快速发展,选用的教材较新。吴飞人工智能导论:模型与算法,作为参考资料。并根据人工智能的发展和实际应用,对机器学习和计算机视觉进行较为深入的介绍,补充相关案例

 

 


分课时教案

知识单元名称

人工智能概述

课次

1

授课类型

理论课讨论课实验课习题课其他

学时

2

课程目标与要求

解人工智能的定义、起源和发展

掌握人工智能产业链框架体系

掌握人工智能的核心技术体系

理解我国大力发展人工智能的战略意义

了解人工智能产业发展以及在各行各业的应用

本单元重点

与难点内容

重点: 人工智能定义、发展、核心技术

难点: 人工智能核心技术

教学内容

人工智能,是模拟实现人的抽象思维和智能行为的技术,即通过利用计算机软件模拟人类特有的大脑抽象思维能力和智能行为,如学习、思考、判断、推理等,以完成原本需要人的智力才可胜任的工作。

人工智能发展的三次热潮   1)第一次热潮:图灵测试   2)第二次热潮:语音识别   3)第三次热潮:深度学习

国务院关于印发 新一代人工智能发展规划的通知
国发〔201735
各省、自治区、直辖市人民政府,国务院各部委、各直属机构: 现将《新一代人工智能发展规划》印发给你们,请认真贯彻执行。  国务院        
201778

课程思政

通过人工智能的各种实际应用,激发学生的学习热情;通过人工智能的国家政策介绍,例如国务院的人工智能发展规划、十四五和远景规划,引导学生关注国家大事;通过对比各国人工智能技术的进展,激发学生的报国热情。

教学过程设计:

教学方法及手段、课堂互动题设置、教学改革措施等

课堂教学:ppt与板书结合,应用举例

作业与

思考题设置

 

学习效果、学生反馈、反思改进措施等

 

备注

 

 

分课时教案

知识单元名称

机器学习简介、机器学习进阶

课次

2

授课类型

理论课讨论课实验课习题课其他

学时

2

课程目标与要求

了解机器学习的发展历史
了解机器学习的应用领域

掌握机器学习的基本术语和概念

掌握机器学习的基本流程

本单元重点

与难点内容

重点: 机器学习的基本术语、基本流程

难点: 机器学习流程的原理

教学内容

机器学习(Machine Learning, ML)是人工智能的一个分支。机器学习是用数据或以往的经验,以此优化计算机程序的性能标准设计和分析一些让计算机可以自动学习的算法,它从数据中自动分析获得规律,并利用规律对未知数据进行预测的算法

机器学习的发展史

数据集(DataSet):数据是机器学习的原材料,是机器学习产生智能的源泉。由多数量样本组成的数据,我们称之为数据集

模型(Model):能够做出思考和判断的生理结构称之为模型,模型的构建是机器学习非常重要的一部分。

训练(Training):让建立好的模型学习大量数据的过程称之为模型训练,而用于训练的那部分数据集,称之为训练集

预测(Prediction):在训练过程中,预测结果会对模型起到评价作用,使用预测结果与实际结果的差距来调整模型的参数来改善模型。

测试(Test):同训练集一样,一组用于测试的大量数据构成的数据集,称之为测试集

课程思政

通过机器学习的发展史,支持向量机和深度神经网络等重要成果的发明过程,引导学生要能够沉下心做事和科研,引导学生科研报国

教学过程设计:

教学方法及手段、课堂互动题设置、教学改革措施等

课堂教学:ppt与板书结合,应用举例

作业与

思考题设置

调研机器学习的成功案例

学习效果、学生反馈、反思改进措施等

 

备注

 

 


分课时教案

知识单元名称

线性模型

课次

3

授课类型

理论课讨论课实验课习题课其他

学时

2

课程目标与要求

掌握线性模型的原理,能够利用线性模型做简单应用

本单元重点

与难点内容

重点: 线性模型的原理

难点: 线性模型的实际应用

教学内容

线性模型(Linear Model)蕴涵了机器学习中一些重要的基本思想,线性模型形式简单、易于建模,具有很好的解释性。

梯度下降(Gradient Descent GD)简单来说就是一种寻找目标函数最小化的方法,它利用梯度信息,通过不断迭代调整参数来寻找合适的目标值。

过拟合:是指我们在训练集上的误差较小,但在测试集上的误差较大; 

欠拟合:在训练集上的效果就很差。

泰坦尼克号生存预测——逻辑回归

 

使用Sigmoid函数将线性回归线转为逻辑回归线。Sigmoid函数为:

课程思政

通过线性模型的泰坦尼克号事例,跟同学们强调,需要提高安全意识;通过过拟合、欠拟合,引导学生不要盲目追求复杂系统。

教学过程设计:

教学方法及手段、课堂互动题设置、教学改革措施等

课堂教学:ppt与板书结合,应用举例

作业与

思考题设置

思考线性模型的缺点

学习效果、学生反馈、反思改进措施等

 

备注

 

 


分课时教案

知识单元名称

支持向量机

课次

4

授课类型

理论课讨论课实验课习题课其他

学时

2

课程目标与要求

掌握支持向量机的原理

本单元重点

与难点内容

重点: 支持向量机的基本思想和原理

难点: 支持向量机的优化过程

教学内容

支持向量机(Support Vector Machine, SVM)是一类按监督学习(supervised learning)方式对数据进行二元分类的广义线性分类器(generalized linear classifier),其决策边界是对学习样本求解的最大边距超平面(maximum-margin hyperplane

-Q:若不存在一个能正确划分两类样本的超平面, 怎么办?

A:将样本从原始空间映射到一个更高维的特征空间, 使得样本在这个特征空间内线性可分.

 

-Q:现实中, 很难确定合适的核函数使得训练样本在特征空间中线性可分; 同时一个线性可分的结果也很难断定是否是有过拟合造成的.

-A:引入软间隔的概念, 允许支持向量机在一些样本上不满足约束.

课程思政

通过梯度下降的迭代优化过程学习率参数的设置,培养学生脚踏实地、一步一个脚印、精益求精的精神

教学过程设计:

教学方法及手段、课堂互动题设置、教学改革措施等

课堂教学:ppt与板书结合,应用举例

作业与

思考题设置

复习支持向量机的原理和基本思想

学习效果、学生反馈、反思改进措施等

 

备注

 

 


分课时教案

知识单元名称

贝叶斯分类器和决策树

课次

5

授课类型

理论课讨论课实验课习题课其他

学时

2

课程目标与要求

掌握贝叶斯分类器和决策树的原理

本单元重点

与难点内容

重点: 贝叶斯分类器和决策树的基本原理

难点: 先验、后验概率、贝叶斯之间的关系,决策树中对缺失值、连续量等的处理

教学内容

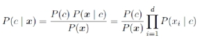
贝叶斯分类器是各种分类器中分类错误概率最小或者在预先给定代价的情况下平均风险最小的分类器。它的设计方法是一种最基本的统计分类方法。其分类原理是通过某对象的先验概率,利用贝叶斯公式计算出其后验概率,即该对象属于某一类的概率,选择具有最大后验概率的类作为该对象所属的类。

朴素贝叶斯分类器是一系列以假设特征之间强(朴素)独立下运用贝叶斯定理为基础的简单概率分类器。该分类器模型会给问题实例分配用特征值表示的类标签,类标签取自有限集合。它不是训练这种分类器的单一算法,而是一系列基于相同原理的算法:所有朴素贝叶斯分类器都假定样本每个特征与其他特征都不相关。

ws_407E.tmp

决策树(decision tree)模型常常用来解决分类和回归问题。常见的算法包括 CART (Classification And Regression Tree)ID3C4.5等。

图4.2

3种度量结点纯度的指标:

信息增益 ID3

增益率 C4.5

基尼指数 CART 

 

决策树剪枝 预剪枝 后剪枝

课程思政

通过过拟合、欠拟合、剪枝等,引导学生要学会适合自己的才是最好的,树立良好的人生观、价值观、世界观

教学过程设计:

教学方法及手段、课堂互动题设置、教学改革措施等

课堂教学:ppt与板书结合,应用举例

作业与

思考题设置

 

学习效果、学生反馈、反思改进措施等

 

备注

 

 


分课时教案

知识单元名称

计算机视觉基础

课次

6

授课类型

理论课讨论课实验课习题课其他

学时

2

课程目标与要求

了解计算机视觉的定义及基本原理

理解图像的特征及图像分类的技术原理

了解计算机视觉的应用

本单元重点

与难点内容

重点: 计算机视觉的基本原理图像的特征及图像分类的技术原理

难点: 图像的特征

教学内容

计算机视觉是一门研究如何使机器的科学,更进一步的说,就是指用摄影机和计算机代替人眼对目标进行分类、识别、跟踪和测量、空间重建等机器视觉,并进一步做图像处理,用计算机出来成为更适合人眼观测或传送给仪器检测的图像。

图像表示是图像信息在计算机中的表示和存储方式。图像表示和图像运算一起组成图像模型,是模式分析中的重要组成部分。计算机和数码相机等数码设备中的图像都是数字图像,在拍摄照片或者扫描文件时输入的是连续模拟信号,需要经过采样和量化,将输入的模拟信号转化为最终的数字信号。

图像分类是指根据各自在图像信息中所反映的不同特征,把不同类别的目标区分开来的图像处理方法。它利用计算机对图像进行定量分析,把图像或图像中的每个像元或区域划归为若干个类别中的某一种,以代替人的视觉判读。

 

课程思政

要让计算机具有人的智能,首先要解决的就是的问题。人工智能技术近年来渐渐进入千家万户,跟人们的日常生活产生了息息相关的联系,。计算机视觉技术有广泛的市场需求,也是当前全球科技竞争中竞争最激烈的战场之一,我国正加大投入抢占人工智能战场的至高点,抓住新一轮科技革命和产业变革机遇。激励学生的大国工匠精神,以及潜心科研的精神

教学过程设计:

教学方法及手段、课堂互动题设置、教学改革措施等

课堂教学:ppt与板书结合,应用举例

作业与

思考题设置

思考计算机视觉的难点是什么

学习效果、学生反馈、反思改进措施等

 

备注

 

 


分课时教案

知识单元名称

计算机视觉技术

课次

7

授课类型

理论课讨论课实验课习题课其他

学时

2

课程目标与要求

掌握计算机视觉特征提取方法

本单元重点

与难点内容

重点: 特征提取原理

难点: 特征提取原理

教学内容

特征是在分类器乃至于所有人工智能系统中非常重要的概念,对同样的事物,我们可以提取出各种各样的特征,我们需要根据物体和数据本身具有的特点,考虑不同类别之间的差异,并在此基础上设计出有效的特征。特征的质量很大程度上决定了分类器最终分类的好坏。

图像特征是指图像的原始特性或属性,主要有图像的颜色特征、纹理特征、形状特征和空间关系特征。颜色特征是一种全局特征,描述了图像或图像区域所对应的景物的表面性质;纹理特征也是一种全局特征,它也描述了图像或图像区域所对应景物的表面性质;形状特征有两类表示方法,一类是轮廓特征,另一类是区域特征,图像的轮廓特征主要针对物体的外边界,而图像的区域特征则关系到整个形状区域;空间关系特征,是指图像中分割出来的多个目标之间的相互的空间位置或相对方向关系,这些关系也可分为连接/邻接关系、交叠/重叠关系和包含/包容关系等。

通过对图像的特征分析,计算机就可以识别物体,对物体分类或者对物体是否符合标准进行判别实现质量监控等,也就是所谓的图像的特征提取。 常用的特征提取方法有:傅里叶(Fourier)变换法、窗口傅里叶(Fourier)变换、小波变换法、最小二乘法、边界方向直方图法、基于Tamura纹理特征的纹理特征提取等。

方向梯度直方图(HOG)是一种经典的图像特征,在物体识别和物体检测中有较好的应用。方向梯度直方图使用边缘检测技术和一些统计学方法,可以表示出图像中物体的轮廓。由于不同的物体轮廓有所不同,因此我们可以利用方向梯度直方图特征区分图像中不同的物体。 方向梯度直方图的原理就是利用卷积运算,从图像中提取一些边缘特征,然后通过划分,将这些特征划分为若干区域,并对边缘特征按照方向和幅度进行统计,形成直方图,最后我们将所有区域内的直方图拼接起来,即形成了特征向量。

 

课程思政

通过典型图像特征的原理和发展过程的介绍,激励学生的大国工匠精神,以及潜心科研的精神

教学过程设计:

教学方法及手段、课堂互动题设置、教学改革措施等

课堂教学:ppt与板书结合,应用举例

作业与

思考题设置

思考传统特征域深度特征的本质差异

学习效果、学生反馈、反思改进措施等

 

备注

 

 


分课时教案

知识单元名称

基于深度学习的图像识别

课次

8

授课类型

理论课讨论课实验课习题课其他

学时

2

课程目标与要求

掌握深度学习的基本原理

本单元重点

与难点内容

重点: 深度卷积神经网络的原理

难点: 深度神经网络优化

教学内容

深度学习(Deep Learning, DL)是机器学习的分支,是一种试图使用包含复杂结构或由多重非线性变换构成的多个处理层对数据进行高层抽象的算法

 

卷积运算在图像处理以及其他许多领域有着广泛的应用,卷积和加减乘除一样,是通  过两个函数f g 生成第三个函数的一种数学算子,是数字信号处理中常用到的运算。参与卷积运算的可以是向量,矩阵或者三阶张量。

 

Alex Net这个神经网络的主体是由五个卷积层和三个全连接层组成,五个卷积层位于网络的最前端,依次对于图像进行变换以提取特征,每个卷积层之后都有一个ReLU非线性激活层,作为激活层完成非线性变换,在第125个层之后连接有最大池化层,它的作用就是降低特征图的分辨率。那么经过五个卷积层以及相连的非线性激活层与池化层之后,特征图最终就被转换成了4096维的特征向量,在经过两次全连接层和ReLU的变换之后,成为最终的特征向量,最后再经过一个全连接层和一个softmax归一化指数层后,就得到了对于图片所属类别的预测。

课程思政

通过近几年深度卷积神经网络的快速发展,激发学生深入钻研的科研精神,以科技强大祖国

教学过程设计:

教学方法及手段、课堂互动题设置、教学改革措施等

课堂教学:ppt与板书结合,应用举例

作业与

思考题设置

思考深度学习成功的主要原因

学习效果、学生反馈、反思改进措施等

 

备注

 

 


分课时教案

知识单元名称

视频行为识别、计算机视觉应用

课次

9

授课类型

理论课讨论课实验课习题课其他

学时

2

课程目标与要求

能够利用深度学习实现基本的图像识别

本单元重点

与难点内容

重点: 典型的图像分类网络

难点: 目标检测网络

教学内容

 检测则是用来判断固定的区域中是否包含物体,并且还要判断出其中的物体是属于哪一类的。

基于深度学习的目标检测算法主要分为两类:Two StageOne Stage 

1.Two Stage  首先由算法生成一系列作为样本的候选框(Region Proposal),再通过卷积神经网络进行样本分类。  算法流程:特征提取>生成Region Proposal>分类/定位回归  Two Stage算法:R-CNN系列、SPP-Net  优点:精度高  缺点:运行慢 

2.One Stage  直接在神经网络中提取特征来预测物体分类和位置。  算法流程:特征提取>分类/定位回归  One Stage算法:YOLO系列、SSDRetinaNetSqueezeDetDetectNetOverFeat  优点:精度低  缺点:运行快

候选框生成     

1.滑动窗口  利用不同窗口大小的滑窗对输入图像进行从左至右、从上至下的扫描,对每次扫描到的当前窗口进行分类;如果当前窗口获得较高分类概率,则认为检测到了物体。这种方法会得到不同窗口检测到的物体标记,这些窗口会存在重复较高的部分,最后采用非极大值抑制来筛选最佳窗口。滑动窗口法的运行速度很慢,不适合对实时性要求高的场景。 

2. 选择性搜索  选择性搜索基于这样的思想:图像中物体可能存在的区域应该是有某些相似性或者连续性的区域。利用分割算法将输入图像分割成许多子区域,根据子区域的相似性不断进行区域合并迭代过程,每次迭代过程中对合并的区域做外切矩形,这些外切举行便是我们搜索到的候选框。  算法流程:      图像分割、生成子区域集R 计算子区域集R中每个相邻区域的相似度S合并相似度最大的两个子区域为新集,并添加至RS中移除上一步骤中相似度最高的两个子区域重复234步,直至S为空 

课程思政

根据目标检测的军事应用,引导学生要用好技术这把双刃剑,培养学生的世界观

教学过程设计:

教学方法及手段、课堂互动题设置、教学改革措施等

课堂教学:ppt与板书结合,应用举例

作业与

思考题设置

思考技术这把双刃剑

学习效果、学生反馈、反思改进措施等

 

备注

 

 


分课时教案

知识单元名称

语音识别及应用

课次

10

授课类型

理论课讨论课实验课习题课其他

学时

2

课程目标与要求

了解语音识别的发展、概念

理解语音识别的分类、基本原理

理解语音合成的基本原理

本单元重点

与难点内容

重点: 语音识别和合成的基本原理

难点: 语音识别和合成的基本原理

教学内容

语音识别(Automatic Speech RecognitionASR)是以语音为研究对象,通过语音信号处理和识别技术让机器自动识别和理解人类口述的语言后,将语音信号转变为相应的文本或命令的技术。

语音识别的最大优势是,使得人机用户界面更加自然和容易使用。

语音识别技术主要包括特征提取技术、模式匹配准则及模型训练技术三个方面。

语音识别的发展

语音识别的流程分为语音信号的产生和采集、语音信号预处理、语音信号数字化、语音信号分析、声学特征提取、语音识别等。

 声学特征的提取与选择是语音识别的一个重
要环节。

 模拟的语音信号进行采样得到波形数据之后,首先要送到特征提取模块,提取出合适的声 学特征参数,供后续声学模型训练使用。

  常用的语音特征是基于Mel频率的倒谱系数。MFCC特征是基于人耳对声音的敏感特性而提出的一种方法,叫做梅尔频率倒谱系数,通过L维(L可取值12~16)的向量来描述一帧波形,L维向量是根据耳朵的生理特征提取的,这一过程称为声学特征提取

 基元是语音合成系统所处理的最小的语音学基本单元,待合成词语的语音库就是所有合成基元的集合。

  根据基元的选择方式以及其存储形式的不同,可以将合成方式笼统地分成波形合成方法和参数合成方法。

 波形合成方法:它把人的发音波形直接存储或者进行简单波形编码后存储,组成一个合成语音库;合成时,根据待合成的信息,在语音库中取出相应单元的波形数据,拼接或编辑到一起,经过解码还原成语音。  

参数合成方法:为了减少存储空间,必须先对语音信号进行各种分析,用有限个参数表示语音信号以压缩存储容量。用有限个参数很难适应语音的细微变化。

课程思政

通过介绍国内的语音识别进展和先进技术,培养学生的民族自豪感,培养学生的大国工匠精神

教学过程设计:

教学方法及手段、课堂互动题设置、教学改革措施等

课堂教学:ppt与板书结合,应用举例

作业与

思考题设置

思考语音识别的难点

学习效果、学生反馈、反思改进措施等

 

备注

 

 


分课时教案

知识单元名称

自然语言处理

课次

11

授课类型

理论课讨论课实验课习题课其他

学时

2

课程目标与要求

了解自然语言处理的概念

理解自然语言处理的基本技术原理

掌握自然语言处理的应用场景

本单元重点

与难点内容

重点: 自然语言处理的基本技术原理

难点: 自然语言处理的原理

教学内容

自然语言处理(Natural Language ProcessingNLP)是计算机科学领域与人工智能领域中一个重要的发展方向,研究的是人与计算机之间用自然语言进行有效通信的各种理论与方法,所以这里提到的自然语言处理是一门融语言学、计算机科学、数学于一体的科学。

 通常自然语言处理会用到以下基本任务: 

1)分词:将句子分割成单词 

2)词性标注:标注每个单词的词性,比如主语、谓语、宾语、动词等等

3)命名实体识别:在文本中识别出某类词是识别句子中的实体,一般识别这个实体我们经常会用到语料库,通常用来识别人名、地名、机构名这三类实体

4)去除停止词与低频词:去掉一些诸如”“”“等词语,这些词语对于区分分档毫无帮助,不携带任何主题信息,低频词是出现次数较低的词语,比如一片采访稿的受访者名字,不能代表某一类主题。

 1. Ngram   基于统计的语言模型 估计所有单词出现的联合概率
对文本看成N元组的集合 对所有元组的出现频数进行统计,构成特征向量N=1,词袋模型

 2. 词向量:Word2VecDoc2Vec   将词向量嵌入成密集的向量,词嵌入是将词汇、短语、句子乃至篇章的表达在大规模语料进行训练,得到一个多维语义空间上的表达,使得词汇、短语、句子乃至篇章之间的语义距离可以计算。

3. 神经网络:GNNRNNLSTMTransform   

1RNN循环神经网络,擅长处理时间序列,循环神经网络可以对一个不定长的句子  进行编码,描述句子的信息。  2LSTM:使用了不同的函数去计算隐含层的状态。

3GNN:卷积神经网络,它可以进行特征提取,N-gram是采用统计的方式,而CNN是用特征提取的方式,通常我们会将词向量拼接后使用CNN,在关系提取中有很多应用都采用CNN。 对于语言模型这部分,采用语言模型预测,它是基于神经网络训练的语言模型,可以更加准确地预测下一个词或者是下一个句子的出现概率。

课程思政

通过最新的ChatGPT的介绍,激励学生科研报国,科技强国,培养爱国、敬业、奉献精神

教学过程设计:

教学方法及手段、课堂互动题设置、教学改革措施等

课堂教学:ppt与板书结合,应用举例

作业与

思考题设置

思考RNNLSTMTransformer各自的优缺点

学习效果、学生反馈、反思改进措施等

 

备注

 

 


分课时教案

知识单元名称

知识图谱及应用

课次

12

授课类型

理论课讨论课实验课习题课其他

学时

2

课程目标与要求

了解知识图谱的基本概念以及知识架构

理解知识图谱的基本原理 

了解知识图谱的表示方式及应用场景

本单元重点

与难点内容

重点: 知识图谱的基本原理

难点: 知识图谱的表示方式及应用

教学内容

知识图谱(Knowledge Graph),在图书情报界称为知识域可视化或知识领域映射图,是显示知识发展进程与结构关系的一系列各种不同的图形,用可视化技术描述知识资源及其载体,挖掘、分析、构建、绘制和显示知识及它们之间的相互联系。

知识图谱的架构包括自身的逻辑结构以及构建知识图谱所采用的技术(体系)架构。

知识图谱在逻辑上可分为模式层与数据层两个层次。

数据层主要由一系列的事实组成,而知识将以事实为单位进行存储。

用(实体1-关系-实体2)、(实体-属性-属性值)这样的三元组来表达事实,可选择图数据库作为存储介质。

模式层构建在数据层之上,是知识图谱的核心,通常采用本体库来管理知识图谱的模式层。

知识图谱在问答系统上的数据优势     

1)数据关联度-语义理解智能化程度高。 

2)数据精度-回答准确率高。 

3)数据结构化-检索效率高。

课程思政

通过知识图谱,引导学生要学习前沿知识,并将所学知识应用到祖国需要的地方

教学过程设计:

教学方法及手段、课堂互动题设置、教学改革措施等

课堂教学:ppt与板书结合,应用举例

作业与

思考题设置

梳理知识图谱的发展

学习效果、学生反馈、反思改进措施等

 

备注

 

 

 


分课时教案

知识单元名称

人工智能行业解决方案

课次

13

授课类型

理论课讨论课实验课习题课其他

学时

2

课程目标与要求

了解人工智能相关企业及产业发展现状
了解行业解决方案和技术需求 

熟悉人工智能相关技术行业的具体落地应用

本单元重点

与难点内容

重点: 人工智能综合应用

难点: 具体应用时,人工智能技术方法的选择,数据的获取

教学内容

城市公安交通指挥系统,以交通物联网感知、视频智能分析、大数据分析、云服务、移动互联 为技术手段,全面物联、充分整合,协同运作人、车、路、环境多方面资源,建设城市交通信息融 合处理中心和智能管控业务中心,强化交通信息汇集、融合、处理和服务功能,构建交通实时感知、资源充分整合、系统协同运作、信息全面服务、交通管控智能疏导的智能交通管控和服务体系。

工业3D分拣机器人,针对散乱无序堆放的工件,通过对工件3D数据扫描,获取工件数据,并进行3D建模,并对建模特征进行智能分析,以判断出工件当前的姿态位置,从而引导机械手准确抓取定位工件。

西门子成都工厂利用仿真、3D、分析等工具集成的Siemens PLM系统完成数字化制造,其整个IT 系统架构包括ERP(企业资源计划系统)、PLM(产品全生命周期管理系统)、MES(制造执行系统)、控制系统和供应链管理。其中,专门针对企业层领域,ERP PLM共建了整个系统的顶层结构,NXTeamcenterPLM的核心软件。

达芬奇机器人 达芬奇外科手术系统 (da  Vinci  Surgical  System)是一种高级机器人平台,2000年官方获批。 设计的理念是通过使用微创的方法,实施复杂的外科手术。达芬奇机器人由三部分组成:外科医生控制台、床旁机械臂系统、成像系统。

 

课程思政

重点介绍华人学者的贡献以及国内近年来流行的人工智能产品,让学生在了解科技发展史及市场需求的同时,关注国内学者的贡献,为我国当前良好的科研环境和科技进步感到自豪。

教学过程设计:

教学方法及手段、课堂互动题设置、教学改革措施等

课堂教学:ppt与板书结合,应用举例

作业与

思考题设置

针对人工智能在工业、生活中的应用,设计相应的解决方案

学习效果、学生反馈、反思改进措施等

 

备注

 

 

 


分课时教案

知识单元名称

机器学习线性模型实验

课次

14

授课类型

理论课讨论课实验课习题课其他

学时

2

课程目标与要求

掌握线性回归和逻辑回归的编程

本单元重点

与难点内容

重点: 线性回归和逻辑回归的编程

难点: 针对实际应用进行数据分析,并构建学习模型

教学内容

确定数据

观察数据的特征含义

确定哪些是有效特征

以上数据保存为csv表格文件,使用pythonpandas库读取以上数据的代码如下:

#工作年限、级别与工资数据(csv文件)

csv_data= ‘salary.csv’

#读入dataframe

df = pandas.read_csv(StringIO(csv_data)) print(df)

首先考虑年限工资两者之间的关系。假定它们符合线性模型,工资表示为y,年限表示为x,那么这个模型就可以假设为y=ax+b   

使用pythonsklearn库建立模型的代码如下:

#  建立线性回归模型

regr = linear_model.LinearRegression()

 

python中使用sklearn实现逻辑回归模型并做出预测的代码如下:

#  基于训练集使用逻辑回归建模

classifier = linear_model.LogisticRegression(random_state=0)

classifier.fit(X_train, y_train)  

#  将模型应用于测试集并查看混淆矩阵
y_pred = classifier.predict(X_test)
#  在测试集上的准确率

print('Accuracy of logistic regression classifier on test set: {:.2f}'.format(classifier.score(X_test, y_test)))

#运行后得到精度 

# Accuracy of logistic regression classifier on test set: 0.77

课程思政

通过实验结果分析,精度改进,培养学生精益求精、大国工匠精神

教学过程设计:

教学方法及手段、课堂互动题设置、教学改革措施等

实验讲解程序调试

作业与

思考题设置

课后自己将线性模型应用到生活实际中

学习效果、学生反馈、反思改进措施等

 

备注

 

 

 

分课时教案

知识单元名称

深度学习框架基础实验

15

授课类型

理论课讨论课实验课习题课其他

学时

2

课程目标与要求

掌握一种常用深度学习框架的基本编程

本单元重点

与难点内容

重点: 深度学习框架的基本编程

难点: 深度学习框架的基本编程

教学内容

在开始深度学习项目之前,选择一个合适的框架是非常重要的,因为选择一个合适的框架能起到事半功倍的作用。研究者们使用各种不同的框架来达到他们的研究目的,侧面印证出深度学习领域百花齐放。全世界最为流行的深度学习框架有PaddlePaddleTensorflowCaffeTheanoMXNetTorchPyTorch

PyTorch的前身是Torch,其底层和Torch框架一样,但是使用Python重新写了很多内容,不仅更加灵活,支持动态图,而且提供了Python接口。它是由Torch7团队开发,是一个以Python优先的深度学习框架,不仅能够实现强大的GPU加速,同时还支持动态神经网络。 20171月,由Facebook人工智能研究院(FAIR)基于Torch推出了PyTorch。它是一个基于Python的可续计算包,提供两个高级功能:1、具有强大的GPU加速的张量计算(如NumPy)。2、包含自动求导系统的深度神经网络。 20229月,扎克伯格亲自宣布,PyTorch 基金会已新鲜成立,并归入 Linux 基金会旗下。

优点

PyTorch是相当简洁且高效快速的框架    

设计追求最少的封装    

设计符合人类思维,它让用户尽可能地专注于实现自己的想法    

googleTensorflow类似,FAIR的支持足以确保PyTorch获得持续的开发更新

PyTorch作者亲自维护的论坛 供用户交流和求教问题    

 

import torch

print(torch.__version__)    #Pytorch版本

print(torch.version.cuda)   #CUDA版本

print(torch.backends.cudnn.version())   #CUDNN版本

 

import torch

#使用torch函数生成torch数据类型

print(torch.randn(2,3))

print(torch.randn(2,3).type())

 

 

a=np.random.randn(2,3)

 

#print(a)

 

tor=torch.from_numpy(a)

print(tor)

print(tor.type())

 

 

print(torch.arange(10))

 

print(torch.arange(2,10))

print(torch.arange(2,10,2))

print(torch.arange(2,10,0.5))

print(torch.arange(10).type())

print(torch.arange(2,10,0.5).type())

课程思政

通过国内深度学习框架的介绍,培养学生动手实践能力和大国工匠精神鼓励学生致力于开发自主可控的软件

教学过程设计:

教学方法及手段、课堂互动题设置、教学改革措施等

实验讲解,程序调试

作业与

思考题设置

课后对深度学习框架编程进行进一步练习

学习效果、学生反馈、反思改进措施等

 

备注

 

 


课时教案

知识单元名称

深度学习图像识别实验

课次

16

授课类型

理论课讨论课实验课习题课其他

学时

2

课程目标与要求

掌握深度学习图像识别编程

本单元重点

与难点内容

重点: 深度学习图像识别编程

难点: 深度学习图像识别编程

教学内容

深度学习算法是一种基于神经网络的机器学习方法,它可以通过多层非线性变换来对数据进行表示和分类。近年来,深度学习算法在图像识别领域取得了突破性进展,成为图像识别领域的主流技术之一。本文将详细介绍深度学习算法在图像识别领域的应用,并探讨其未来发展方向。

深度学习算法在图像分类方面表现出色。例如,谷歌公司提出的ResNet模型,通过堆叠多个卷积层和池化层来构建深层神经网络,从而提高了图像分类的准确率。此外,还有一种名为Inception模型的深度学习算法,它采用了多分支特征提取的方式,可以在保持计算效率的同时提高图像分类的准确率。

1.引入相关库

import glob

import torch

from torch.utils import data

from PIL import Image

import numpy as np

from torchvision import transforms

import matplotlib.pyplot as plt

 

2.继承Dataset实现Mydataset子类

# 通过创建data.Dataset子类Mydataset来创建输入

class Mydataset(data.Dataset):

 # init() 初始化方法,传入数据文件夹路径

 def __init__(self, root):

  self.imgs_path = root

 

 # getitem() 切片方法,根据索引下标,获得相应的图片

 def __getitem__(self, index):

  img_path = self.imgs_path[index]

 

 # len() 计算长度方法,返回整个数据文件夹下所有文件的个数

 def __len__(self):

  return len(self.imgs_path)

 

# 接下来检测一下我们的机器是否拥有GPU用于训练(使用GPU进行训练速度至少# 要快十倍哦~),然后加载一个预训练模型(在这里我们使用的是ResNet50):

# 判断是否使用GPU

DEVICE = torch.device("cuda" if torch.cuda.is_available() else "cpu")

 

model_ft = models.resnet50(pretrained=True)  # 使用迁移学习,加载预训练权

 

in_features = model_ft.fc.in_features

model_ft.fc = nn.Sequential(nn.Linear(in_features, 256),

       nn.ReLU(),

       # nn.Dropout(0, 4),

       nn.Linear(256, 4),

       nn.LogSoftmax(dim=1))

 

model_ft = model_ft.to(DEVICE)  # 将模型迁移到gpu

 

# 优化器

loss_fn = nn.CrossEntropyLoss()

loss_fn = loss_fn.to(DEVICE)  # loss_fn迁移到GPU

# Adam损失函数

optimizer = optim.Adam(model_ft.fc.parameters(), lr=0.003)

 

3训练循环迭代过程

epochs = 50  # 迭代次数

steps = 0

running_loss = 0

print_every = 10

train_losses, test_losses = [], []

 

for epoch in range(epochs):

 model_ft.train()

 # 遍历训练集数据

 for imgs, labels in brake_dataloader:

  steps += 1

  labels = torch.tensor(labels, dtype=torch.long)

  imgs, labels = imgs.to(DEVICE), labels.to(DEVICE)

  optimizer.zero_grad()  # 梯度归零

  outputs = model_ft(imgs)

  loss = loss_fn(outputs, labels)

  loss.backward()  # 反向传播计算梯度

  optimizer.step()  # 梯度优化

  running_loss += loss.item()

 

  if steps % print_every == 0:

   test_loss = 0

   accuracy = 0

   model_ft.eval()

   with torch.no_grad():

    # 遍历测试集数据

    for imgs, labels in test_dl:

     labels = torch.tensor(labels, dtype=torch.long)

     imgs, labels = imgs.to(DEVICE), labels.to(DEVICE)

     outputs = model_ft(imgs)

     loss = loss_fn(outputs, labels)

     test_loss += loss.item()

 

     ps = torch.exp(outputs)

     top_p, top_class = ps.topk(1, dim=1)

 

     equals = top_class == labels.view(*top_class.shape)

     accuracy += torch.mean(equals.type(torch.FloatTensor)).item()

 

   train_losses.append(running_loss / len(train_dl))

   test_losses.append(test_loss / len(test_dl))

 

   print(f"Epoch {epoch + 1}/{epochs}.. "

      f"Train loss: {running_loss / print_every:.3f}.. "

      f"Test loss: {test_loss / len(test_dl):.3f}.. "

      f"Test accuracy: {accuracy / len(test_dl):.3f}")

 

   running_loss = 0

   model_ft.train()

torch.save(model_ft, "aerialmodel.pth")

 

课程思政

通过ResNet等模型的改进,培养学生精益求精的精神

教学过程设计:

教学方法及手段、课堂互动题设置、教学改革措施等

实验讲解,程序调试

作业与

思考题设置

 

学习效果、学生反馈、反思改进措施等

 

备注

 

 

 

 

1