分课时教案

知识单元名称

第0章 绪论

1  常用半导体器件

1.1半导体基础知识 1.2半导体二极管

 

课次

1

授课类型

理论课☑讨论课实验课习题课其他

学时

2

课程目标与要求

课程目标1、2、4 了解本课程在专业培养中的地位和作用,清楚本课程的课程目标及与毕业要求的关联;了解我国电子技术领域的最新发展现状,树立行业发展的使命担当意识;培养自主学习、终身学习、勇于探究的精神。

要求:半导体的基本知识。PN结的形成及特点

本单元重点

与难点内容

重点: 从半导体材料的基本结构及PN结的形成入手,重点介绍PN结的单向导电工

作原理

难点: PN结的单向导电工作原理

教学内容

介绍由电子技术发展史,新闻展示:华为mate60 发布,树立行业发展的使命担当意识,建立自立自强,创新意识

绪论

一.电子信息系统 

科学研究中,先进的仪器设备;先进的数控机床、自动化生产线;

通信、广播、电视、雷达、医疗设备、新型武器、交通、电力、航空、宇航等领域;

日常生活的家用电器; 电子计算机及信息技术。

二.模拟电子技术基础课程 

1、模拟电子技术基础课程的特点

2、如何学习模拟电子技术基础课

3、电子电路仿真软件介绍

1.1 半导体基础知识

1.1.1 本征半导体

本征半导体——化学成分纯净的半导体。

本征激发在室温下,本征半导体共价键中的价电子获得足够的能量,挣脱共价键的束缚进入导带,成为自由电子,在晶体中产生电子-空穴对的现象称为本征激发电子空穴对——由热激发而产生的自由电子与空穴

本征半导体中的自由电子和空穴数总是相等的。

1.1.2 杂质半导体

在本征半导体中掺入某些微量元素作为杂质,可使半导体的导电性发生显著变化。掺入的杂质主要是三价或五价元素。掺入杂质的本征半导体称为杂质半导体。

1. N型半导体

2. P型半导体

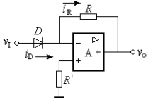
1.1.3 PN

PN结的单向导电性

当外加电压使PN结中P区的电位高于N区的电位,称为加正向电压,简称正偏;反之称为加反向电压,简称反偏。

PN结加正向电压时

正向的PN结表现为一个很小的电阻。在一定的温度条件下,由本征激发决定的少子浓度是一定的,故少子形成的漂移电流是恒定的,基本上与所加反向电压的大小无关,这个电流也称为反向饱和电流。

(2) PN结加反向电压时:

反向的PN结表现为一个很大的电阻。

PN结加正向电压时,呈现低电阻,具有较大的正向扩散电流;

PN结加反向电压时,呈现高电阻,具有很小的反向漂移电流。  

由此可以得出结论:PN结具有单向导电性。

 

 

PN结的反向击穿

PN结的反向电压增加到一定数值时,反向电流突然快速增加,此现象称为PN结的反向击穿。反向击穿分为电击穿和热击穿,电击穿包括雪崩击穿和齐纳击。PN结热击穿后电流很大,电压又很高,消耗在结上的功率很大,容易使PN结发热,PN结烧毁。

热击穿——不可逆;电击穿——可逆

课程思政

介绍由电子技术发展史,新闻展示:华为mate60 发布,树立行业发展的使命担当

意识,建立自立自强,创新意识

教学过程设计:

教学方法及手段、课堂互动题设置、教学改革措施等

介绍值得纪念的几位科学家,通过他们探索知识的过程,追求真理的历程,执着理想

信念的事迹来引导学生,教育学生;培养学生的奋斗精神和创新精神引导学生树立高

远志向,历练敢于担当、不懈奋斗的精神。引入半导体器件的学习

 

课堂教学:ppt与板书结合,应用举例,内部载流子运动的视频

作业与

思考题设置

1、查阅电子技术发展历史相关资料 2复习半导体相关基本概念;

学习效果、学生反馈、反思改进措施等

对本堂课的教学内容进行回顾,总结

备注

 

知识单元名称

1  常用半导体器件

 1.2半导体二极管

 

课次

2

授课类型

理论课☑讨论课实验课习题课其他

学时

2

课程目标与要求

课程目标1、2:了解本课程在专业培养中的地位和作用,清楚本课程的课程目标及与毕业要求的关联;了解我国电子技术领域的最新发展现状,树立行业发展的使命担当意识;培养自主学习、终身学习、勇于探究的精神。

要求:,半导体二极管的结构、特性、参数、模型。要求:半导体二极管电路的结构、二极管的正向V-I特性建模。二极管模型分析电路的应用。特殊二极管介绍。

本单元重点

与难点内容

重点: 掌握二极管的模型分析方法;掌握半导体二极管电路及电路分析。了解特殊二极管的V-I特性及其用途。

二极管的V-I特性及主要性能指标。二极管的正向V-I特性的建模及主要性能指标。

二极管模型分析电路的应用。稳压二极管和稳压电路分析。

 

难点: 二极管模型分析电路的应用。稳压二极管和稳压电路分析

教学内容

1.2  半导体二极管

1.2.1常见结构

1.2.2二极管U- I 特性1.2.3主要参数

1.2.4等效电路

应用举例

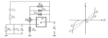
1.2.5 稳压二极管

利用二极管反向击穿特性实现稳压。稳压二极管稳压时工作在反向电击穿

状态

 

 

 

 

 

课程思政

由二极管的等效模型,引导学生建立辩证思维,学会抓住事物的本质,分析主

次矛盾

 

教学过程设计:

教学方法及手段、课堂互动题设置、教学改革措施等

二极管在生活中的应用实例,引出本次课内容

课堂教学:ppt与板书结合,应用举例,内部载流子运动的视频

作业与

思考题设置

1、查阅电子技术发展历史相关资料 2半导体相关基本概念 3、自测题3

学习效果、学生反馈、反思改进措施等

对本堂课的教学内容进行回顾,总结

备注

 

 

 

 

知识单元名称

第1章    常用半导体器件

1.3晶体三极

课次

3

授课类型

理论课☑讨论课实验课习题课其他

学时

2

课程目标与要求

课程目标1、2要求:理解半导体三极管的工作原理。了解半导体三极管放大电路的分

了解BJT的特性曲线及主要参数

本单元重点

与难点内容

重点:从半导体三极管的结构及工作原理入手,重点介绍BJT内部载流子的输运过程、电流分配关系;BJT的特性曲线掌握二极管的模型分析方法;。

难点:内部载流子的输运过程、电流分配关系

教学内容

1.3  极管

1.3.1 结构及原理

结构特点:发射区的掺杂浓度最高;集电区掺杂浓度低于发射区,且面积大;基区很薄,一般在几个微米至几十个微米,且掺杂浓度最低。

1.3.2 BJT的电流分配与放大原理

外部条件:发射结正偏,集电结反偏。

 

电流分配关系

 

 

 

 

 

 

 

 

 

1.3.3  BJT的特性曲线

1. 输入特性曲线

(1) 当        时,相当于发射结的正向伏安特性曲线。

2. 输出特性曲线

1.3.4 BJT的主要参数

1. 电流放大系数  

(1) 共发射极直流电流放大系数

(2) 共发射极交流电流放大系数

(3) 共基极直流电流放大系数

2. 极间反向电流

(1) 集电极基极间反向饱和电流

ICBO;发射极开路时,

集电结的反向饱和电流。

(2) 集电极发射极间的反向饱和电流ICEO:

即输出特性曲线IB = 0那条曲线所对应的Y坐标的数值。

ICEO也称为集电极发射极间穿透电流。

3. 极限参数

 (1)  集电极最大允许电流ICM

(2)  集电极最大允许功率损耗PCM = ICVCE

(3) 反向击穿电压

V(BR)CBO——发射极开路时的集电结反向击穿电压。

V(BR) EBO——集电极开路时发射结的反向击穿电压。

V(BR)CEO——基极开路时集电极和发射极间的击穿电压。

 

 

 

课程思政

BJT内部载流子的输运过程、电流分配关系引导学生运用抓住主要矛盾、忽略次

要矛盾的思维考虑问题培养学生的辩证思维

教学过程设计:

教学方法及手段、课堂互动题设置、教学改革措施等

播放载流子内部运动视频形象认识三极管内部电流分配关系

课堂教学:ppt与板书结合,应用举例、内部载流子运动的视频

作业与

思考题设置

1.81.9

学习效果、学生反馈、反思改进措施等

对本堂课的教学内容进行回顾,总结

备注

 

知识单元名称

第1章 常用半导体器件

课次

4

授课类型

理论课☑讨论课实验课习题课其他

学时

2

课程目标与要求

课程目标1、2要求:了解场效应管的分类掌握场效应管的特性曲线和参数理解结

型场效应管的工作原理MOS器件的结构介绍NMOS增强型场效应管的工作原理

数及特性曲线

本单元重点

与难点内容

重点:了解结型场效应管和MOS管的工作原理、特性曲线及主要参数

难点:掌握场效应管的特性曲线和参数

教学内容

1.4 场效应管

1.4.1 结型场效应管

 

 

 

 

 

 

 

 

2. 工作原理

vGS对iD的控制作用

为便于讨论,先假设漏-源极间所加的电压vDS=0。

(a) 当vGS=0时,沟道较宽,其电阻较小。

(b) 当vGS<0,且其大小增加时,在这个反偏电压的作用下,两个PN结耗尽层将加宽。由于N区掺杂浓度小于P+区,因此,随着|vGS| 的增加,耗尽层将主要向N沟道中扩展,使沟道变窄,沟道电阻增大。当|vGS| 进一步增大到一定值|VP| 时,两侧的耗尽层将在沟道中央合拢,沟道全部被夹断。由于耗尽层中没有载流子,因此这时漏-源极间的电阻将趋于无穷大,即使加上一定的电压vDS,漏极电流iD也将为零。这时的栅-源电压vGS称为夹断电压,用VP表示。在预夹断处:VGD=VGS-VDS =VP

1.4.1.2 JFET的特性曲线及参数

 

 

 

 

 

 

 

 

 

1.4.2 金属-氧化物-半导体场效应管(绝缘栅型场效应管)

N沟道增强型MOS管的工作原理

导电沟道的形成:

vGS增加时,吸引到P衬底表面层的电子就增多,当vGS达到某一数值时,这些电子在栅极附近的P衬底表面便形成一个N型薄层,且与两个N+区相连通,在漏-源极间形成N型导电沟道,其导电类型与P衬底相反,故又称为反型层。

N沟道MOS管在vGS<VT时,不能形成导电沟道,管子处于截止状态。只有当vGS≥VT时,才有沟道形成。这种必须在vGS≥VT时才能形成导电沟道的MOS管称为增强型MOS管。沟道形成以后,在漏-源极间加上正向电压vDS,就有漏极电流产生。

vDS对iD的影响

,当vGS>VT且为一确定值时,漏-源电压vDS对导电沟道及电流iD的影响与结型场效应管相似。

漏极电流iD沿沟道产生的电压降使沟道内各点与栅极间的电压不再相等,靠近源极一端的电压最大,这里沟道最厚,而漏极一端电压最小,其值为VGD=vGS-vDS,因而这里沟道最薄。但当vDS较小(vDS<vGS–VT)时,它对沟道的影响不大,这时只要vGS一定,沟道电阻几乎也是一定的,所以iD随vDS近似呈线性变化。

随着vDS的增大,靠近漏极的沟道越来越薄,当vDS增加到使VGD=vGS-vDS=VT(或vDS=vGS-VT)时,沟道在漏极一端出现预夹断,如图2(b)所示。再继续增大vDS,夹断点将向源极方向移动,如图2(c)所示。由于vDS的增加部分几乎全部降落在夹断区,故iD几乎不随vDS增大而增加,管子进入饱和区,iD几乎仅由vGS决定。

特性曲线:

输出特性曲线

转移特性曲线

 

 

 

 

 

 

 

 

 

 

 

 

 

1.4.3  主要参数

1.4.4 场效应管与三极管的性能比较

1.场效应管的源极s、栅极g、漏极d分别对应于三极管的发射极e、基极b、集电

极c,它们的作用相似。

2.场效应管是电压控制电流器件,由vGS控制iD,其放大系数gm一般较小,因此

场效应管的放大能力较差;三极管是电流控制电流器件,由iB(或iE)控制iC。

3.场效应管栅极几乎不取电流;而三极管工作时基极总要吸取一定的电流。因此场

效应管的输入电阻比三极管的输入电阻高。

4.场效应管只有多子参与导电;三极管有多子和少子两种载流子参与导电,因少子

浓度受温度、辐射等因素影响较大,所以场效应管比三极管的温度稳定性好、抗辐射

能力强。在环境条件(温度等)变化很大的情况下应选用场效应管。

5.场效应管在源极未与衬底连在一起时,源极和漏极可以互换使用,且特性变化不

大;而三极管的集电极与发射极互换使用时,其特性差异很大,b值将减小很多。

6.场效应管的噪声系数很小,在低噪声放大电路的输入级及要求信噪比较高的电路

中要选用场效应管。

7.场效应管和三极管均可组成各种放大电路和开关电路,但由于前者制造工艺简单,

且具有耗电少,热稳定性好,工作电源电压范围宽等优点,因而被广泛用于大规模和

超大规模集成电路中。

 

 

 

课程思政

理解结型场效应管的工作原理;MOS器件的结构介绍;NMOS增强型场效应管的工

作原理;参数及特性曲线。;联系实践,与双极型晶体管对比分析,提高学生分析问

题和解决问题的能力。

教学过程设计:

教学方法及手段、课堂互动题设置、教学改革措施等

课堂教学:ppt与板书结合,内部载流子运动的视频

作业与

思考题设置

查阅半导体器件制造、应用的相关资料

学习效果、学生反馈、反思改进措施等

对本堂课的教学内容进行回顾,总结

 

备注

 

 

 

 

 

 

 

知识单元名称

第2章 基本放大电路

课次

5

授课类型

理论课☑讨论课实验课习题课其他

学时

2

课程目标与要求

课程目标1、2 3

要求:熟悉放大电路的主要性能指标。理共发射极电路的组成及工作原理掌握用图解法分析放大电路的静态工作情况

本单元重点

与难点内容

重点:放大电路、放大电路模型、放大电路的主要性能指标了解共发射极电路的结

构组成和简单工作原理。用图解法分析静态工作点和动态波形。

难点:共发射极电路的组成原则;图解法分析静态工作点;共发射极电路输入、输出

信号的波形。会画微变等效电路,掌握用小信号分析法分析放大电路的动态工作情况,

能够定量计算共发射极放大电路的动态参数

难点:用小信号分析法分析放大电路的动态工作情况,定量计算共发射极放大电路的

动态参数

教学内容

 

 

2.1放大的概念和放大电路的主要性能指标

2.1.1电路的放大概念:

1. 放大的本质是能量的控制和转换

2. 放大的前提是不使放大的信号失真

2.1.2主要放大性能的指标

电路增益

输入电阻

输出电阻

3.

通频带宽

非线性失真系数

最大不失真输出电压

最大输出功率Pom与效率η

η=Pom/Pv

2.2 基本共射极放大电路的工作原理

2.2.1. 电路组成

放大电路组成原则:

 

2.2.2 设置静态工作点的必要性

提供直流电源,为电路提供能源。

电源的极性和大小应保证BJT基极与发射极之间处于正向偏置;而集电极与基极之间

处于反向偏置,从而使BJT工作在放大区。 电阻取值与电源配合,使放大管有合适

的静态点。

2.2.3工作原理

直流通路和交流通路

直流通路画法:①电容视为开路;②电感线圈视为短路;③信号源视为短路,但保留

其内阻。

交流通路:在输入信号作用下交流信号流经的通路。交流通路用于计算电路的动态性

能指标。

静态工作点设置合适能实现线性放大;静态工作点设置偏高会产生饱和失真;静态工

作点设置偏低会产生截止失真。Q点不仅影响电路是否会产生失真,而且影响着放大

电路几乎所有的动态系数。

2.3放大电路的分析方法

2.3.2 图解分析法

1. 用近似估算法求静态工作点:采用该方法,必须已知三极管的β值。

根据直流通路:硅管VBE=0.7V,锗管VBE=0.2V

 

 

 

 

 

 1)用图解分析法确定静态工作点(Q)

采用该方法分析静态工作点,必须已知三极管的输入输出特性曲线。

首先,画出直流通路;在输入特性曲线上,作出直线VBE =VCCIBRb,两线的交点即

Q点,得到IBQ 。在输出特性曲线上,作出直流负载线 VCE=VCCICRC,与IBQ

曲线的交点即为Q点,从而得到VCEQ ICQ

 

2) 动态工作情况分析

 

A.交流通路及交流负载线

B. 输入交流信号时的图解分析

通过图解分析,可得如下结论:

1

2vovi相位相反; 

3)可以测量出放大电路的电压放大倍数;

4.)可以确定最大不失真输出幅度。

3. BJT的三个工作区

饱和区特点: iC 不再随iB 的增加而线性增加,

截止区特点:iB = 0iC = ICEO

 

当工作点进入饱和区或截止区时,将产生非线性失真

(1)波形的失真

饱和失真:由于放大电路的工作点达到了三极管的饱

和区而引起的非线性失真。对于NPN管,输出电压表现为底部失真。

截止失真:由于放大电路的工作点达到了三极管的

截止区而引起的非线性失真。对于NPN管,输出电压表现为顶部失真。

(2)放大电路的动态范围

放大电路要想获得大的不失真输出幅度,要求:工作点Q要设置在输出特性曲线放大区的中

间部位,即:              ;要有合适的交流负载线。

(3)输出功率和功率三角形

放大电路向电阻性负载提供的输出功率。

在输出特性曲线上,正好是三角形DABQ的面积,这一三角形称为功率三角形。要想Po大,就要使功率三角形的面积大,即必须使Vom Iom 都要大。

例:放大电路如图所示。已知BJTß=80Rb=300KΩ, Rc=2KΩ, VCC= +12V

求:(1)放大电路的Q点。此时BJT工作在哪个区域?

2Rb=100KΩ时,放大电路的Q点。此时BJT工作在哪个区域?(忽略饱和压降)

课程思政

 如何将非线性器件简化,培养学生的辩证思维和批判质疑、勇于探究的科学精神;

教学过程设计:

教学方法及手段、课堂互动题设置、教学改革措施等

由音乐厅, 引入三极管放大电路的学习

课堂教学:ppt与板书结合,课堂练习

作业与

思考题设置

2.12.22.4

学习效果、学生反馈、反思改进措施等

对本堂课的教学内容进行回顾,总结

备注

 

 

 

知识单元名称

第2章 基本放大电路

 

课次

6

授课类型

理论课☑讨论课实验课习题课其他

学时

2

课程目标与要求

课程目标1、2 要求:要求:理解放大电路的工作点稳定问题

掌握放大器偏置电路的分析计算。

本单元重点

与难点内容

 

教学内容

2.3.3等效电路法

 

 

放大电路微变等效电路分析法的一般步骤:

1.根据直流通路估算静态工作点,并确定H参数;

2.画出放大电路的交流通路;

3.根据交流通路用BJTH参数小信号模型代替电路中的BJT,画出放大电路的小信号模型等效电路。

4.根据放大电路的小信号模型等效电路计算放大电路的交流指标      

例题讲解,练习

2.4 放大电路的静态工作点的稳定

2.4.1静态工作点稳定的必要性

1、温度对工作点的影响

 

温度T上升,则输出特性曲线上移  

2、温度变化对输入特性曲线的影响

3、温度变化对β 的影响

ICBOVBE温度T升高的结果,都集中表现在Q点电流IC的增大

2.4.2静态工作点稳定电路

 稳定工作点原理:温度变化时,使IC维持恒定。

如果温度变化时,b点电位能基本不变,则可实现静态工作点的稳定。

静态工作点: 

 

 

电压增益:

输入电阻:

输出电阻:

电路处于放大区的条件:

射极偏置电路做如何改进,既可以使其具有温度稳定性,又可以使其具有与固定偏流电路相同的动态指标?

 

2.4.3稳定静态工作点的措施

 

 

 

课程思政

如何解决温度对半导体新能的影响,培养学生的辩证思维和批判质疑、勇于探究的科学精神;

教学过程设计:

教学方法及手段、课堂互动题设置、教学改革措施等

课堂教学:ppt与板书结合,课堂练习

作业与

思考题设置

2.62.92.11

学习效果、学生反馈、反思改进措施等

本堂课的教学内容进行回顾,总结

备注

 

 

 

 

 

知识单元名称

第2章 基本放大电路

课次

7

授课类型

理论课☑讨论课实验课习题课其他

学时

2

课程目标与要求

课程目标12 了解共集电极电路的工作原理。共基极电路的工作原理。

掌握集电极放大电路分析计算;

本单元重点

与难点内容

重点:共集电极电路的工作原理。共基极电路的工作原理。

难点:共集电极放大电路分析计算;三种组态放大电路的特点

教学内容

2.5晶体管单管放大电路的三种接法

2.5.1共集电极电路

该电路也称为射极输出器

①求静态工作点:

 

 

②电压增益:

 

 

③输入电阻 

 

④输出电阻

共集电极电路特点:

电压增益接近于1;

输入电阻大,对电压信号源衰减小;

输出电阻小,带负载能力强

 2.5.2共基极电路

静态工作点:

2. 动态指标

①电压增益:

 

 

② 输入电阻:

③ 输出电阻

2.5.3. 三种组态的比较

电压增益:

 

输入电阻:

输出电阻:

 

 

 

 

 

 

课程思政

三种组态放大电路特点分析,培养学生事物具有两面性,如何做到各方面均衡的辩证思维

教学过程设计:

教学方法及手段、课堂互动题设置、教学改革措施等

课堂教学:ppt与板书结合,课堂练习,应用举例

作业与

思考题设置

2.13

学习效果、学生反馈、反思改进措施等

本堂课的教学内容进行回顾,总结

备注

 

 

 

 

 

 

知识单元名称

第2章 基本放大电路

课次

8

授课类型

理论课☑讨论课实验课习题课其他

学时

2

课程目标与要求

课程目标12 要求:了解三极管及场效应管放大电路的特点

掌握用公式法和小信号模型分析法分析其放大电路静态及动态性能。

本单元重点

与难点内容

重点:场效应管放大电路的静态及动态性能分析,用公式法和小信号模型分析法分析其放大电路的静态及动态性能

三极管及场效应管放大电路的特点

难点:小信号模型分析法分析其放大电路的静态及动态性能

教学内容

2.6 场效应管放大电路

2.6.1 场效应管放大电路的三种接法

2.6.2 场效应管放大电路静态工作点的设置方法及其分析估算法

1. 直流偏置电路

1)自偏压电路

 

 

 

 

2)分压式自偏压电路

 

 

 

 

 

 

 

2.6.3 场效应管放大电路的动态分析

 

 

 

 

场效应管放大电路最突出的优点是,共源、共漏和共栅电路的输入电阻高于相应的共射、共集和共基电路的输入电阻。此外,场效应管还有噪声低、温度稳定性好、抗辐射能力强等优于三极管的特点,而且便于集成。

必须指出,由于场效应管的低频跨导一般比较小,所以场效应管的放大能力比三极管差,因而共源电路的电压增益往往小于共射电路的电压增益。另外,由于MOS管栅源极之间的等效电容Cgs只有几皮法 ~ 几十皮法,而栅源电阻rgs又很大,若有感应电荷,则不易释放,从而形成高电压,以至于将栅源极间的绝缘层击穿,造成管子永久性损坏。使用时应注意保护。实际应用中可根据具体要求将上述各种组态的电路进行适当的组合,以构成高性能的放大电路。

2.7基本放大电路的派生电路

2.7.1复合管

课堂小测

课程思政

通过双极型晶体管和场效应管的特点分析,培养学生事物具有两面性,如何做到各方面均衡的辩证思维

教学过程设计:

教学方法及手段、课堂互动题设置、教学改革措施等

 

课堂教学:ppt与板书结合,例题讲解

作业与

思考题设置

思考题2.15

学习效果、学生反馈、反思改进措施等

总结本章节,根据学生作业和课堂回答问题情况进行查漏补缺,梳理基本概念

备注

 

 

 

 

 

 

知识单元名称

第3章 集成运算放大电路

课次

9

授课类型

理论课☑讨论课实验课习题课其他

学时

2

课程目标与要求

课程目标12 3

要求:掌握多级放大电路的耦合方式;掌握多级放大电路的动态分析;

本单元重点

与难点内容

重点:多级放大电路的耦合方式;多级放大电路的动态分析;

难点:多级放大电路的动态分析

教学内容

3.1多极放大电路的一般问题

3.1 多极放大电路的耦合方式

单级放大电路的放大倍数有时不能满足我们的需要,为此我们需要把若干个基本的放

大电路连接起来,组成多级放大电路。多级放大电路之间的连接称为耦合,它的方式

有多种。耦合方式主要有四种,即直接耦合、阻容耦合、变压器耦合和光电耦合。

(一)直接耦合

把前一级的输出端直接接到后一级的输入端,即为直接耦合方式。如下图所示:

未命名

所有集成电路都采用这一耦合方式。它具有低频性好的特点,可以放大直流和缓慢变

动的交流,但也存在零点漂移问题。零点漂移指直接耦合电路的各输入端短路,则输

出电压应保持某一数值不变;但是,当在输出端用电压表或记录仪测量,发现输出电

压会做随机的缓慢变化。这种现象就叫零点漂移。晶体管参数随温度的变化成为产生

零点漂移的主要原因。另外,直接耦合电路的多极电路各级的静态工作点不是独立的,

而是相互联系的。

(二)阻容耦合

它的连接方法是:通过电容和电阻把前级输出接至下一级输入。如下图所示:

 4940b8c3020003do

阻容耦合的优点:各静态工作点互不影响;传播过程中,交流信号几乎没有损失;电

路的温漂小;体积小,成本低。其缺点:无法集成;低频性差的特点,不能放大直流

和缓慢变动的交流;只能够使信号直接通过,不能改变其参数。

(三)变压器耦合

将前一级的输出通过变压器连接到后一级的输入端(或负载上)的耦合方式,称之为

变压器耦合。

未命名1

     变压器耦合放大电路的直流通路也是相互独立的,电路的分析、计算和调试比

较容易;可以实现阻抗变换,在分立元件功率放大电路中应用广泛。其缺点是低频特

性差,不能放大缓慢变化的 信号;体积大,而且非常笨重,不能集成化。

(四)光电耦合

光电耦合:以光信号为媒质来实现电信号的耦合与传递。

未命名2

光电耦合放大电路的最大优点是可以实现输入回路和输出回路的电气隔离,从而可有

效地抑制电干扰。但其放大能力较差,可用集成光电耦合放大器解决。

3.2 多极放大电路的动态分析

 

1 电压放大倍数 Au

多级放大电路的倍数等于各级放大电路倍数的乘积.:

Au=Au1.Au2.Au3.......Aun

2 输入电阻

多级放大电路的输入电阻就是第一级的输入电阻

Ri=Ri1

3 输出电阻

多级放大电路的输出电阻就是最后一级的输入电阻

Ro=Ron

 

详细讲解书上的例题

 

课程思政

培养学生事物具有两面性,如何做到各方面均衡的辩证思维

教学过程设计:

教学方法及手段、课堂互动题设置、教学改革措施等

课堂教学:ppt与板书结合,课堂练习

作业与

思考题设置

3.13.2

学习效果、学生反馈、反思改进措施等

对本堂课的教学内容进行回顾,总结

备注

 

 

 

 

 

 

 

知识单元名称

第3章 集成运算放大电路

课次

10

授课类型

理论课☑讨论课实验课习题课其他

学时

2

课程目标与要求

课程目标12 3

 

通过集成运算电路的组成及电路特点分析引导学生细致严谨、兢兢业业扎实奋斗的实

干精神和创新精神,培养学生精益求精的工匠精神

要求: 熟练掌握差模信号、共模信号、差模增益、共模增益和共模抑

制比的基本概念。零点漂移的基本概念;掌握差分放大电路的分析方法。

本单元重点

与难点内容

重点: 熟练掌握差模信号、共模信号、差模增益、共模增益和共模抑制比的基本概

念。零点漂移的基本概念;掌握差分放大电路的分析方法。

 难点:差分放大电路的分析方法

教学内容

3.3集成运放的单元电路

3.3.1直接耦合放大电路的零漂现象

输入ui=0时,,输出有缓慢变化的电压产生。

产生零漂的原因:

由温度变化引起的。当温度变化使第一级放大器的静态工作点发生微小变化时,这种

变化量会被后面的电路逐级放大,最终在输出端产生较大的电压漂移。因而零点漂移

也叫温漂

3.3.2 差分放大电路

差模信号0620002_tu_1

共模信号0620002_tu_2

差模电压增益0620002_tu_7

共模电压增益0620002_tu_8

共模抑制比

共模抑制比是衡量放大电路抑制零点漂移能力的重要指标。

0620002_tu_10

二、基本差分式放大电路

电路组成及特点

组成:

由两个共射极电路组成。

 

特点:

电路对称,

射极电阻共用,或射极直接接电流源(大的电阻和电流源的作用是一样的)

有两个输入端

有两个输出端

 

工作原理

1静态分析

静态时Vc1=Vc2, 所以Vo=Vc1-Vc2=0即输入为0时,输出也为0

2)动态分析

共模电压增益:

双端输出时的共模电压增益是指电路的双端输出电压与共模输入电压之比。

在电路完全对称的情况下,vo1=vo2, vo=vo1-vo2=0

共模增益为

 

差模电压增益:当电路的两个输入端各加入一个大小相等极性相反的差模信号时,

   vi1=vi2=vid/2

一管电流将增加,另一管电流减小,输出电压为:

   vo=vc1-vc20

即差模信号输入时,两管之间有差模信号输出。

 

 

差分式放大电路几种接法的性能指标比较

 

 

 

 

 

 

 

课程思政

培养学生事物具有两面性,如何做到各方面均衡的辩证思维

教学过程设计:

教学方法及手段、课堂互动题设置、教学改革措施等

课堂教学:ppt与板书结合,课堂练习

作业与

思考题设置

3.5

学习效果、学生反馈、反思改进措施等

对本堂课的教学内容进行回顾,总结

备注

 

 

 

知识单元名称

第3章 集成运放的单元电路

课次

11

授课类型

理论课☑讨论课实验课习题课其他

学时

2

课程目标与要求

课程目标1、2、3 要求:了解电流源的构成、恒流特性及其在放大电路中的作用。理解直接耦合互补输出级的工作原理及交越失真的概念和解决的措施。

本单元重点

与难点内容

重点:了解电流源的构成、恒流特性及其在放大电路中的作用。理解直接耦合互补输

出级的工作原理及交越失真的概念和解决的措施。

难点:理解直接耦合互补输出级的工作原理及交越失真的概念和解决的措施。

教学内容

3.3集成运放的单元电路

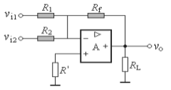
3.3.3电流源电路

镜象电流源

1 电路组成:

2)电流估算

由于两管的VBE相同,所以它们的发射极电流和集电极电流均相等。电流源的输出电流,即T2的集电极电流为

0610001_tu_2

当>>1

0610001_tu_3

RVCC确定后,基准电流IREF也就确定了,IC2也随之而定。由于Ic2IREF, 我们把IREF看作是IC2的镜象,所以 这种电流源称为镜象电流源。

2.微电流源

镜象电流源电路适用于较大工作电流(毫安数量级)的场合,若需要减小IC2的值(例如微安级),可采用微电流源电路。

电路组成

为了减小IC2的值,可在镜象电流源电路中的T2发射极串入一电阻Re2,如图所示,便构成微电流源。

2)电流估算

由电路可得

0610003-TU_1

所以

0610003_TU_2

可见,用阻值不大的Re2就可获得微小的工作电流。

3)多路电流源

在模拟集成电路中,经常用到多路电流源。其目的是用一个电流源对多个负载进行偏置。典型的多路电流源如图所示。

图中,T1T2T3的基极是并联在一起的。电路用一个基准电流IREF获得了多个电流。

3.电流源用作有源负载

由于电流源具有交流电阻大的特点(理想电流源的内阻为无穷大),所以在模拟集成电路中被广泛用作放大电路的负载。这种由有源器件及其电路构成的放大电路的负载称为有源负载。

3.3.4直接耦合互补输出级

互补对称射极输出电路

工作原理:

ui为正半周时,T1管工作,T2管截止,输出uo为正;

ui为负半周时,T2管工作,T1管截止;输出uo为负。

两管交替工作,在负载电阻RL上得到完整的正弦波。

 

 

3.4集成运放电路简介

3.5集成运放性能指标

 

存在的问题:交越失真

克服交越失真的互补对对称电路

静态时,T1T2两管发射结电压分别为二极管D1D2的正向导通压降,致使两管均处于微弱导通状态,以消除交越失真。

 

 

 

 

程思政

培养学生事物具有两面性,如何做到各方面均衡的辩证思维

教学过程设计:

教学方法及手段、课堂互动题设置、教学改革措施等

课堂教学:ppt与板书结合,课堂练习

作业与

思考题设置

3.9

学习效果、学生反馈、反思改进措施等

总结各组成部分的作用,加深对集成电路的认识

备注

 

 

 

知识单元名称

第4章 放大电路的频率响应

课次

12

授课类型

理论课☑讨论课实验课习题课其他

学时

2

课程目标与要求

课程目标12 要求:了解频率特性的一般概念。掌握单管共射放大电路的频率响应及各元件参数对其性能的影响

本单元重点

与难点内容

重点:单管放大器的低、高频幅频特性;

难点:单管共射放大器的频率响应。

教学内容

4.1频率响应的概述

4.1.1研究频率响应的必要性

由于放大电路中存在电抗元件(如管子的极间电容,电路的负载电容、分布电容、耦合电容、射极旁路电容等),使得放大器可能对不同频率信号分量的放大倍数和相移不同。

如放大电路对不同频率信号的幅值放大不同,就会引起幅度失真。如放大电路对不同频率信号产生的相移不同就会引起相位失真。幅度失真和相位失真总称为频率失真,由于此失真是由电路的线性电抗元件(电阻、电容、电感等)引起的,故不称为线性失真。

为实现信号不失真放大所以需要研究放大器的频率响应。

4.1.2频率响应的基本概念

1. 放大电路的频率响应

频率响应表达式  

      表示电压放大倍数的模与频率   的关系,称为幅频响应。    表示放大器输出电压与输入电压之间的相位差与频率的关系,称为相频响应。

 

4.1.3波特图

波特图:

在研究放大电路的频率响应时,由于信号的频率范围很宽(从几赫到几百兆赫以上),放大电路的放大倍数也很大(可达百万倍),为压缩坐标,扩大视野,在画频率特性曲线时,频率坐标采用对数刻度,而幅值(用dB表示)或相角采用线性刻度。这种半对数坐标特性曲线称为对数频率特性或波特图。

RC高通电路的频率响应

 

                     

 

 

 

当频率较高时,│AU │ ≈1,输出与输入电压之间的相位差=0。随着频率的降低, │AU │下降,相位差增大,且输出电压是超前于输入电压的,最大超前90o

   其中,fL是一个重要的频率点,称为下限截止频率。

2RC低通电路的频率响应

放大电路高频区的频率响应可用图所示的RC低通电路来模拟。

1) 频率响应

 

 

 

 

当频率较低时,│AU │ ≈1,输出与输入电压之间的相位差=0。随着频率的提高, │AU │下降,相位差增大,且输出电压是滞后于输入电压的,最大滞后90o

  其中fH是一个重要的频率点,称为上限截止频率。

4.2晶体管的高频等效模型

 

课程思政

培养辩证思维

教学过程设计:

教学方法及手段、课堂互动题设置、教学改革措施等

课堂教学:ppt与板书结合,课堂练习

作业与

思考题设置

复习本节内容

学习效果、学生反馈、反思改进措施等

对本堂课的教学内容进行回顾,总结

备注

 

 

 

知识单元名称

第4章 放大电路的频率响应

课次

13

授课类型

理论课☑讨论课实验课习题课其他

学时

2

课程目标与要求

课程目标12 要求:了解频率特性的一般概念。掌握单管共射放大电路的频率响应及各元件参数对其性能的影响

本单元重点

与难点内容

重点:单管放大器的低、高频幅频特性;

难点:单管共射放大器的频率响应。

教学内容

5.2 单级共射放大电路的高频响应

1. 根据高频区工作特点画出高频小信号等效电路

高频区考虑   的作用,而耦合电容 C仍可视为短路,高频小信号等效电路如下图所示。

      一、定性分析:

 

 

 

  

 

 

 

 

                                               

结论1:频率很高时,由于晶体管极间电容的影响, 使电压放大倍数下降。

 

 

 

 

 

 

 

结论2:频率很低时,由于电路中耦合电容的影响 使电压放大倍数下降

 

 

 

 

 

 

 

 

 

 

 

 

 

 

课堂小测

课程思政

树立学生严肃认真的科学作风和理论联系实际的工程观点,唤起学生浓厚的专业兴趣及强烈的探索欲望。

教学过程设计:

教学方法及手段、课堂互动题设置、教学改革措施等

课堂教学:ppt与板书结合,课堂练习

作业与

思考题设置

4.24.5

学习效果、学生反馈、反思改进措施等

对本堂课的教学内容进行回顾,总结

备注

 

 

 

 

 

知识单元名称

第5章 放大电路中的反馈

课次

14

授课类型

理论课☑讨论课实验课习题课其他

学时

2

课程目标与要求

课程目标2、思政目标2

学习用反馈原理来获得更稳定的放大电路,培养学生改进的意识,树立扎实奋斗的实干精神和创新精神。

   要求:反馈的基本概念及负反馈放大电路的类型;

本单元重点

与难点内容

重点:反馈的基本概念;判断反馈的类型和极性,会定性分析其作用。

难点:用瞬时极性法、输出短路法等方法判断反馈的极性和反馈的类型。

教学内容

飞机遭遇强风,左右摇摆 引入飞机控制中的反馈概念

 

 

 

 

5.1 反馈的概念及判断方法

5.1.1反馈的基本概念

一、什么是反馈

凡是将放大电路输出端的信号(电压或电流)的一部分或全部引回到输入端,与输入信号迭加,就称为反馈。

、正反馈与负反馈

按反馈的作用效果来分。有负反馈与正反馈

反馈信号XF送回到输入回路与原输入信号XI共同作用后,对净输入信号XID的影响有两种结果:一种是使净输入信号XID比没有引入反馈时减小了,有XID=XI-XF,称这种反馈为负反馈;另一种是使净输入信号XID比没有引入反馈时增加了,有XID=XI-XF,称这种反馈为正反馈。在放大电路中一般引入负反馈。

三、直流反馈和交流反馈

按反馈信号来分,有直流反馈和交流反馈

在放大电路中既含有直流分量,又含有交流分量,因而,必然有直流反馈与交流反馈之分。反馈信号中只含有直流分量的称为直流反馈。或者说存在于放大电路的直流通路中的反馈网络引入直流反馈。直流反馈影响电路的直流性能,如静态工作点。反馈信号中只含有交流分量的称为交流反馈。或者说存在于交流通路中的反馈网络引入交流反馈。交流反馈影响电路的交流性能。

5.1.2反馈的判断

一、有无反馈的判断

一、反馈极性的判断

反馈信号XF送回到输入回路与原输入信号XI共同作用后,对净输入信号XID的影响有两种结果:一种是使净输入信号XID比没有引入反馈时减小了,有XID=XI-XF,称这种反馈为负反馈;另一种是使净输入信号XID比没有引入反馈时增加了,有XID=XI-XF,称这种反馈为正反馈。在放大电路中一般引入负反馈。

二、直流反馈和交流反馈判断

三、在放大电路中既含有直流分量,又含有交流分量,因而,必然有直流反馈与交流反馈之分。反馈信号中只含有直流分量的称为直流反馈。或者说存在于放大电路的直流通路中的反馈网络引入直流反馈。直流反馈影响电路的直流性能,如静态工作点。反馈信号中只含有交流分量的称为交流反馈。或者说存在于交流通路中的反馈网络引入交流反馈。交流反馈影响电路的交流性能。

5.2负反馈放大电路的四种组态

5.2.1反馈放大电路的分析要点

5.2.2由集成运放组成的四种组态反馈放大电路

一、电压串联负反馈放大电路

 

 

 

二、电压并联负反馈放大电路

 

 

 

三、电流串联负反馈放大电路

四、电流并联负反馈放大电路

 

 

 

课程思政

树立学生严肃认真的科学作风和理论联系实际的工程观点,唤起学生浓厚的专业兴趣及强烈的探索欲望。

教学过程设计:

教学方法及手段、课堂互动题设置、教学改革措施等

播放飞机左右修正方向的视频,引入反馈的概念

课堂教学:ppt与板书结合,课堂练习

作业与

思考题设置

5.45.5

学习效果、学生反馈、反思改进措施等

对本堂课的教学内容进行回顾,总结

备注

 

 

 

知识单元名称

第5章 放大电路中的反馈

课次

15

授课类型

理论课☑讨论课实验课习题课其他

学时

2

课程目标与要求

课程目标1234 要求:负反馈放大电路的类型; 正确理解负反馈放大电路增益的基本概念

本单元重点

与难点内容

重点:正确判断负反馈放大电路的类型;负反馈放大电路增益的一般表达式及其相关概念

难点:会判断反馈的类型和极性

教学内容

5.2.3反馈组态的判断

一、电压负反馈与电流负反馈的判断

按反馈的信号取样的方式来分,有电压反馈与电流反馈

(a)  电压反馈

在反馈放大电路中,反馈网络把输出电量(输出电压或输出电流)的一部分或全部取出来送回到输入回路,因此,在放大电路输出端的取样方式有两种:一种是电压取样,这时反馈信号是输出电压的一部分或全部,即反馈信号与输出电压成正比(07104040 ),称为电压反馈

(b)  电流反馈

如果反馈信号是输出电流的一部分或全部,即反馈信号与输出电流成正比( 07104041),称为电流反馈

(c)判断是电压反馈还是电流反馈的方法

判断是电压反馈还是电流反馈时,常用“输出短路法”,即假设负载短路(RL=0),使输出电压vo=0,看反馈信号是否还反馈信号还存在。若存在,则说明反馈信号与输出电压成比例,是电压反馈;若反馈信号不存在了,则说明反馈信号不是与输出电压成比例,而是和输出电流成比例,是电流反馈。

二、串联反馈与并联反馈的判断

按照反馈信号与输入信号的连接方式来分,有串联反馈与并联反馈

(a).串联反馈

在串联反馈中,反馈信号和输入信号是在输入端以电压方式求和的。

(b) 并联反馈

在并联反馈中,反馈信号和输入信号是在输入端以电流方式求和的。

 

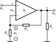
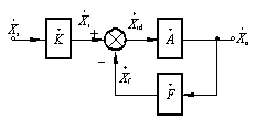
5.3 负反馈放大电路的方框图及一般表达式

X表示电压或电流信号;箭头表示信号传输的方向;符号¤表示输入求和,+、–表示输入信号 07502011与反馈信号是相减关系(负反馈),即放大电路的净输入信号为

07300064       (1)

基本放大电路的增益(开环增益)为

07300065         (2)

反馈系数为

07300066           (3)

负反馈放大电路的增益(闭环增益)为

07300067           (4)

将式(1)(2)(3)代入式(4),可得负反馈放大电路增益的一般表达式为

07300068              (5)

课程思政

树立学生严肃认真的科学作风和理论联系实际的工程观点,唤起学生浓厚的专业兴趣及强烈的探索欲望。

教学过程设计:

教学方法及手段、课堂互动题设置、教学改革措施等

课堂教学:ppt与板书结合,课堂练习

作业与

思考题设置

5.65.7

学习效果、学生反馈、反思改进措施等

对本堂课的教学内容进行回顾,总结

备注

 

 

 

 

知识单元名称

第5章 放大电路中的反馈

课次

16

授课类型

理论课☑讨论课实验课习题课其他

学时

2

课程目标与要求

课程目标12 3要求 正确掌握负反馈放大电路的分析方法。学会计算深度负反馈的放大倍数。正确理解负反馈放大电路性能的改善。根据要求选择合适的负反馈组态。了解产生自激振荡的原因及条件。

本单元重点

与难点内容

重点:正确掌握负反馈放大电路的分析方法。学会计算深度负反馈的放大倍数。

难点:计算深度负反馈的放大倍数。。根据要求选择合适的负反馈组态

教学内容

5.4深度负反馈的放大倍数的分析

5.4.1深度负反馈的实质

      

                            

                          

5.4.2 反馈网络的分析

5.4.3 基于反馈系数的放大倍数分析

一、电压串联负反馈

例题:

二、电流串联负反馈

例题

电压并联负反馈

例题

电流并联负反馈

例题

 

 

 

 

课程思政

抓主要矛盾,培养辩证思维

教学过程设计:

教学方法及手段、课堂互动题设置、教学改革措施等

课堂教学:ppt与板书结合,课堂练习

作业与

思考题设置

5.85.9

学习效果、学生反馈、反思改进措施等

对本堂课的教学内容进行回顾,总结,讨论

 

备注

 

 

 

 

 

知识单元名称

第6章 信号的运算与处理

课次

17

授课类型

理论课☑讨论课实验课习题课其他

学时

2

课程目标与要求

课程目标1、234 通过对集成运算电路的应用分析和设计,引导学生钻研和创新意识,培养学生精益求精的工匠精神。

要求:抓住深度负反馈条件下的“虚短”和“虚断”的概念,讨论基本运算电路

掌握由运算放大器组成的积分微分电路的组成和工作原理

本单元重点

与难点内容

重点:加、减、积分和微分电路电路的组成和工作原理

难点:掌握加、减、积分和微分电路的输入输出关系式的分析计算

教学内容

6.1  基本运算电路

6.1.1基本运算电路

运算电路是集成运算放大器的基本应用电路,它是集成运放的线性应用。讨论的是模拟信号的加法、减法、积分和微分、对数和反对数(指数)、以及乘法和除法运算。为了分析方便,把集成运放电路均视为理想器件,应满足:

1)开环电压增益  Au =

2)输入电阻Ri=

3)输出电阻Ro=0

 

 

 

 

6.1.2 比例运算电路

一. 反相比例运算

 

 

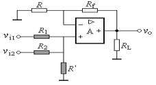
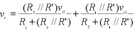
6.1.3 加减运算电路

1. 反相输入求和电路

   在反相比例运算电路的基础上,增加一个输入支路,就构成了反相输入求和电路

 

 

 

 

 

 

 

 

两个输入信号电压产生的电流都流向Rf ,所以输出是两输入信号的比例和:。

2.同相输入求和电路

在同相比例运算电路的基础上,增加一个输入支路,就构成了同相输入求和电路,如图8.1.2所示:

 

 

 

 

 

因运放具有虚断的特性,对运放

同相输入端的电位可用叠加原理求得:

                     

可得:                      

                    

 

            

加减法运算器

 

由差动输入放大器演变而来。

I0,有I1+I2=If

 

                                 

 

I3+I4=Ip

 

若有更多的相加量或相减量,可以增加或减少电路的相应的输入端。

6.1.4 积分运算电路和微分运算电路

1.积分运算电路

    积分运算电路的分析方法与求和电路差不多,反相积分运算电路如图

 

 

 

 

 

 

 

 

 

 

 

当输入信号是阶跃直流电压VI时,即

 

 

 

2.微分运算电路

微分运算电路如图所示:

 

 

 

 

 

 

 

 

 

 

 

 

 

课程思政

树立学生严肃认真的科学作风和理论联系实际的工程观点,唤起学生浓厚的专业兴趣及强烈的探索欲望。

教学过程设计:

教学方法及手段、课堂互动题设置、教学改革措施等

课堂教学:ppt与板书结合,课堂练习

作业与

思考题设置

6.36.66.10

学习效果、学生反馈、反思改进措施等

对本堂课的教学内容进行回顾,总结讨论

备注

 

 

 

 

知识单元名称

第6章 信号的运算与处理

课次

18

授课类型

理论课☑讨论课实验课习题课其他

学时

2

课程目标与要求

课程目标1、2 、3、4 要求:对数与反对数电路的组成和工作原理了解有源滤波电路的分类及一阶、二阶滤波电路的频率特性

本单元重点

与难点内容

重点:虚短虚断的概念,对数与反对数电路的组成和工作原理计算输入输出的关系;滤波电路的基本概念,一阶有源滤波电路

难点:对数与反对数电路的组成和工作原理计算输入输出的关系;滤波电路的基本概念

教学内容

6.1.5 对数运算电路和指数运算电路

1对数运算电路

对数运算电路见下图。     

由图可知

      

 

 

 

 

 

2.反对数运算电路

反对数运算电路如下图所示。

Ⲓ��������=ă�������ƹ�������

 

 

 

 

 

 

6.2模拟乘法器及其在运算电路中的应用

  1. 一般乘法运算

 

 

  1. 乘方运算

二、除法运算电路

 

 

 开平方运算电路

 

6.3 有源滤波电路

6.3.1滤波电路的基础知识

一、概述

1.滤波器的分类

有源滤波器实际上是一种具有特定频率响应的放大器。它是在运算放大器的基础上增加一些RC等无源元件而构成的。通常有源滤波器分为:低通滤波器(LPF)、高通滤波器(HPF)、带通滤波器(BPF)、带阻滤波器(BEF

 

 

 

 

 

 

 

 

 

 

2.滤波器的用途

   滤波器主要用来滤除信号中无用的频率成分,例如,有一个较低频率的信号,其中包含一些较高频率成分的干扰。滤波过程如图所示:

 

 

 

 

 

 

6.3.2 低通滤波电路

1.低通滤波器的主要技术指标

     通带增益Avp

     通带增益是指滤波器在通频带内的电压放大倍数。性能良好的LPF通带内的幅频特性曲线是平坦的,阻带内的电压放大倍数基本为零。

通带截止频率fp

其定义与放大电路的上限截止频率相同。通带与阻带之间称为过渡带,过渡带越窄,说明滤波器的选择性越好。

2.简单一阶低通有源滤波器

一阶低通滤波器的电路如图所示,其幅频特性见图,图中虚线为理想的情况,实线为实际的情况。特点是电路简单,阻带衰减太慢,选择性较差。

 

 

 

 

 

 

 

图 一阶低通滤波器电路       图一阶低通滤波器电路幅频特性

f = 0时,各电容器可视为开路,通带内的增益为

 

一阶低通滤波器的传递函数:                                

其中         

 

 

 

 

 

该传递函数式的样子与一节RC低通环节的频响表达式差不多,只是后者缺少通带增益Avp这一项。

3.简单二阶低通有源滤波器

为了使输出电压在高频段以更快的速率下降,以改善滤波效果,再加一节RC低通滤波环节,称为二阶有源滤波电路。它比一阶低通滤波器的滤波效果更好。二阶LPF的电路图如图所示,幅频特性曲线如图所示

 

 

 

 

 

 

 

 

 

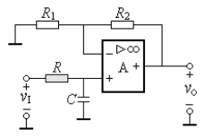
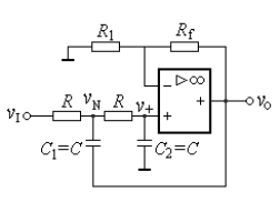
4.

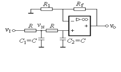
二阶压控型低通有源滤波器

  

二阶压控型低通有源滤波器如图所示。其中的一个电容器C1原来是接地的,现在改接到输出端。显然C1的改接不影响通带增益。

 

 

 

 

 

 

 

6.3.3其它滤波电路

有源高通滤波器(HPF)

有源带通滤波器(BPF)和带阻滤波器(BEF)

带通滤波器是由低通RC环节和高通RC环节组合而成的。要将高通的下限截止频率设置的小于低通的上限截止频率。反之则为带阻滤波器。要想获得好的滤波特性,一般需要较高的阶数

 

课程思政

培养学生的科学思维能力树立学生严肃认真的科学作风和理论联系实际的工程观点

教学过程设计:

教学方法及手段、课堂互动题设置、教学改革措施等

课堂教学:ppt与板书结合,课堂练习

作业与

思考题设置

复习相关知识

学习效果、学生反馈、反思改进措施等

对本堂课的教学内容进行回顾,总结讨论

备注

 

 

 

知识单元名称

第7章 波形的发生和信号的转换

课次

19

授课类型

理论课☑讨论课实验课习题课其他

学时

2

课程目标与要求

课程目标1、2、34通过对脉冲波形产生电路的选择和优化,培养学生具备一定的节能环保意识,提高电子器件性能的同时降低损耗,在今后的实践与工作中,能将安全与环保风险降到最低。

要求:掌握正弦波振荡的相位平衡条件、幅度平衡条件。

2 掌握RC正弦波振荡电路的工作原理、起振条件、稳幅原理及振荡频率的计算。

3掌握LC正弦波振荡电路的工作原理、起振条件、稳幅原理及振荡频率的计算。

 

本单元重点

与难点内容

重点:正弦波振荡电路的振荡条件,重点介绍RC正弦波振荡电路

重点介绍LC正弦波振荡电路(变压器反馈LC振荡器、电感三点式LC振荡器、电容三点式LC振荡电路、石英晶体LC振荡电路)

难点:LC正弦波振荡电路

教学内容

7.1正弦波振荡电路

7.1.1概述

一、正弦波产生条件

 1. 正弦波振荡电路

振荡条件为:

包括振幅平衡条件:          相位平衡条件: AF = A+ F= 2n

 起振条件和稳幅原理

   

振荡器在刚刚起振时,为了克服电路中的损耗,需要正反馈强一些,即要求

     既然         ,起振后就要产生增幅振荡,需要靠三极管大信号运用时的非线性特性去限制幅度的增加,这样电路必然产生失真。这就要靠选频网络的作用,选出失真波形的基波分量作为输出信号,以获得正弦波输出。

也可以在反馈网络中加入非线性稳幅环节,用以调节放大电路的增益,从而达到稳幅的目的

二.正弦波振荡电路的组成及分类

正弦波振荡电路由放大电路、正反馈网络、选频网络、稳幅电路组成。

正弦波振荡电路的分类

RC正弦波振荡电路

LC正弦波振荡电路

1.压器反馈LC振荡器

2..电感三点式LC振荡器

3.电容三点式LC振荡电路

4.石英晶体LC振荡电路

三、判断电路是否可能产生正弦波振荡的方法和步骤

1)观察电路是否包含了放大电路、选频网络、 正反馈网络和稳幅环节四个组成部分。

2)判断放大电路是否能正常工作。

3)利用瞬时极性法判断电路是否满足正弦波振荡的相位条件。

4)判断电路是否满足正弦波振荡的幅值条件。

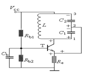
7.1.2 RC正弦波振荡电路

 

 

 

 

 

 

 

 

 

 

 f f= f0  时的反馈系数 ,且与频率f0的大小无关。此时的相角F=0。即改变频率不会影响反馈系数和相角,在调节谐振频率的过程中,不会停振,也不会使输出幅度改变。

 

为满足振荡的幅度条件     =1所以Af3加入R3R4支路,构成串联电压负反馈。

RC文氏桥振荡电路的稳幅过程

     RC文氏桥振荡电路的稳幅作用是靠热敏电阻R4实现的。R4是正温度系数热敏电阻,当输出电压升高,R4上所加的电压升高,即温度升高,R4的阻值增加,负反馈增强,输出幅度下降。反之输出幅度增加。若热敏电阻是负温度系数,应放置在R3的位置。

    采用反并联二极管的稳幅电路如图所示:二极管工作在AB点,电路的增益较大,引起增幅过程。当输出幅度大到一定程度,增益下降,最后达到稳定幅度的目的。

 

 

 

 

 

 

 

 

 

 

 

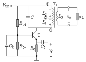
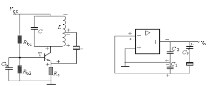
7.1.3 LC正弦波振荡电路

变压器反馈LC振荡器

 

 

 

 

 

 

电感三点式LC振荡器

 

 

 

 

 

 

 

 

电容三点式LC振荡电路

                            ’������ņ�������

 

7.1.4石英晶体振荡电路

石英晶体LC振荡电路

利用石英晶体的高品质因数的特点,构成LC振荡电路

 

 

 

 

 

 

 

 

 

 

 

课程思政

振荡电路中的必然与偶然的辩证思维

教学过程设计:

教学方法及手段、课堂互动题设置、教学改革措施等

课堂教学:ppt与板书结合,课堂练习

作业与

思考题设置

7.77.10

学习效果、学生反馈、反思改进措施等

对本堂课的教学内容进行回顾,总结讨论

备注

 

 

 

 

知识单元名称

第7章 波形的发生和信号的转换

课次

20

授课类型

理论课☑讨论课实验课习题课其他

学时

2

课程目标与要求

课程目标1、2 掌握单门限电压比较器和迟滞比较器的工作原理,会求解电路电压传输特性。

本单元重点

与难点内容

重点:单门限电压比较器和迟滞比较器工作原理理解方波及锯齿波发生器的工作原理

难点:求解电路电压传输特性。

教学内容

7.2电压比较器

7.2.1概述

比较器是将一个模拟电压信号与一个基准电压相比较的电路。常用的幅度比较电路有电压幅度比较器、窗口比较器和具有滞回特性的比较器。

1.过零比较器

 

 

 

 

7.2.2 单限比较器

将过零电压比较器的一个输入端从接地改接到一个电压值VREF 上

 

 

 

 

 

 

比较器的基本特点

(1) 工作在开环或正反馈状态。

(2) 开关特性,因开环增益很大,比较器的输出只有高电平和低电平两个稳定状态。

(3) 非线性,因大幅度工作,输出和输入不成线性关系。

7.2.3 滞回比较器

特点:电路中使用正反馈——运放工作在非线性区。

工作原理——两个门限电压。

(1)当uo =+UZ时,

2)当uo =-UZ时,

设初始值: uo =+UZ , 

   u+= UT+

设ui增大, 当ui = > UT+时,

 uo从+UZ跳变为-UZ

这时, uo =-UZ ,     u+= UT-

设ui减小, 当ui = < UT-时,

 uo从-UZ 跳变为+UZ

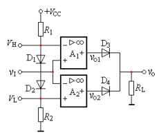
7.2.4 窗口比较器

 窗口比较器的电路如图8.4.4所示。电路由两个幅度比较器和一些二极管与电阻构成。设R1 =R2,则有:

 

 

 

 

 

 

 

 

 

 

 

 

7.3非正弦波发生电路

7.3.1矩形波发生电路

由滞回比较电路和RC定时电路构成的

电源刚接通时,

 

电容C充电,  升高

            时,      

 

 

  所以 电容C放电,  下降。

                  时,返回初态。方波周期T用过渡过程公式可以方便地求出

 

 

 

 

 

 

 

 

课程思政

培养学生的科学思维能力,辩证思维能力,树立学生严肃认真的科学作风和理论联系实际的工程观点

教学过程设计:

教学方法及手段、课堂互动题设置、教学改革措施等

以报警电路为例引入电压比较器

课堂教学:ppt与板书结合,课堂练习

作业与

思考题设置

7.137.14

学习效果、学生反馈、反思改进措施等

对本堂课的教学内容进行回顾,总结讨论

 

备注

 

 

 

 

 

 

 

知识单元名称

第8章 功率放大电路

课次

21

授课类型

理论课☑讨论课实验课习题课其他

学时

2

课程目标与要求

课程目标1课程目标3思政目标2

通过对功率放大电路的分析,掌握如何解决输出功率、效率和非线性失真三者之间的矛盾,学生细致严谨

 要求:要熟练掌握甲乙类互补对称功率放大电路的组成、分析计算

本单元重点

与难点内容

重点:甲乙类互补对称电路工作原理。熟练掌握甲乙类互补对称功率放大电路的组成、分析计算

难点:甲乙类互补对称功率放大电路的分析计算

 

教学内容

8.1功率放大电路的概述

8.1.1功率放大电路的特点

能输出较大功率的放大器称为功率放大器

1、输出功率Po尽可能大

 2、功放电路中电流、电压要求都比较大,必须注意电路参数不能超过晶体管的极限值: ICM  UCEM  PCM

3、电流、电压信号比较大,必须注意防止波形失真。

4、电源提供的能量应尽可能多地转换给负载,尽量减少晶体管及线路上的损失。即注意提高电路的效率η。

 5、功放管散热和保护问题

8.1.2功率放大电路的组成

一、共射放大电路不宜做功率放大电路

1.三极管的静态功耗

 

2.动态功耗

最大输出功率

8.2互补功率放大电路

8.2.1 OCL电路的组成及工作原理

为了克服乙类互补对称电路的交越失真,需要给电路设置偏置,使之工作在甲乙类状态

静态时: T1T2两管发射结电压分别为二极管D1D2的正向导通压降,致使两管均处于微弱导通状态——甲乙类工作状态

动态时:设 ui 加入正弦信号。正半周 T2 截止,T1 基极电位进一步提高,进入良好的导通状态;负半周T1截止,T2 基极电位进一步降低,进入良好的导通状态。

 

 

 

 

 

 

 

 

 

8.2.2 OCL电路的输出功率及效率

1. 输出功率Po

最大不失真输出功率Pomax

电源供给的功率PV

 

  1. 效率η

8.2.3 OCL电路中晶体管的选择

选功率管的原则

 

            

 

3.晶体管的最大集电极电流

例题8.2.1

例题8.2.2

 

 

课程思政

培养学生的科学思维能力树立严谨的科学作风和工程观点

教学过程设计:

教学方法及手段、课堂互动题设置、教学改革措施等

以扬声器为例引入功率放大电路

课堂教学:ppt与板书结合,课堂练习

作业与

思考题设置

8.48.11

学习效果、学生反馈、反思改进措施等

对本堂课的教学内容进行回顾,总结讨论

 

备注

 

 

 

 

 

 

知识单元名称

第9章 直流稳压电源

课次

22

授课类型

理论课☑讨论课实验课习题课其他

学时

2

课程目标与要求

课程目标3思政目标2

要求:掌握直流稳压电源的构成及作用

2、掌握几种桥式整流、滤波电路的参数和波形分析

本单元重点

与难点内容

重点:掌握直流稳压电源的构成及作用

2、掌握几种桥式整流、滤波电路的参数和波形分析

难点:单相桥式整流电容滤波电路的工作原理及各项指标的计算

教学内容

9.1直流电源的组成及各部分的作用

    整流电路是将工频交流电转为具有直流电成分的脉动直流电。

    滤波电路是将脉动直流中的交流成分滤除,减少交流成分,增加直流成分。

    稳压电路对整流后的直流电压采用负反馈技术进一步稳定直流电压。

直流电源的方框图如图所示。

 

 

 

9.2 整流电路

9.2.1 整流电路的分析方法及其基本参数

1.工作原理

单相桥式整流电路是最基本的将交流转换为直流的电路

 

 

 

 

 

输出电压在一个工频周期内,只是正半周导电,在负载上得到的是半个正弦波。负载上输出平均电压为

 

 

 

 

 

流过负载和二极管的平均电流为

9.2.2 单相桥式整流电路

 

 

 

 

 

 

在分析整流电路工作原理时,整流电路中的二极管是作为开关运用,具有单向导电性。

当正半周时二极管D1、D3导通,在负载电阻上得到正弦波的正半周。

    当负半周时二极管D2、D4导通,在负载电阻上得到正弦波的负半周。

在负载电阻上正负半周经过合成,得到的是同一个方向的单向脉动电压。单相桥式整流电路的波形图见图

2.参数计算

根据图10.1.2(b)可知,输出电压是单相脉动电压。通常用它的平均值与直流电压等效。

 

输出平均电压为

流过负载的脉动电压中包含有直流分量和交流分量,可将脉动电压做傅里叶分析。此时谐波分量中的二次谐波幅度最大,最低次谐波的幅值与平均值的比值称为脉动系数S

 

 

 

 

 

9.3 滤波电路

 滤波电路利用电抗性元件对交、直流阻抗的不同,实现滤波。电容器C对直流开路,对交流阻抗小,所以C应该并联在负载两端。电感器L对直流阻抗小,对交流阻抗大,因此L 应与负载串联。经过滤波电路后,既可保留直流分量、又可滤掉一部分交流分量,改变了交直流成分的比例,减

小了电路的脉动系数,改善了直流电压的质量。

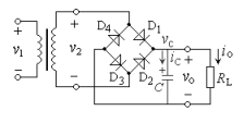
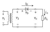
9.3.1 电容滤波电路

 

 

 

 

滤波原理

      若电路处于正半周,二极管D1D3导通,变压器次端电压v2给电容器C充电。此时C相当于并联在v2上,所以输出波形同v2 ,是正弦形。

 

 

 

 

 

 

 

 

v2到达90°时,v2开始下降。先假设二极管关断,电容C就要以指数规律向负载L放电。指数放电起始点的放电速率很大。在刚过90°时,正弦曲线下降的速率很慢。所以刚过90°时二极管仍然导通。在超过90°后的某个点,正弦曲线下降的速率越来越快,当刚超过指数曲线起始放电速率时,二极管关断。

所以,在t1t2时刻,二极管导电,C充电,vC=vL按正弦规律变化;t2t3时刻二极管关断,vC=vL按指数曲线下降,放电时间常数为RLC

 

RLC=(35)T/ 2的条件下,

近似认为VL=VO=1.2V2

 

 

 

 

 

9.3.2 倍压整流电路

 

9.3.3 其它形式的整流电路

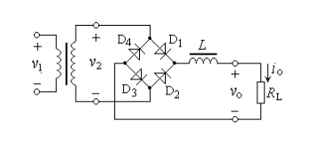
电感滤波电路

利用储能元件电感器L的电流不能突变的性质,把电感L与整流电路的负载RL相串联,也可以起到滤波的作用。电感滤波电路如图

所示。

 

 

 

 

 

 

 

 

 

 

 

 

 

输出电压平均值:   UL=0.9U2

 

 

 

 

课程思政

培养学生的科学思维能力树立严谨的科学作风和工程观点

教学过程设计:

教学方法及手段、课堂互动题设置、教学改革措施等

课堂教学:ppt与板书结合,课堂练习

作业与

思考题设置

9.

学习效果、学生反馈、反思改进措施等

对本堂课的教学内容进行回顾,总结讨论

 

备注

 

 

 

知识单元名称

第九章直流稳压电源

课次

23

授课类型

理论课☑讨论课实验课习题课其他

学时

2

课程目标与要求

课程目标1、2、3、4

思政目标2要求:理解稳压电路工作原理理解串联型稳压电路工作原理,计算输出电源可调范围

本单元重点

与难点内容

重点:单相桥式整流电容滤波电路的工作原理及各项指标的计算

难点:串联型稳压电路工作原理

教学内容

9.4 稳压管稳压电路

9.4.1 电路组成

稳压电路的作用:当电网电压波动和负载变化时,输出的平均电压随之产生变化。为了获得稳定性好的直流电源,必须采取稳压措施。

9.4.2 稳压原理

(1) 当输入电压变化时

(2)当负载电流变化时

9.4.3 性能指标

9.4.4 电路参数的选择

限流电阻的计算

例题:9.4.1

例题:9.4.2

9.5串联型稳压电路

稳压管稳压电路的缺点:

1)带负载能力差

2)输出电压不可调

改进1

1提高带负载能力——在输出端加一射极输出器

改进2

2)使输出电压可调——在射极输出器前加一带有负反馈的放大器——具有放大环节的串联型稳压电路。

 

 

 

 

 

 

 

 

 

 

 

 

课程思政

培养学生的科学思维能力树立学生严肃认真的科学作风和理论联系实际的工程观点

教学过程设计:

教学方法及手段、课堂互动题设置、教学改革措施等

课堂教学:ppt与板书结合,课堂练习

作业与

思考题设置

 

9.12

 

学习效果、学生反馈、反思改进措施等

的教学内容进行回顾,总结讨论

 

备注

 

 

知识单元名称

总复习

课次

24

授课类型

理论课☑讨论课实验课习题课其他

学时

2

课程目标与要求

课程目标1、2、3、4

要求:掌握本课程相关知识点,具有一定的电路分析及设计能力

 

本单元重点

与难点内容

重点

1)放大电路的分析与计算

2)放大电路的频率特性

3)放大电路反馈电路的分析计算

4)集成运算放大器的应用电路

5)功率放大电路的工作原理及估算

 

难点:1)放大电路的分析计算

2)放大电路中的负反馈电路的分析计算

 

教学内容

1.常用半导体器件

2.基本放大电路.

3.集成运算放大电路

4.放大电路的频率响应

5.放大电路的反馈

6.信号的运算和处理

7.波形的产生和信号的转换

8.功率放大电路

9.直流电源

 

 

课程思政

培养学生的科学思维能力树立学生严肃认真的科学作风和理论联系实际的工程观点

教学过程设计:

教学方法及手段、课堂互动题设置、教学改革措施等

各章节知识点梳理,例题讲解

 

作业与

思考题设置

本课程课后作业习题

 

学习效果、学生反馈、反思改进措施等

的教学内容进行回顾,总结讨论

 

备注

 

 

1