第六章 万有引力定律
教学时数:5
教学目的与要求:
(1)介绍开普勒定律,可作简单推证,主要由历史发展说明万有引力定律的建立过程,体现实中践是检验真理的唯一标准。
(2)结合地球自转说明地球上物体重量变化的各种原因,以及重力与引力的区别与联系。
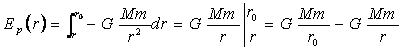
(3)可用近似方法推导出万有引力势能的计算公式。
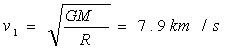
(4)对人造卫星的运动不作详细介绍,可通过实例研究卫星在圆形轨道上运动的速度及周期。
教学重点:
开普勒定律; 万有引力定律; 三种宇宙速度
教学难点:
开普勒定律; 万有引力定律
本章主要阅读文献资料:
顾建中编 《力学教程》 人民教育出版社
赵景员、王淑贤编 《力学》 人民教育出版社
漆安慎 杜婵英 《〈力学基础〉学习指导》 高等教育出版社
开普勒定律
一、行星运动的三大定律(开普勒定律)
1.行星沿椭圆轨道绕太阳运行,太阳位于椭圆的一个焦点上。行星轨道的偏心率都比较小。(很接近于圆)
2.对任一行星,它的位置矢量(以太阳中心为参考点)在相等的时间内扫过相等的面积。
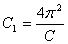
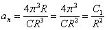
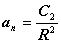
3. 行星绕太阳运动周期T的平方和椭圆轨道的半长轴a的立方成正比,即:
(该恒量对各行星都相同)
注意:这里选择的参考系是相对于日心---恒星参考系而言的。
万有引力定律•