第一章 数学知识及物理学和力学
学时:10
物理学是研究物质运动中最基本最普遍的形式,但这些运动又普遍的存在于其他高级的,复杂的运动形式之中.因此可以认为,物理学是一切自然科学的基础.又是当代工程技术的重大理论支柱,这已是物理学的三次大突破,从而引起的三次工业革命的历史所应证.物理学是人类巨大的精神财富的宝地,在这块宝地上不仅结出了震撼世界的花朵,而且孕育了牛顿,爱因斯坦等科学巨匠.所以这块宝地很值得我们去开垦,这些精神财富值得我们去挖掘,去研究.
在所有的物理学中,<<力学>>是研究物质运动中最简单又最基本的运动----机械运动,以及其应用的一门学科,是物理学大厦的基础.<<力学>>发展中形成的研究方法,从观测,实验到分析,综合,从模型和假设的提出到理论体系的建立以至在实验中受到检验并不断发展,在历史上对其他学科的建立,曾起到过重要作用,并且仍然是今天科学研究的基本方法.通过该们课程的学习,希望能给大家更多的新思想,新概念和新方法.
本教程是大学物理学系列教程之一。物理学的发展是相当快的,力学只是它的一个有机组成部分,该教程只是对一些基本知识的讲解,下面给出的是本教程的一些提示:
一.学习对象
首先,读者应具有普通初高中物理常识的基本水平;
其次,高等数学是高等物理的必备工具,因此读者应该具有足够的数学知识;
再次,物理学是一门以实验为基础的学科,本教程中也对一些典型的实验进行了分析,阐明了它们的力学规律。所以,学习本教程时,还应该具有一定实验理论知识。
二. 应具备的高等数学知识
1.微积分基础知识
①.函数,导数与微分
函数:两个相互联系的变量x和y,如果当x在其变化域内任取某一值,y都有确定的值与之对应,则y是x的函数,x称为自变量,y又称为因变量。表为:![]()
应掌握函数定义及其相关的概念(如自变量,因变量,定义域,对应法则,值域等),
函数的一些基本性质(如连续性,对称性,周期性,奇偶性等),(基本)初等函数等。
导数:设函数
当自变量在点
处有一增量
时,函数
相应的有一改变量
,那么当
趋于零时,若比值
的极限存在(为一确定的有限值),则这个极限为函数
在点处导数,记作:
![]()
这时称函数
在点
处是可导的。
导数的几何意义:函数
在
处的导数
等于曲线
在点
处的切线的斜率,即:
![]()
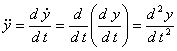
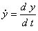
在物理上,动点的位置矢量对时间的一阶导数就是该动点的速度矢量;位置矢量对时间的二阶导数(也是:速度矢量对时间的一阶导数)是动点的加速度矢量,详见运动学部分——速度矢量与加速度矢量。
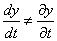
注意:以下是易混淆的两个表示:
与 ![]()
前者:只要是在上面加一点的,都是对时间的一阶导数,即:
,当然加两点,则是对时间的二阶导数,即:
;
后者:永远是函数对自变量的导数(如对于函数
,则
)。
若自变量有多个,则应该用偏导,
是函数
(同时又有
)对时间的偏导。(注意:
,对于多元函数,一般
)。
微分:若函数
的改变量可表示为:
![]()
式中
,则此改变量的线性主部
称为函数
的微分,记作:
![]()
函数
的微分存在的充分必要条件是:函数存在有限的导数
,这时函数的微分是:
![]()
②.不定积分
不定积分:对函数
,如果在给定区间
上有
,则其逆运算就是求
的不定积分(即:求
的原函数):
![]()
上式中可以看出:
(被积函数)的原函数为
,不止一个。其中,
为积分常数。
常见不定积分公式及有关资料,详见参考书目《高等数学》。
③.定积分
由上面的不定积分,再加上一定的初始条件,被积函数的原函数就是唯一确定的。
其具体定义可见参考书目《高等数学》:“细分”,“做和”,“求极限”,具体例子可见动能和势能>>力的元功>>力在有限路径上的功
几何意义(如上面积分): 由
的函数曲线,初始条件表示的直线,
轴所围成的曲边梯形的面积。
牛顿——莱布尼兹公式(Newton-Leibniz formula):
若函数
在区间
上连续,或分段连续,则
在
上有原函数,设
是
在
上的一个原函数,则
![]()
这就是牛顿——莱布尼兹公式,或微分学基本定律,它指出了定积分与不定积分的内在联系。
2. 矢量分析基础
①. 矢量的定义:具有一定的大小和方向,且加法遵从平行四边形法则的量。
②. 矢量的加法、减法
矢量的加法应满足平行四边形法则,而减法是加法的逆运算,可用三角形法则;如图所示。
一般计算矢量的加法、减法时,对各分量分别相加减:

③.矢量的数乘
以实数
乘以矢量
称为矢量的数乘,记作
,显然有:
![]()
实数
只是一个系数,矢量的数乘可以看作是把原矢量的模伸缩为原来的
倍。
的方向为:
时,方向不变;
时,方向相反。
④.矢量的正交分解
矢量的正交分解,也就是把矢量分解成沿着几个正交单位矢量方向上的分矢量,各分矢量
按照平行四边形法则,又可合成原矢量。
⑤.矢量的标积和矢积
已知两矢量
和
,夹角记作:
,则:
矢量的标积(又称:数量积、点乘、点积、内积):
![]()
结果为标量。
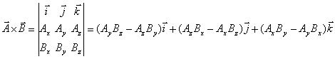
矢量的矢积(又称:叉乘、叉积、外积):

∴ 矢积
的结果为矢量;大小为以A、B为边的平行四边形的面积:
![]()
⑥.矢量对
的导数
对矢量函数(简称:矢函数)
,如果极限:
![]()
存在,就称它为矢函数
的导数,记作
,矢函数
的导数仍为矢函数,从而还可像标量函数一样求其二阶导数、高阶导数。
对矢量函数求导数,一般是对它的各个分量分别求导,这时矢量导数就变成了标量函数的求导,但是如果坐标也在变,也必须对单位矢量求导,如自然坐标系中的切向单位矢量和法向单位矢量,详见运动学部分——自然坐标。
三.教程符号说明
如果在各章节中没有特殊说明,下列符号代表的物理数学意义如下:
1. 势能符号,有很多种表示方法
:为通用势能符号,
为重力势能,
为动能,而对其它有心力有时也用
表示,详见各章节。
2.
表示位置矢量,简称“位矢”。并且:
是
位置矢量对时间的一阶导数,其它量类似:上面加一点,就是对时间的一阶导数,加两点就是对时间的二阶导数,不再具体说明。(详见第二部分——数学知识.)
表示与
方向相同的单位矢量,相当于:
。(有的书上也写作“
”,注意区别。)
3.
或
:各种力通用符号,而重力多用
表示,拉力多用
或
表示,支持力多用
表示。
:表示力
可以有与某轴平行的力
和与该轴垂直的力
来合成。
4.力矩
(有时用
,而有的书上用
,注意区别)
:表示力
对
轴的力矩。如:
表示力与
轴平行时,力对
轴的力矩。
5.
分别表示矢量
在
轴上的投影 。
6.
角动量的符号(有的书上用
,注意区别) (详见 角动量部分)
如:
表示质点对
点的角动量;
表示质点对
轴的角动量。
7.
表示元素(如质点,空间坐标点)1相对元素2的量。
如:
表示空间坐标点1对空间坐标点2的位置矢量;
表示质点1对质点2的作用力。
8.
常数(constant)符号,本教程涉及到的基本常数及其符号如下:
万有引力常数;
重力加速度;
9.单位矢量
:直坐标的单位矢量(有的用地方也用
);
:自然坐标的单位矢量(有的地方也用
);
而对其它单位矢量,除了字母上要加箭头外,在右上角还要标上
,注意区别,如:
(见上:位置矢量),
(有的地方也用
)。
物理学和力学
没有今日的基础科学,就没有明日的科技应用。......可以想象,我们现在的基础科学将怎样地影响21世纪的科技文明。
--李政道
在科学中物理学是最基本的和无所不包的,并对全部科学发展产生深刻的影响。
--Feynman
力学是物理学的有机组成部分。物理是百花园,力学是其中一丛花。
§1.1 发展着的物理学
物理(physics)源于希腊文「自然」称为自然哲学 。
公元前420年:德莫克利特(Democritus)提出「原子论」,一切物质均由无限多个不可分割、看不见的原子所组成(只分水、火、土、气四种)。
公元前300年:杠杆、轮轴、天文学。(代表人物:阿基米得)
罗马灭亡后:人类在物理学,乃至整个科学进入一个停滞期,基督教的神学主宰一切,科学黑暗期」。
文艺复兴时:科学才从神学禁锢中解放出来。
1543年:哥白尼(波兰人,1473年-1543年)对神学提出质疑,发表《天体运行》,说明天体运行是以太阳为中心。
1609年-1618年:开普勒归纳出行星运动三定律。
1632年:伽利略发表《两学派的对话》,推翻地球中心说。
十九世纪:古典物理学发展已很完整。
古典物理学
力学:1687年-牛顿集力学理论之大成。
热学:早期:钻木取火。
秦李冰父子利用岩石加热再骤冷会裂开的技术开凿都江堰。
十七世纪:伽利略制造气体温度计。
1662年:玻意耳发现定温时,定量气体的压力与体积成反比。
光学:公元前约一世纪-光反射。
17世纪-光折射。
1611年-开普勒发现全反射。
1615年-斯奈尔(荷兰人)发现折射定律。
1675年-牛顿做光的色散实验。
1678年-惠更斯(荷兰人)首创波动学说。
1801年-杨格(英国人)发现光的干涉。
1889年-赫兹(德国人)发射电磁波。
电磁学:「电」源自希腊文「琥珀」(elektron)。
17世纪:吉尔伯特(英国人)发现地磁。
18世纪:静电、静磁、库仑定律。
1800年:伏打电池。
1820年:奥斯特发现电流产生磁。安培发现电流和磁场关系。
1826年:欧姆发现欧姆定律。
1830年:亨利(美国人)发现变动的电流和感应电压之关系。
1831年:法拉第(英国人) 发现电磁感应定律。
1864年:麦克斯韦提出麦克斯韦方程式(Maxwell quation)。
近代物理学(两大基石:量子力学及相对论)
「二十世纪」以后发展的物理称为近代物理。
1900年普朗克(德国人)提出量子论,经20多年发展成量子力学。
1905年爱因斯坦提出狭义相对论。
近代物理以研究对象作为分类依据
基本粒子物理(elementary particle physics)
原子核物理(nuclear physics)
原子分子物理(atomic and molecular physics)
凝态物理(condensed matter physics)
表面物理(surface physics)
等离子体物理(plasma physics)
物理学的发展对人类生活的影响
古典 物理学的影响
力学:筷子、钉锤、板手、天平-利用杠杆、轮轴、滑轮、螺旋等简易机械。
钟表-利用摆振荡的等时性。
飞机-利用流体力学。
光学:镜子、车灯-利用光反射。
放大镜、照相机-利用光折射。
望远镜、显微镜、投影机、摄影机、电影放映机-综合应用。
热学:用火烤熟食物、用火来驱逐野兽。
冰箱、冷暖气机、蒸汽机、内燃机-利用热能与功相互转换。
温度计-利用热胀冷缩。
电磁学:发电厂-利用电磁感应。
洗衣机、电扇-利用电能驱动马达。
电灯、电饭锅、电熨斗-利用电能转换成热能或光能。
收音机、电视、无线电话、微波炉-利用电磁波原理。
近代物理学的影响
雷射(Light Amplification by Stimulated Emission of
Radation,简称LASER)- 利用原子能态跃迁
核能发电-利用原子核物理
晶体管-利用半导体物理
超导体-高温、低温超导
电脑、通信 、航天科技、宇宙探索、混沌
§1.2 物理学科的美学特点
三性
简洁性:
1)物理模型: 质点 ,波
2)光电效应: 截止频率,逸出功,饱和电流,截止电压,延迟时间,-----爱因斯坦公式: mv2/2=h