第二章 质点运动学
教学时数:10
教学目的与要求:
(1)使学生牢固掌握即时速度和即时加速度的概念。
(2)要区分时刻与时间间隔以及位置坐标、位置矢量、位移和路等概念。
(3)要求掌握位移图线与速度图线,并能应用它们来计算位移及速度、加速度。
(4)要熟练掌握匀加速直线运动规律并能灵活运用,重点研究自由落体及竖直上抛运动。
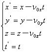
(5)掌握好位移、速度及加速度的矢量性,能正确进行速度的合成分解。仅讲授动坐标系作平移的情况下的相对运动。
(6)要熟练掌握圆周运动及切向加速度、法向加速度的意义。
(7)通过抛体运动的学习,使学生对运动的独立性及运动的合成有明确的认识。
(8)在圆周运动基础上介绍一般曲线运动,但不作深入研究。
(9)熟练掌握在不同坐标系下,速度、加速度的表达形式。
教学重点:
参照系和坐标系;质点;时间和时刻,位置矢量,位移、速度、加速度;运动方程,运动迭加原理,切向加速度和法向加速度。角位移、角速度、角加速度;角量与线量的关系,相对运动.
教学难点:
运动方程, 相对运动
本章主要阅读文献资料:
顾建中编 《力学教程》 人民教育出版社
赵景员、王淑贤编 《力学》 人民教育出版社
漆安慎 杜婵英 《〈力学基础〉学习指导》 高等教育出版社
质点运动学方程
一、质点的位置矢量与运动学方程
位置矢量的引入,例:研究某时刻直升飞机在空中的位置。
首先选择参考系如图:设地面上的某一点为参考点,飞机视为质点。
仅由飞机和参考点的距离
并不能确定飞机的方位(飞机可以位于以参考点为球心的球面上的任何位置),只有确定飞机的方位,才能完全唯一的确定飞机的位置。
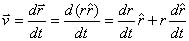
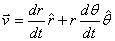
1. 位置矢量的定义:
由参考点指向质点所在位置的矢量为质点的位置矢量,简称“位
矢”。如图中的
,即是 P 点的位矢:通常用
表示。
若建立如图所示的直角坐标系,令坐标原点和参考点重合,则有位矢
的正交分量形式:
(1)
上式中的
称为位置坐标,即:位矢
在坐标轴上的投影。
有上述定义可知:“位矢
”可以描述质点的位置。同样:建立坐标系后的“位置坐标”也可以描述质点位置。
位矢的大小:
![]()
位矢的方向(用方向余弦表示):

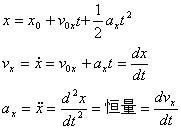
2.质点的运动学方程 
由于质点的运动,不同时刻,位矢不同,故有:
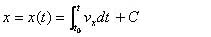
(2)
上式即为质点的运动学方程。即:位矢
随时间的变化规律
质点的运动学方程描述:任意时刻质点的位置。
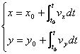
建立直角坐标系:
(3)
∴ 质点运动学方程的标量形式为:
(4)
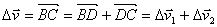
二、位移——位置矢量的增量
设:飞机在 t 时刻位于 P 点,位矢为
;
在
时刻位于 Q 点,位矢为
。
1. 位移的定义:质点初位置引向末位置的矢量,称为这段时间的位移。简称位矢的增量:
(5)
2.位移在直角坐标中的正交分解式:
∴
(6)
上式表明:位移可由位置坐标的增量决定:
(7)
上式即为直角坐标系的正交分解形式。
3.路程:在一段时间内,质点在其轨迹上经过的路程的总长度。
位移与路程的区别:
位移是矢量,路程是标量;一般情况下二者大小不等
,但质点作单方向的直线运动时,位移大小与路程相等;当
,即:时间无限短时,位移大小与路程相等。
练习题:质点运动学方程为:
(1)求质点轨迹;(2)求自t=一1至t=1质点的位移。
速度和加速度矢量
一、平均速度与瞬时速度
考虑质点在
时间内,发生的位移: ![]()
(一) 平均速度
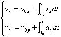
1、 平均速度的定义:
(1)
即:质点的位移与发生这段位移所用的时间的比值,就叫做这段时间的平均速度。
或者:平均速度等于位置矢量对时间的平均变化率。
2、 平均速度的性质:
平均速度是矢量,方向沿该段时间的位移方向,即和
的方向一致。
3、 平均速度的正交分解式:
在直角坐标系中,由于位移
,则
,因此平均速度的分量表达式为:
(2)
即:平均速度的在直角坐标系的投影等于位置坐标对时间的平均变化率。
4、 意义:
平均速度仅提供该段时间内总体上位置变动的方向和平均快慢的程度。时间越短(
越小),平均速度越能精细地反映运动状况。
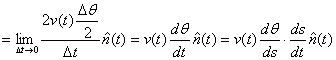
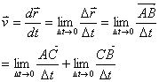
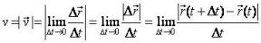
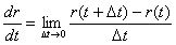
(二) 瞬时速度
由(1)式平均速度定义可知:
当
时,
将趋于某一极限值,其方向趋于 t 时刻质点所在位置轨迹(位置矢量矢端曲线)的切线方向,大小反映了 t 时刻质点运动的快慢。
1、 定义:
质点在 t 时刻的瞬时速度等于 t 至
时间内平均速度在
时的极限。
符号为:
;数学公式为:
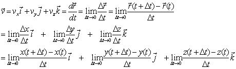
(3)
即质点的瞬时速度等于位置矢量对时间的变化率。
也就是:质点的瞬时速度等于位置矢量对时间的一阶导数。
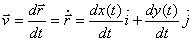
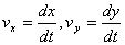
2、 瞬时速度在直角坐标系中的正交分解式:

,
,
即:瞬时速度矢量的投影等于对应位置坐标对时间的一阶导数。
3、 讨论:
瞬时速度的方向沿该时刻质点所在处轨迹的切线,并指向质点运动的方向。
瞬时速度的大小反映质点在该瞬时运动的快慢,称为“瞬时速率”,
![]()
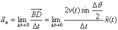
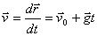
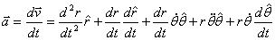
二、平均加速度与瞬时加速度
(一)、平均加速度
设
时刻质点速度为
,
时刻的速度 ![]()
速度的增量:
![]()
1、 定义:
速度的增量(变化量)与发生这一增量(变化量) 所用时间之比为这段时间的平均加速度。
符号:<
>
性质:矢量
数学表示式:
平均加速度也称作速度对时间的平均变化率。
2、 意义:
平均加速度反映该段时间内总体上速度变化的快慢和
方向,其方向沿速度增量的方向。
3、 平均加速度在直角坐标系中的分量形式:(自己推导)
![]()
即:平均加速度矢量的投影等于速度矢量对应投影对时间的平均变化率。
(二)、瞬时加速度
1、定义:
质点在 t 时刻的瞬时加速度等于 t 至
时间内平均加速度在
时的极限。
符号: ![]()
数学表示:
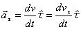
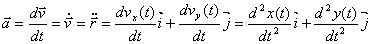
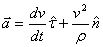
即:质点的瞬时加速度等于速度矢量对时间的变化率或一阶导数。
或者:质点的瞬时加速度等于位置矢量对时间的二阶导数。
2、意义:
瞬时加速度的大小反映速度变化的快慢。
瞬时加速度的方向沿速度矢端曲线(速度矢端曲线:若令速度矢量均自一点出发,则速度矢量矢端描出的曲线)的切线,且指向时间增加的方向。
3、瞬时加速度在直角坐标系中的正交分解式:(推导过程省略)
![]()
即:瞬时加速度在坐标轴上的投影等于位置对时间的二阶导数。
由上述公式可知:若已知质点运动的运动学方程
,即可通过微分学而求得质点运动的速度
和加速度
。
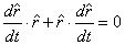
讨论:
原因:
∵
而
其中
是位矢差的模,
是位矢模的差;显然不同,如图所示。由此可知: ![]()
同理有:
即:两端同时去掉矢量箭头是不成立的。
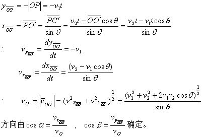
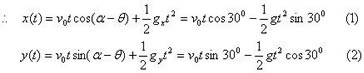
例题:两根足够长的细杆AB,CD分别以
和
沿如图所示垂直于杆的方向运动,求两杆交点处的速度
。
解:设t时间后,两杆运动的位置如图所示
和
,又设初时刻两杆间的夹角为
,则有:
,建立如图的坐标系,原点O在两杆初时刻的交点处,
轴沿杆AB的方向,
轴与
的交点是P点,
和
的交点是
点,有 :


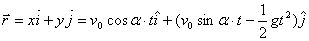
练习题 1.一小圆柱体沿抛物线轨道运轨。抛物线轨道为y=x2/200(长度:毫米)。第一次观察到圆柱体在x=249mm处,经过时间2ms后, 圆柱体移到x=234mm处.求圆柱体瞬时速度的近似值。
2:(1)
,R为正常数;求t=0,
时的速度和加速度。
(2)
,求t=0,l时的速度和加速度〔写出正交分解式)
质点直线运动(1)——从坐标到速度和加速度
一、运动学方程
选择ox轴的坐标系,原点位于参考系的参考点上,ox轴与质点的轨迹重合,则质点的位置矢量:
(1)
由于单位矢量
是一恒矢量,位矢的矢端与位置坐标
一一对应,所以有标量函数:
(2)
可以描述质点的直线运动。(2)式可以称为质点直线运动的运动学方程。
二、速度与加速度
沿x轴运动的瞬时速度大小:
,其正负对应于质点沿ox轴正向和负向运动。
沿x轴运动的瞬时加速度大小:
,其正负对应于质点加速度沿ox轴正向和负向。
注意:加速度的正负不能说明质点作加速或减速运动。
例如:匀速直线运动中:
;
匀加速直线运动中 :
其中:
。
例如:自由落体运动: