第十章  齿轮机构

() 基本要求:

1  了解齿轮机构的类型及功用。 

2  理解齿廓啮合基本定律。

3  了解渐开线的形成过程,掌握渐开线的性质、渐开线方程及渐开线齿廓的啮合特性。

4  深入理解和掌握渐开线直齿圆柱齿轮啮合传动需要满足的条件。

5  了解范成法切齿的基本原理和根切现象产生的原因,掌握不发生根切的条件

6  了解渐开线直齿圆柱齿轮机构的传动类型及特点。学会根据工作要求和已知条件,正确选择传动类型,进行直齿圆柱齿轮机构的传动设计。

7  了解平行轴和交错轴斜齿圆柱齿轮机构传动的特点,并能借助图表或手册对平行轴斜齿圆柱齿轮机构进行传动设计。

8  了解阿基米德蜗杆蜗轮机构传动的特点,并能借助图表或手册进行传动设计。

9  了解直齿圆锥齿轮机构的传动特点,并能借助图表或手册进行传动设计。

10了解非圆齿轮机构的传动特点和适用场合。

(二)教学内容:

1  齿轮机构的应用和分类

2  齿轮的共轭齿廓曲线;

3  渐开线及其齿廓啮合特性;

4  渐开线标准齿轮的参数和尺寸;

5  渐开线直齿圆柱齿轮的啮合传动;

6  渐开线齿廓的切削加工;

7  渐开线变位齿轮;

8  变位齿轮传动及设计;

9  斜齿圆柱齿轮机构;

10              蜗轮蜗杆机构;

11              锥齿轮机构。

(三)重点难点:

    学习本章的目的是了解齿轮机构的类型、特点及功用,掌握其设计方法。其中,渐开线直齿圆柱齿轮机构的传动设计是本章的重点。对于其他齿轮机构重点掌握其与直齿圆柱齿轮机构的特性及异同点。

        

 

101齿轮机构的应用和分类

齿轮机构是现代机械中应用最为广泛的一种传动机构。它可以用来传递空间任意两轴之间的运动和动力,而且传动准确、平稳、机械效率高、使用寿命长,工作安全可靠 按照一对齿轮传动的传动比是否恒定,齿轮机构可分为两大类

定传动比

圆形齿轮机构

平面齿轮机构

传递平行轴运动

齿轮外啮合齿轮传动

直齿轮内啮合齿轮传动

直齿轮齿轮齿条传动

平行轴斜齿圆柱齿轮传动

人字齿轮传动

空间齿轮机构

传递相交轴运动

圆锥齿轮传动

传递交错轴运动

交错轴斜齿圆柱齿轮传动

蜗杆蜗轮传动

变传动比

圆齿轮机构

102齿轮的共轭齿廓曲线

1共轭齿廓:指两齿轮相互接触传动并能实现预定传动比规律的一对齿廓。

2.齿廓啮合基本定律

 图示为一对分属于齿轮1和齿轮2的两条齿廓曲线G1G2在点K 啮合接触的情况。齿廓曲线G1O1点转动,G2 O2 转动。过K点所作的两齿廓的公法线nn与连心线 O1O2 相交于点C

 由三心定理知,点C是两齿廓的相对速度瞬心,齿廓曲线G1和齿廓曲线G2在该点有相同的速度:

     

由此可得         7.1 

我们称点C为两齿廓的啮合节点,简称节点。 由以上分析可得齿廓啮合基本定律: 两齿廓在任一位置啮合接触时,过接触点所作的两齿廓的公法线必通过节点C,它们的传动比等于连心线O1O2被节点C 所分成的两条线段的反比。要求为常数,则由式(7.1)可知,其齿廓曲线需满足的条件是:节点C为连心线上的一个定点。当两齿轮作定传动比传动时,节点C在齿轮1运动平面上的轨迹是以O1为圆心、以 O1C )为半径的圆;节点C在齿轮2运动平面上的运动轨迹是以O2为圆心、以O2C ( )为半径的圆。由于啮合传动的两齿廓在节点C有相同的速度 ,所以两个圆在传动过程中作无滑动的纯滚动,我们把这两个圆称为节圆。

即一对齿轮啮合传动的传动比,等于两齿轮节圆半径的反比。

在给定工作要求的传动比的情况下,只要给出一条齿廓曲线,就可以根据齿廓啮合基本定律求出与其共轭的另一条齿廓曲线。因此,理论上满足一定传动比规律的共轭曲线有很多。但在生产实践中,选择齿廓曲线时,还必须综合考虑设计、制造、安装、使用等方面的因素。目前常用的齿廓曲线有渐开线、摆线、变态摆线、圆弧曲线、抛物线等。其中以渐开线作为齿廓曲线的齿轮(称为渐开线齿轮)应用最为广泛。为什么?下一节我们研究渐开线的特点。    

103渐开线及其齿廓啮合特性

1.渐开线的形成

直线BK沿半径为rb的圆作纯滚动时,直线上任一点K 的轨迹称为该圆的渐开线。该圆称为渐开线的基圆

rb --- 基圆半径

BK --- 渐开线发生线

  --- 渐开线上K点的展角

 

 

 

 

 

 

 

 

1  渐开线的特性

(1)发生线沿基圆滚过的长度,等于基圆上被滚过的圆弧长度。   

     由于发生线BK在基圆上作纯滚动,故

 

2渐开线上任一点的法线恒与基圆相切。

发生线BK沿基圆作纯滚动,它与基圆的切点B即为其速度瞬心,所以发生线BK为渐开线在K点的法线。又由于发生线恒切于基圆,故渐开线上任一点的法线恒与基圆相切。

(3)渐开线上越远离基圆的点,其曲率半径愈大,渐开线愈平直

发生线BK与基圆的切点B是渐开线在点K 的曲率中心,而线段KB是相应的曲率半径,故渐开线上离基圆愈远的部分,其曲率半径愈大,渐开线愈平直;渐开线初始A的曲率半径为零。

4基圆内无渐开线

5渐开线的形状取决于基圆的大小 。

基圆愈小,渐开线愈弯曲;基圆愈大,渐开线愈平直。当基圆半径为无穷大,其渐开线将成为一条直线。

 

 

 

 

 

2.渐开线方程式

建立渐开线方程式前,我们先了解一下渐开线压力角的概念:    

      当以渐开线作为齿轮齿廓曲线并与其共轭的齿廓在K点啮合时,该齿廓在K点所受正压力的方向线为KB,齿轮绕O点转动时,K点速度方向线为Kv,两者之间所夹的锐角称为渐开线在K点的压力角, 表示,其大小等于KOB

O为极点,OA为极轴,建立渐开线的极坐标方程。
      OBK可知:

向径:    

极角:

 

称为压力角的渐开线函数,工程上用 表示。

渐开线的极坐标方程式:

                          

为使用方便,在工程中已把不同压力角的渐开线函数值列成渐开线函数表

 

3  渐开线齿廓啮合的定传动比性

    由于啮合线为一条定直线,故C点为一定点,所以能实现定传动比传动。传动比为: 

                         

 

 

 

 

 

4.渐开线齿廓传动的可分性和平稳性

 

中心距变化前

                            

中心距变化后(如下图所示),C点随之改变,但rb1,rb2不变,故传动比不变。说明中心距变化后,只要一对渐开线仍能啮合传动,就能保持原来的传动比不变,这一特性称为中心距可变性。 优点对渐开线齿轮的加工,安装和使用十分有利。

     如图所示,一对渐开线齿廓在点K 相啮合。由渐开线的性质可知,这对齿廓在点K 法线N1K  N2K 分别切于各自的基圆。由于这对齿廓在K点相切接触构成高副,则必有一条过点K 的公法线。因此N1K N2K  必与此公法线重合而成为一条直线 N1N2,成为两基圆的一条内公切线。

无论两齿廓在什么位置啮合,啮合点都在两基圆的内公切线 N1N2 上,这条内公切线就是啮合点K 走过的轨迹,称为啮合线。在两基圆的大小和位置都确定的情况下,在同一方向上只有一条内公切线,所以,啮合线为一条定直线。 优点:在渐开线齿轮传动过程中,齿廓间的正压力方向始终不变,对传动的平稳性极为有利。

104渐开线标准齿轮的参数和尺寸

1齿轮各部分的名称和代号

齿轮上每个凸起部分称为齿,齿轮的齿数用 z 表示。

分度圆:人为选定的设计齿轮的基准圆。半径用r、直径用 d 表示

齿顶圆:过所有轮齿顶端的圆。半径 用 ra、直径用 da表示。

齿顶高:分度圆与齿顶圆之间的径向距离。用ha 表示。

齿根圆:过所有齿槽底部的圆。半径 用 rf 、直径用 df 表示。

齿根高:分度圆与齿根圆之间的径向距离。用hf 表示。

全齿高:齿顶圆与齿根圆之间的径向距离。用h 表示。

基圆:产生渐开线的圆。半径用 rb、直径用db 表示。

齿厚:每个轮齿上的圆周弧长。 在半径为 rk 的圆上度量的弧长称为该半径上的齿厚,用 sk表示;在分度圆上度量的弧长称为分度圆齿厚,用 s 表示。

槽宽:两个轮齿间槽上的圆周弧长。在半径为 rk 的圆周上度量的弧长称为该半径上的槽宽,用ek 表示。在分度圆上度量的弧长称为分度圆槽宽,用 e 表示。

齿距:相邻两个轮齿同侧齿廊之间的圆周弧长。在半径为 rk 的圆周上度量的弧长称为该半径的齿距,用 pk 表示;显然。 在分度圆上度量的弧长称为分度圆齿距,用 p 表示,。 在基圆上度量的弧长称为基圆齿距,用 pb 表示,

法向齿距:相邻两个轮齿同侧齿廊之间在法线方向上的距离。用 pn 表示。由渐开线性质可知

1.基本参数

我们知道了齿轮各部分的定义及名称,那么,齿轮各部分的关系是怎样的?如何进行计算?为此,我们规定了以下五个基本参数:

1齿数 Z

2分度圆模数  

分度圆周长 ,因而分度圆直径 d 为:

 从这个式子可见,由于 是无理数,所以不论 p 取任何有理数,都会使计算出的分度圆和以它为基准的其它圆的直径为无理数,这会给齿轮的设计、制造和测量带来诸多不便,为此,我们人为地将 的比值取为有理数,用m表示, 我们将m称为分度圆模数,简称为模数,单位是mm

3分度圆压力角

分度圆确定后,就要确定用作齿廓曲线的渐开线的形状。渐开线的形状是由基圆决定的,由 可知,已知分度圆半径后,只要选定一个分度圆压力角,就可以求出基圆半径:

4齿顶高系数  

     齿顶高ha用齿顶高系数ha*与模数的乘积表示:

5顶隙系数

    齿根高hf用齿顶高系数ha*与顶隙系数c*之和乘以模数表示:

在这五个参数中,模数m、压力角ha*c*都已标准化,设计齿轮时,一般按国家标准选取

2  几何尺寸计算公式

两个重要定义:

分度圆——-齿轮中具有标准模数和标准压力角的圆;

标准齿轮—-mha*c* 四个基本参数为标准值外,还有两个特征:

1分度圆齿厚与槽宽相等,即        
2具有标准齿顶高和齿根高,即,
 不具备上述特征的齿轮是非标准齿轮。

4.任意圆上的齿厚

一个齿轮不同圆上的齿厚是不一样的,下面推导任意圆齿厚的公式,由图可知:

        

据上式可得齿顶圆齿厚:  

式中 为齿顶圆压力角

节圆齿厚:         其中 为节圆半径, 为节圆压力角

基圆齿厚: 

105渐开线直齿圆柱齿轮的啮合传动

1.正确啮合条件

1              2                3

中的齿轮都是渐开线齿轮,但12中的主动轮只能带动从动轮转过一个小角度就卡死不能动了,而3中的主动轮可以带动从动轮整周转动,看来并不是任意两个渐开线齿轮都能正确地进行啮合,而是必须满足一定的条件,即正确啮合条件。那么,这个条件是什么?

     3中可以看出:两个渐开线齿轮在啮合过程中,参加啮合的轮齿的工作一侧齿廓的啮合点都在啮合线N1N2上。而在12中,工作一侧齿廓的啮合点H不在啮合线N1N2上,这就是两轮卡死的原因。

     3图中可以看出

   是齿轮1的法向齿矩是齿轮2的法向齿矩 ,亦即:

    这个式子就是一对相啮合齿轮的轮齿分布要满足的几何条件,称为正确啮合条件。

  由渐开线性质可知,法向齿距与基圆齿距相等,故上式也可写成

  代入式中得:

 

   由于模数m和压力角均已标准化,不能任意选取,所以要满足上式必须使:

 

  结论:一对渐开线齿轮,在模数和压力角取标准值的情况下,只要它们分度圆上的模数和压力角分别相等,就能正确啮合。

2.连续传动条件

      图中B2点(从动轮2齿顶圆与啮合线N1N2的交点),是一对轮齿啮合的起始点。随着啮合传动的进行,两齿廓的啮合点沿着啮合线移动,直到B1点(主动轮1的齿顶圆与啮合线的交点)时,两轮齿即将脱离接触,B1点为轮齿啮合的终止点。

    从一对轮齿的啮合过程来看,啮合点实际走过的轨迹只是啮合线上的一段,即,称为实际啮合线。当两轮齿顶圆加大时,点B2和B1将分别趋近于点N1和N2,实际啮合线将加长,但因基圆内无渐开线,所以实际啮合线不会超过N1N2,即N1N2是理论上可能的最长啮合线,称为理论啮合线。  

齿轮连续传动的条件是实际啮合线大于或至少等于法向齿距。我们把的比值用 表示, 称为齿轮传动的重合度,故齿轮连续传动的条件为:

 

    从理论上讲重合度1就能保证齿轮的连续传动,但在实际应用中考虑到制造和安装的误差,为确保齿轮传动的连续, 应大于或至少等于许用值[],

 

3.无侧隙啮合条件

为了避免齿轮在正转和反转两个方向的传动中齿轮发生撞击,要求相啮合的轮齿的齿侧没有间隙。图所示为主动齿轮与从动齿轮处于无齿侧间隙啮合状态的情况当主动轮按顺时针方向转动时: 两轮齿廓在节圆上的共轭点b1、b2将同时到达C点。由于两节圆作纯滚动,故有:     当主动轮按逆时针方向转动时:  两轮齿廓在节圆上的共轭点a1、a2将同时到达C点。由于两节圆作纯滚动,故有:  由此可得:

是主动轮在节圆 j1上的槽宽 是从动轮在节圆 j2上的齿厚

                 

无侧隙啮合条件为:一个齿轮节圆上的槽宽等于另一个齿轮节圆上的齿厚。

 

4.标准安装

如图所示为满足正确啮合条件的一对外啮合标准直齿圆柱齿轮,它的中心距是两轮分度圆半径之和,此中心距称为标准中心距。

    啮合线N1N2O1O2的交点C是啮合节点,而两轮分度圆也相切于C点,所以分度圆与节圆重合为一个圆。即    

 

由于标准齿轮的分度圆齿厚与槽宽相等,因此

结论:两个标准齿轮如果按照标准中心距安装,就能满足无齿侧间隙啮合条件,能实现无齿侧间隙啮合传动。   

从图中可以看出一轮齿顶与另一轮齿根之间有一个径向间隙c ,我们称为顶隙,它是为储存润滑油以润滑齿廓表面而设置的,这就是标准齿轮齿根高大于齿顶高的原因,并因此把c*称为顶隙系数。在上述的安装情况下cc*m c*m 称为标准顶隙一对标准齿轮按照标准中心距安装,我们称之为标准安装 

106渐开线齿廓的切削加工

1.齿廓的切削加工原理

近代齿轮加工方法很多,如:切制法、铸造法、热轧法、冲压法、电加工法等。但从加工原理的角度看,可分为两大类,即仿形法范成法

(1)仿形法

仿形法是用与齿槽形状相同的成形刀具或模具将轮坯齿槽的材料去掉。常用的有铣削法拉削法

     铣削法优点:在普通铣床上即可加工齿轮,加工费用低 缺点:由于受到铣刀号数的限制,加工的大多数齿数的齿轮的渐开线齿廓形状不准确,且采用分度头转位引入分度误差,因而加工出的齿轮的精度低。另外,由于只能逐个加工齿槽,生产效率低。这种加工方法适用于修配或小量生产。

拉削法是利用齿轮拉刀来加工齿轮的。优点:加工精度和加工效率都非常高。缺点:拉刀价格昂贵,需要专用的机床这种加工方法适用于大批量的专业化生产。

2)范成法

范成法是利用一对齿轮作无侧隙啮合传动时,两轮齿廓互为包络线的原理来加工齿轮的方法。它又称为包络法、展成法,是目前齿轮加工中最常用的一种切削加工方法。

一对齿轮作无侧隙啮合传动时,共存在四个基本因素:两个几何因素(两轮的渐开线齿廓);两个运动因素(两轮的角速度)。在这四个因素中,只要给定其中任何三个因素,就能获得第四个因素 齿轮刀具加工齿轮时,是已知两个运动因素(利用机床传动系统人为地使刀具与轮坯按 的关系运动)和一个几何因素(刀具的齿廓),通过包络,得到第四个因素---轮坯上的齿廓。

常用的刀具有齿轮插刀、齿条插刀和齿轮滚刀。

 

2.用标准齿条型刀具加工标准齿轮

从图中可以看出,齿条型刀具与传动用齿条在几何尺寸上的不同点是:顶部多出c*m段。

顶部c*m段的作用:加工出齿轮齿根部分的顶隙。顶部c*m段(齿顶线以上)的刀刃不是直线而是一段圆弧,它切削出被加工齿轮靠近齿根圆的一段非渐开线曲线,这段曲线称为过渡曲线,它把渐开线齿廓与齿根圆光滑地连接起来。当一对齿轮啮合传动时,这段曲线不参与啮合。刀具中线与被加工齿轮分度圆相切并作纯滚动,加工出的齿轮就是标准齿轮 

 

3.渐开线齿廓的根切及其成因

用范成法加工齿轮时,有时会发现刀具的齿顶部分把被加工齿轮齿根部分已经范成出来的渐开线齿廓切去一部分,这种现象称为根切

      产生严重根切的齿轮,一方面削弱了轮齿的抗弯强度,另一方面使实际啮合线缩短,从而使重合度降低,影响传动的平稳性。因而应力求避免发生根切现象。发生根切的根本原因在于刀具的齿顶线超过了极限啮合点N1,即当 时,就会发生根切根切的成因可通过几何关系证明。

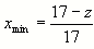
4.渐开线标准齿轮不根切的最少齿数

由图可知:

   

要不产生根切需满足:

   

由此得不产生根切的最少的齿数:  

   

  时,zmin17

 

标准齿轮不发生根切的最小齿数是17

107渐开线变位齿轮

1.渐开线标准齿轮的局限性

2.变位修正法

3.不根切的最小变位系数

如果根据传动要求确定了齿轮的齿数z,而z < zmin,要避免根切只能将刀具远离轮坯中心移动一段距离,最少移动多少距离,可避免根切?

如图所示,移动的距离用xm来表示(x称为变位系数,则:   

    

不发生根切须满足: 

由此可得:         

则最小变位系数为:  

时: 

4.变位齿轮的几何尺寸

此图为标准齿条型刀具加工正变位齿轮的情况,刀具中线远离轮坯中心移动了xm的距离,即径向变位量xm>0。从图中可以看出,刀具节线上的齿厚比刀具中线上的齿厚减少了 。由于齿条刀具的节线与轮坯的分度圆相切并作纯滚动,则被加工齿轮分度圆上的槽宽也减少 。由IKJ可知:KJ=xmtanα 。因此正变位齿轮分度圆上的槽宽为:

   而分度圆齿厚为:

加工正变位齿轮时,刀具中线与节线分离,移出xm距离因此齿根高比标准齿轮减少了xm, 即 ,故齿根圆半径为:

为保持全齿高不变,仍等于(2ha*+c*)m,则齿顶高为ha=ha*+x)m,齿顶圆半径为:

108变位齿轮传动及设计

1无齿侧间隙啮合方程式

一对相啮合的齿轮为了实现无齿侧间隙啮合,必须满足下列条件,

根据

整理后,可得无齿侧间隙啮合方程式

 

2传动类型及其选择

按照一对齿轮变位系数之和的不同,可分为三类:

(1)零传动:一对齿轮的变位系数之和等于零。

    a.标准齿轮传动:两轮的变位系数均为零,即

    b.等变位齿轮传动:两轮的变位系数不为零,但

(2)正传动:一对齿轮的变位系数之和大于零。

(3)负传动:一对齿轮的变位系数之和小于零。

注意:正传动优点较多,一般情况下,应采用正传动;负传动缺点较多,除用于配凑中心距外,一般不用。在传动中心距等于标准中心距的情况下,为提高传动质量,可采用等变位齿轮传动代替标准齿轮传动。

109斜齿圆柱齿轮机构

1.齿面形成及啮合特点

   

斜齿圆柱齿轮齿面的形成原理与直齿圆柱齿轮相似,所不同的是,发生面上展成渐开面的直线KK不再与基圆柱母线NN平行,而是相对于NN偏斜一个角度,如图所示。称斜齿轮基圆柱上的螺旋角。显然,越大,轮齿的齿向越偏斜,而当 时,斜齿轮就变成了直齿轮。因此可以认为直齿圆柱齿轮是斜齿圆柱齿轮的一个特例。传动情况如下图:

 

2.斜齿轮的基本参数

   斜齿轮的法面参数为标准值

3.斜齿轮的几何尺寸及传动中心距

4.斜齿圆柱齿轮的当量齿数

5.斜齿圆柱齿轮的啮合传动及其特点

1)正确啮合条件:

             

2)连续传动条件:

要保证一对平行轴斜齿圆柱齿轮能够连续传动,其重合度必须大于等于1

图示是直齿圆柱齿轮传动和平行轴斜齿圆柱齿轮传动的对照,B2B2表示进入啮合的位置,B1B1表示脱离啮合的位置。 斜齿轮到达位置1时一端进入啮合,到达2时全齿宽进入啮合,到达3时一端脱离啮合,到达4时全齿宽脱离啮合。

因此,平行轴斜齿轮传动的实际啮合区比直齿轮传动增大了 ,增大的重合度称为纵向重合度,用 表示,

由于 ,故

而端面重合度

为端面啮合角, 为端面齿顶圆压力角)

总重合度 

  

1011蜗轮蜗杆机构

蜗杆蜗轮机构是用来传递两交错轴之间运动的一种齿轮机构,通常取其交错角=90°

1.蜗轮蜗杆机构的形成及传动特点

蜗杆蜗轮机构是由交错轴斜齿圆柱齿轮机构演变而来的,如图所示交错角=90°、螺旋角旋向相同,小齿轮螺旋角很大,分度圆柱直径较小、轴向长度较长、齿数很少,外形像一根螺杆,称为蜗杆。蜗轮实际上是一个斜齿轮。

蜗轮蜗杆机构的传动特点

1传动比大,结构紧凑。

(2)传动平稳,无噪声。

(3)具有自锁性。

(4)传动效率较低,磨损较严重。

(5)蜗杆轴向力较大,致使轴承摩擦损失较大。

常用于两轴交错、传动比较大、传递功率不太大或间歇工作的场合。当要求传递功率较大时,为提高传动效率,常取 。此外,由于当 较小时机构具有自锁性,故常用于卷扬机等起重机构中。

 

2.蜗轮蜗杆传动的类型

本节着重介绍普通圆柱蜗杆机构中最简单的阿基米德蜗杆机构。阿基米德蜗杆的端面齿形为阿基米德螺线。

 

3.蜗轮蜗杆的啮合传动

蜗杆传动的中间平面
    过蜗杆轴线作一垂直于蜗轮轴线的平面。在该平面内蜗杆与蜗轮的啮合传动相当于齿条与齿轮的传动。

正确啮合条件:

    

分别为蜗杆的轴面模数和压力角; 分别为蜗轮的端面模数和压力角。)还必须满足 ,且蜗杆与蜗轮旋向相同。

 

4.蜗轮蜗杆传动的基本参数与几何尺寸

模数  参照国标。

压力角阿基米德蜗杆压力角 。此外,在动力传动中,允许 ;在分度传动中,允许

导程角:螺旋线导程 表示蜗杆头数, 表示轴向齿距,其导程角由下式求出

                       

蜗杆头数和蜗轮齿数:

                        

蜗杆直径系数:蜗杆分度圆直径 与模数 的比值,用 表示。

1012锥齿轮机构

1.直齿锥齿轮齿廓的形成

如图,一个圆平面S与一个基圆锥切于直线OC,圆平面半径与基圆锥锥距 R 相等,且圆心与锥顶重合。当圆平面绕圆锥作纯滚动时,该平面上任一点B将在空间展出一条渐开线AB。渐开线必在以O 为中心、锥距 R 为半径的球面上,成为球面渐开线。

为了便于设计和加工,需要用平面曲线来近似球面曲线。

 

 

 

2.背锥及当量齿数

OAB 为分度圆锥, 为轮齿在球面上的齿顶高和齿根高,过点A 作直线AO1AO,与圆锥齿轮轴线交于点O1,设想以OO1为轴线,O1A为母线作一圆锥O1AB,称为直齿圆锥齿轮的背锥。由图可见AB 附近背锥面与球面非常接近。因此,可以用背锥上的齿形近似地代替直齿圆锥齿轮大端球面上的齿形。从而实现了平面近似球面。

将背锥展成扇形齿轮,它的参数等于圆锥齿轮大端的参数,齿数就是圆锥齿轮的实际齿数 。将扇形齿轮补足,则齿数增加为。这个补足后的直齿圆柱齿轮称为当量齿轮,齿数称为当量齿数其中

当量齿数的用途

(1)仿形法加工直齿圆锥齿轮时,选择铣刀的号码。

(2)计算圆锥齿轮的齿根弯曲疲劳强度时查取齿形系数。

 

3.直齿锥齿轮的啮合传动

3  直齿锥齿轮传动的参数与几何尺寸

直齿圆锥齿轮大端模数 的值为标准值,压力角