2023-2024 学年第 学期

 

 

 

 

课程名称:    燃烧学

课程性质:    专业核心课程限选

授课学时:    48学时

授课对象:    能动(热动21-3

任课教师:    卿梦霞

 

 

 

 

长沙理工大学能动学院

2023.10


全课程教案

 

一、基本信息

课程名称

燃烧学

课程编号

0805020249

课程性质

专业核心课程限选

学分

3

教学安排

总学时48。其中讲授 32 学时,讨论16学时。

授课时间:第 1-10,第1315

周学时

4

相关课程与环节

流体力学、工程热力、传热学、大学化学、大学物理

 

二、授课对象

基本情况

专业

能动(热动

年级

21

班级

3

修读人数

32

授课对象分析

本门课程针对的是能源与动力工程专业热动方向的学生,学生已学习完相关基础课程,本课程后续衔接锅炉原理、热力发电厂、锅炉原理课程设计等课程,授课过程中应注意相关知识点的衔接。

 

三、教学内容与安排

课程简介与要求

 

课程简介本课程为高等学校动力工程与工程热物理学科能源与动力工程专业的本科生专业核心课。课程主要内容包括燃料及燃烧设备、燃烧热力学与动力学基础知识、燃烧系统分析方法与着火理论的基本知识与基本理论,气体、液体及固体燃料的燃料特性、燃烧特点和规律,包括火的形式和条件、火焰的传播、燃烧产物的生成机理等,燃烧科学技术发展中的几个科学问题。通过本课程的学习,使学生能够运用燃烧基本知识与基本理论,分析燃烧过程的复杂工程问题,创新性地提出解决其燃烧过程中问题的解决方案,为减少燃烧过程中污染物的排放和高效的燃烧技术的开发提供指导,为学生今后从事工程技术工作、科学研究及开拓新技术领域,打下坚实的基础。

课程要求通过本课程的学习,使学生能够运用燃烧基本知识与基本理论,表述、解释和分析燃料燃烧过程,并通过查阅文献,分析燃烧过程的复杂工程问题,学生能够综合应用燃烧系统特性、燃料燃烧及污染生成机理等专业知识,并考虑社会、自然及环境等因素,分析燃烧设备燃烧对环境和可持续发展的影响,评价和筛选高效低污染燃烧技术和设备等,选择合适的燃料、燃烧设备及燃烧技术,优化设计燃烧设备,创新性地提出解决其燃烧过程中问题的解决方案,解决实际工程燃烧过程的复杂问题。学生能够采用燃烧系统分析方法等,处理燃烧实验数据,分析燃烧设备燃烧过程,为减少燃烧过程中污染物的排放和高效的燃烧技术的开发提供指导。授课方法和模式应充分调动学生积极性,尽可能采用实际案例进行分析,充分体现理论联系实际,使学生具有良好的学习热情。挖掘课程思政资源,使学生具备工程意识、节能意识、减排意识和协作意识同时,使学生能够更好地学习后续课程的学习,具备日后从事包括电力、汽车、航天航空等相关领域的科学研究、工程设计、运行和项目管理等工作理论基础,为学生今后从事工程技术工作、科学研究及开拓新技术领域,打下坚实的基础。

 

课程目标

课程目标

支撑毕业要求指标点

与课程关联度

  1. 学生能够运用燃烧热力学与动力学基础知识、气体、液体和固体燃烧过程的基本知识与基本理论分析气体、液体和固体的燃烧过程,解决能源与动力工程专业中实际工程燃烧过程的复杂问题。

毕业要求2/工程知识:能够将数学、自然科学、工程基础和专业知识用于解决能源与动力工程专业的复杂工程问题。

H

  1. 学生能运用燃烧学基础理论和专业知识表述和解释气体、液体和固体的燃烧过程,学生能够通过查阅文献,结合燃烧学知识研究和分析燃烧过程的复杂工程问题,选择合适的燃料、燃烧设备及燃烧技术。

毕业要求3/问题分析:能够应用数学、自然科学和工程科学的基本原理,识别、表达、并通过文献研究分析能源与动力工程专业的复杂工程问题,以获得有效结论。

H

  1. 学生能够综合运用气体、液体和固体燃烧知识、燃料燃烧及污染生成机理等专业知识,并考虑社会、自然及环境等因素,优化设计锅炉、内燃机、涡轮机等燃烧设备,进行电站锅炉燃烧设备的选型、布置等,创新性地提出解决其燃烧过程中问题的解决方案

毕业要求4/设计(开发)解决方案能够设计(开发)满足能源与动力工程特定需求的系统、设备或自动控制方案,并在设计环节中考虑社会、健康、安全、法律、文化以及环境等因素。在提出复杂工程问题的解决方案时具有创新意识。

H

  1. 学生能够综合应用煤的着火、燃烧理论等选择和分析电站锅炉所使用的煤种和制粉系统,能够采用燃烧模化、实验研究方法、燃烧系统分析方法等,处理燃料燃烧过程的实验数据,分析锅炉、内燃机、涡轮机等燃烧设备燃烧过程,为减少燃烧过程中污染物的排放和高效的燃烧技术的开发提供指导。

毕业要求5/研究:能够基于科学原理、采用科学方法对能源与动力工程专业的复杂工程问题进行研究,包括设计实验、收集、处理、分析与解释数据,通过信息综合得到合理有效的结论并应用于工程实践。

M

  1. 学生能够综合应用燃料特性、燃烧装置结构、燃烧系统工作原理和性能、污染物排放原理,分析锅炉、内燃机、涡轮机等燃烧设备燃烧对环境和可持续发展的影响,评价和筛选高效低污染燃烧技术和设备等。

毕业要求8/环境和可持续发展:能够理解和评价针对能源与动力工程专业的复杂工程问题的工程实践对环境、社会可持续发展的影响。

M

课程思政

坚持立德树人根本任务,以OBE理念为导向,培养具有创新能力的高素质复合型人才。通过本课程的学习,使学生能够运用燃烧基本知识与基本理论,表述、解释和分析燃料燃烧过程,并通过查阅文献,分析燃烧过程的复杂工程问题,学生能够综合应用燃烧系统特性、燃料燃烧及污染生成机理等专业知识,并考虑社会、自然及环境等因素,分析燃烧设备燃烧对环境和可持续发展的影响,评价和筛选高效低污染燃烧技术和设备等,选择合适的燃料、燃烧设备及燃烧技术,优化设计燃烧设备,创新性地提出解决其燃烧过程中问题的解决方案,解决实际工程燃烧过程的复杂问题。学生能够采用燃烧系统分析方法等,处理燃烧实验数据,分析燃烧设备燃烧过程,为减少燃烧过程中污染物的排放和高效的燃烧技术的开发提供指导。授课方法和模式应充分调动学生积极性,尽可能采用实际案例进行分析,充分体现理论联系实际,使学生具有良好的热情。挖掘课程思政资源,使学生具备工程意识、节能意识、减排意识和协作意识同时,使学生能够更好地学习后续课程的学习,具备日后从事包括电力、汽车、航天航空等相关领域的科学研究、工程设计、运行和项目管理等工作理论基础,为学生今后从事工程技术工作、科学研究及开拓新技术领域,打下坚实的基础。

教学方法

1)以启发交流式教学为主调动学生的学习积极性。首先,要讲好绪论课, 激发学生对燃烧学浓厚的学习兴趣;然后,充分利用多媒体教学课件,课堂图文并茂、声象结合,将气体、液体和固体燃烧过程等复杂的现象形象地呈现出来使学生能够从多方位、立体化方面形成认知。最后,要积极与学生进行沟通,通过翻转课堂等方式及时了解学生的接受情况和学习效果,从燃烧原理入手,进而到燃烧设备的作用、结构和工作原理、燃烧流程,直至燃烧系统等,循序渐进。

2)充分利用数字化技术、网络教学平台等,开展教学活动。课前,教师通过线上教学平台等方式,引导学生提前预习燃烧学基本概念、基本方法和基本原理等知识点;课中,采用课堂提问、分组讨论、模拟和角色扮演、个案分析、基于问题的学习等多样化教学方式,将开放式问题与基本知识点结合,引导学生从多方面学习、理解和思考,能利用燃烧学知识解释、分析实际工程燃烧过程的复杂问题,形成高阶学习;课后,鼓励学生多看参考书,查阅文献资料,撰写科研小论文,综合利用燃烧学知识,选择合适的燃料、燃烧设备及燃烧技术,并考虑社会、自然及环境等因素,优化设计燃烧设备,进行燃烧设备的选型、布置等,解决实际工程燃烧过程的复杂问题,使学生具有分析问题、解决问题的能力。

3以大创项目科创竞赛为依托,培养学生动手能力和创新能力。鼓励学生自愿参加科创小组,申请大创项目,参加科创比赛综合运用燃烧模化、实验研究方法、燃烧系统分析方法等,处理燃料燃烧过程的实验数据,分析燃烧设备燃烧过程,创新性地提出解决其燃烧过程中问题的解决方案。

4拓展性讲座与前沿科技交流。通过燃烧前沿科技的介绍、教师科研课题的引入,拓展性讲座的开展,使课堂教学内容更加丰富,使学生能够综合应用燃料特性、燃烧装置结构、燃烧系统工作原理和性能、污染物排放原理,分析燃烧设备燃烧对环境和可持续发展的影响,评价和筛选高效低污染燃烧技术和设备等,为减少燃烧过程中污染物的排放和高效的燃烧技术的开发提供指导。

为了支撑多样化的考核方式,建立丰富的网络教辅资源库,可以进行课前课后测试、单元测试、期中和期末考试等

教学重点

与难点

重点:燃烧热力学与动力学基础中的化学反应动力学、燃烧与化学平衡、化学热力学及物理问题;了解着火机理,建立气体、液体、固体燃烧实质概念,其反应机理与特点

难点:燃烧及燃烧设备与燃烧过程的宏观空间模型及概念,燃烧的发展过程及其调控方法

课程各教学环节内容与安排

知识单元

知识点

课内学时

教学方式

作业/测验

课外学习

CH1

绪论

2

线下讲授

1

查阅相关资料

CH2

燃烧化学反应动力学基础

8

讨论+讲授

1

查阅相关资料

CH3

燃烧空气动力学基础-混合与传

6

讨论+讲授

1

查阅相关资料

CH4

着火理论

6

讨论+讲授

1

查阅相关资料

CH5

气体燃烧

6

讨论+讲授

1

查阅相关资料

CH6

液体燃烧

6

讨论+讲授

1

查阅相关资料

CH7

煤的燃烧

8

讨论+讲授

1

查阅相关资料

CH8

燃烧科学技术发展中的几个科学问题

6

讨论+讲授

1

查阅相关资料

注:课程目标、教学方法、重难点、教学环节(知识单元、知识点等)等内容应与教学大纲、教学日历一致。课外学习可包括学时和内容要求。

 

四、考核方式

考核项目

考核内容

考核方式

分值或占比

期末考试

课程教学内容

闭卷

60

小测验

各知识模块

随堂考试

0

作业

课后习题

提交作业

10

课堂表现

出勤率和课堂参与度

考勤、课堂讨论、课堂展示等

30

实训

 

实验、实训

0

期末考试

课程教学内容

闭卷

60

小测验

各知识模块

随堂考试

0

注:考核方式应符合课程教学大纲的要求。

 

五、教学资源

推荐教材

[1] 冉景. 工程燃烧学[M]. 北京:中国电力出版社,2019.

参考材料

[1] 汪健生, 李君, 刘雪玲. 燃烧学[M]. 北京:北京理工大学出版社,2017.

[2] 邹春. 基础燃烧学[M]. 武汉:华中科技大学出版社,2021.

[3] 徐通模, 惠世恩.燃烧学 [M]. 北京:机械出版社,2017.

课程资源

西安交通大学《燃烧学》MOOC
https://www.icourse163.org/course/XJTU-1003474003

吉林大学《燃烧学》视频

https://v.qq.com/x/page/o03829spzta.html

中国科技大学《燃烧学》PPT

http://www.doc88.com/p-6458654798457.html

西安交通大学《燃烧学》习题答案

https://www.docin.com/p-2421225500.html

教材分析与处理

采用《工程燃烧》为主教材,并将参考材料作为辅助资料,教学中综合讲解。

 


分课时教案

知识单元名称

CH1 绪论

课次

1

授课类型

理论课讨论课实验课习题课其他

学时

2

课程目标与要求

1. 根据燃烧科学及发展燃烧技术及发展基本知分析我国能源发展趋势

3. 掌握常见燃烧性质与燃烧设备特点,提出相应燃料或设备燃烧效率提升方法

本单元重点

与难点内容

重点:常见的燃料;

难点:常见的燃烧设备

教学内容

从燃烧学学习的目的以及意义引入课程,介绍整体课程教学内容、重难点与课程考核形式,使学生对课程由总体的了解,认识学习燃烧学的重要性以及意义。

 

CH1 绪论

  1. 燃烧概述

重点讲解燃烧基本概念、分类,介绍燃烧反应过程。

介绍燃烧学与燃烧技术的发展,建立学生的学习兴趣。

        燃烧:任何发光发热的剧烈的现象,这种现象又称为

        燃烧是气体、液体或者固体燃料与氧化剂之间发生的一种强烈的化学反应,是流动、传热、传质和化学反应同时发生并相互作用的综合现象。

  1. 常见的燃烧设备

煤粉炉、链条炉、内燃机、火箭发动机等燃烧设备的特点、反应过程,燃烧在相关燃烧设备中发挥的重要作用,结合本专业重点讲解前两种燃烧设备。

  1. 常见的燃料

气、液、固燃料等常见燃料的特性、具体物质、分类等。

  1. 常见燃料煤的性质及分析

课程思政

以生活中的煤气燃烧、爆竹燃烧等为引入点,引导学生思考什么是燃烧,燃烧对生活的重要性;同时结合本专业特点,以燃煤电厂、航空航天发动机为实质的对象,介绍燃烧在生活、工业、国防与航天领域的重要地位与当前技术的重要进展,增强学生学习的兴,培养学生的自豪感与深厚的家国情怀,使其树立远大理想,并引导学生结合本课程了解专业,增强专业自信心,使理论抽象知识实质化,让学生明确燃烧学课程学习的重要性。

教学过程设计:

教学方法及手段、课堂互动题设置、教学改革措施等

教学方法:以多媒体讲授为主,附加照片、简易动画,配合板书结合工程与生活中涉及燃烧学知识的相关技术发展,让学生思考学习的意义,探讨相关技术的发展优劣,具备独立与辩证思考的能力。

教学活动设计:

课程引入提问燃烧学是用来干什么的,学起来难不难

教学活动设计:

课程内容引入讨论: 学完燃烧学能干什么,学习的意义在哪?

通过上述提问或讨论环节,让学生了解本课程学习内容及意义,增强对课程学习内容的兴趣

教学中相关讨论内容

试讨论化石能源的勘探、开采和应用前景;

试讨论发电和驱动汽车这两种供能技术的发展前景

作业与

思考题设置

  1.  煤中所含灰分、水分对燃烧过程有什么影响?
  2. 试述VdafSar及灰熔点对锅炉工作有哪些影响?
  3. 画出煤的工业分析、元素分析及不同基准之间的相关关系图。
  4.  某种煤收到基含碳量为40%。由于受外界条件的影响,其收到基水分由15%增加至20%,收到基灰分由25%减少至19%,试求其水分和灰分变化后的收到基含碳量(要求先推导换算公式,后计算)。

学习效果、学生反馈、反思改进措施等

学生整体学习状态较好,具有学习的积极性。

备注

 

 

 

分课时教案

知识单元名称

CH2 燃烧化学反应动力学基础

课次

2

授课类型

理论课讨论课实验课习题课其他

学时

2

课程目标与要求

1. 掌握燃烧化学热力学、化学反应动力学基本理论,并能应用相关基础理论对具体化学反应过程进行计算

2. 掌握燃烧化学反应速率相关定义,理解基元反应,并能分析具体燃烧过程可进其化学反应速率计算与分析

本单元重点

与难点内容

重点:燃烧化学反应动力学相关概念、质量作用定律

难点:基元反应与总包反应

教学内容

  1. CH2 燃烧化学反应动力学基础
  2. 1. 燃烧化学热力学知识点
  3.   生成热反应热、燃烧热等概念,学会运用其计算方法计算相关化学反应的热力学参数
  4. 2. 燃烧化学反应动力学概述
  5.   重点讲解燃烧化学反应速率
  6. 一、浓度及其表示方法
  7.  二、化学反应速率
  8.  三、基元反应和总包反
  9.    能够分析基元反应与总包反应的异同,并结合本专业对实际气体燃烧过程化学反应过程进行准备描述
  10. 四、质量作用定律
  11.    重点掌握质量作用定律的基本知识,能够运用该定律计算相关基元反应的化学反应速率,并对复杂化学反应过程计算某一物质的浓度变化
  12. 五、反应级数
  13.    掌握定义,能够计算实际化学反应的反应级数
  14. 六、基元反应的化学反应速率、总包反应的化学反应速率
  15.   掌握相关定义,分析讨论异同,了解计算方法

课程思政

通过质量作用定律相关理论与应用讲解其只适用于基元反应自然的向学生传达科研的严谨作风以此培养学生一丝不苟、严谨细致的学习态度。通过结合总包反应中也可借鉴基元反应质量作用定律中速率计算的表达式,让学生理解科学发展观,培养善于观察的习惯

教学过程设计:

教学方法及手段、课堂互动题设置、教学改革措施等

本章节属于燃烧科技基础内容,是本课程的核心关键内容。通过学熟知的速度的概念,类比引入燃烧化学反应动力学中的速率相关知识点,使学生掌握化学反应动力学相关概念与定律,并能结合实际化学反应过程探讨质量作用定律的应用与拓展。

教学方法:配合板书,以多媒体讲授为主,附加照片、简易动画。

重点理解:燃烧化学反应速率,质量作用定律

重点理解:基元反应与总包反应

讲授:化学反应动力学研究对象,方法

例题:结合前面的基本概念的讲解,给出具体的化学反应过程给学生深入理解分析。此部分为本节难点,可多出几道例题加深学生理解与掌握。

课堂提问与讨论:化学反应速率与基元化学反应速率的区别在哪,为什么要研究?如何得到总包反应速率的反应级数

 

作业与

思考题设置

本章节课程结束后整体布置课后作业,本小节课后学生回去复习化学反应速率、基元反应、总包反应、质量作用定律的概念,并应用相关基础知识计算CO/CH4化学燃烧反应速率,写出相关表达式

学习效果、学生反馈、反思改进措施等

部分学生高中无相关化学学习的基础,理解相关定律有些困难,部分知识点需重点多次讲解。

备注

 

 

 

分课时教案

知识单元名称

CH2 燃烧化学反应动力学基础

课次

3

授课类型

理论课讨论课实验课习题课其他

学时

2

课程目标与要求

1. 能够分析各因素对化学反应速率的影响,并推导活化能、化学速率常数等的计算公式,可设计具体实验方案计算相关参数

2.  课外调研前沿燃烧技术,通过文献阅读等调研学习富氧燃烧技术制备汇报PPT课内以小组为单位组内每位同学汇报调研结果并开展小组讨论

本单元重点

与难点内容

重点:化学反应速率的影响因素,阿累尼乌斯定律

难点:各因素对化学反应速率的影响机理、活化能

教学内容

本章节属于燃烧科技基础内容,是本课程的核心关键内容。

CH2 燃烧化学反应动力学基础

  1. 1. 影响化学反应速率的因素

温度、活化能、压力、浓度、催化剂等对化学反应速率的影响

 

学生基于阿累尼乌斯定律与理想气体状态方程等理论知识推导化学反应速率与温度、活化能、压力浓度间的相关关系式,并分析相应因素对化学反应速率的影响

根据质量作用定律、阿累尼乌斯定律,生成可针对具体化学反应过程设计实验方案以计算活化能、反应速率常数,最终计算化学反应速率及反应级数

课程思政

节内容中讲授了温度活化能、压力、浓度等对化学反应速率的影响,自然的引入航空航天的真空中、西藏高原的高寒低压低氧区域内的燃烧特殊性,让学生结合这些特定条件下的燃烧过程综合分析上述因素是如何影响化学反应过程的,一方面加深学生对知识点的理解与运用。另一方面结合我国航空航天技术的发展历程,可培养学生的家国情怀通过分析西藏等恶劣条件下燃烧过程,让学生理解科学技术发展对民生、国防等的重要性,培养其爱国情怀树立节能减排意思与探索研究精神

教学过程设计:

教学方法及手段、课堂互动题设置、教学改革措施等

教学方法:本堂课主要以学生小组讨论为主。讨论前老师开展短时间的多媒体讲授上述知识点,附加照片、简易动画。前沿燃烧技术的讨论部分开展分组汇报讨论,学生课外收集相关资料并制作PPT,课内以学生为主,老师引导开展小组讨论,启发学生思维与创新性。

讲授:温度、活化能、压力、反应物浓度和摩尔分数、催化作用对化学反应速率的影响。

讲授:重点讲解阿累尼乌斯定,让学生结合该定律理解各因素对化学反应的影响机理

讨论:结合实际生活讨论燃烧反应中各因素如何影响燃烧化学反应速率

开展小组讨论:课外调研前沿燃烧技术,初步了解富氧燃烧技术,并开展小组讨论,为后续前沿燃烧问题相关授课内容打下初步基础。

作业与

思考题设置

  1. 什么是阿累尼乌斯定律,其表达式是什么?
  2. 活化能定义,如何影响化学反应速率,如何通过活化能调控化学反应过程?

学习效果、学生反馈、反思改进措施等

初次讨论环节学生的参与度较低,问不出问题,通过老师示范引导后,整体积极性提高,学生能够学术思维思考富氧燃烧技术的相关内容。

备注

 

 

 

分课时教案

知识单元名称

CH2 燃烧化学反应动力学基础

课次

4

授课类型

理论课讨论课实验课习题课其他

学时

2

课程目标与要求

1. 掌握链式化学反应的特征分析链式化学反应实例

本单元重点

与难点内容

重点:链式化学反应的特点

难点:氢气燃烧机理、烃类燃烧机理

教学内容

本章节属于燃烧科技基础内容,是本课程的核心关键内容。

CH2 燃烧化学反应动力学基础

  1. 链式化学反应

一、链式化学反应

   结合低温冷焰、水蒸气的助燃作用等现象引入链式反应。

化学反应的种类很多,特别是燃烧过程的化学反应,都是复杂的化学反应,无法用阿累尼乌斯定律和分子运动理论来解释。有些化学反应即使在低温条件下,其化学反应速率也会自动加速而引起着火燃烧;有些反应在常温下也能达到极大的化学反应速率,比如爆炸。

定义:复杂反应不是一步到位,而是经过一系列中间过程,借助于活化粒子(原子或原子基团)构成的链,通过活化粒子而进行的一系列化学反应为连锁反应。

特点:反应一旦开始,它便能相继产生一系列的连续反应,使反应不断发展。反应过程中始终有链载体存在,只要链载体不消失,反应就一定能进行下去。

二、链式反应的分类:不分支链反应(直链反应)与分支链反应

不分支链反应(或直链反应):如果一个自由基与分子反应的结果是旧的自由基消失,但同时产生一个新的自由基,此时自由基的数目不变。

分支链反应:如新的自由基数目大于原自由基数目则称分支链反应。

   链的产生链的传递链的终止

三、氢气、CO、烃类燃烧机理

       2H2 + O2 → 2H2O

分支链反应过程:一个氢原子参加反应后,经过一个链后形成最终产物 H2O ,同时产生了三个 H 原子,这三个 H 原子又开始成为另外三个链,而每个 H 原子有会产生三个H 原子,这样随着反应的进行, H 原子的数目不断增多,因此反应不断加速,直到产生爆炸。

活化中心的数目不断增加的反应称为分支链反应

 

CO的燃烧机理

烃类化合物的燃烧机理

 

四、分支链式反应的孕育与爆炸特点

链式爆炸是活性中间反应产物迅速繁殖的结果;即使等温下也会发生;

热爆炸是温度升高使得活化分子增多而迅速反应的结果

课程思政

链式化学反应过程的讲解中,引入原子弹爆炸、汤加火山爆发等实例,让学生理解燃烧学习不仅仅是学会如何促进燃烧过程也要注意燃烧带来的负面影响理的利用科学技术树立工程安全意识同时,结合我国原子弹研发中科学家的相关例子,培养学生的爱国奉献精神

教学过程设计:

教学方法及手段、课堂互动题设置、教学改革措施等

教学方法:以多媒体讲授为主,附加照片、简易动画,配合板书

讲授:链式化学反应定义、特点

讲授:重点讲解氢气燃烧机理、CO燃烧机理、烃类物质燃烧机理

板书H2燃烧反应机理

互动邀请学生上台写出H2Cl2的反应机理

讨论不分支链反应与分支链反应的异同连锁反应判断的关键是什么

作业与

思考题设置

  1. 讨论:哪些反应不遵循阿累尼乌斯与质量作用定律
  2. 不分支链反应与分支链反应的特点。

学习效果、学生反馈、反思改进措施等

    H2CO与烃类等物质的链锁反应过程化学反应数众多学生初次接触难以理解,需结合链式反应的机理进行综合对照讲解助于学生形象化理解

备注

 

 

 

分课时教案

知识单元名称

CH2 燃烧化学反应动力学基础

课次

5

授课类型

理论课讨论课实验课习题课其他

学时

2

课程目标与要求

1. 基于燃烧化学反应中的化学平衡相关基础理论计算推导平衡常数的表达与关系式,分析影响因素

2.  课外调研化学链燃烧技术相关概念、特点与发展,制作汇报PPT,课内汇报并开展小组汇报讨论

本单元重点

与难点内容

重点:燃烧反应中的化学平衡

难点:总包反应中的可逆反应

教学内容

本章节属于燃烧科技基础内容,是本课程的核心关键内容。

CH2 燃烧化学反应动力学基础

  1. 燃烧化学反应中的化学平衡

总包反应中可逆反应的例子:

基于相关基础理论可进行平衡常数的推导:

课程思政

在本环节讨论课程中,通过化学链燃烧的特点,如可实现CO2富集等,引入我国的双碳目标让学生理解我国在环境保护上大国情怀与责任感向学生引入科学发展观,培养其节能环保意识

教学过程设计:

教学方法及手段、课堂互动题设置、教学改革措施等

教学方法:本堂课主要以小组大讨论为主要内容,老师在讨论前以多媒体讲授为主,附加照片、简易动画讲解燃烧反应中化学平衡相关知识点,后续学生针对燃烧前沿技术,开展小组讨论,开拓视野,培养学术思维。

讲授:总包反应中可逆反应的举例分析

讲授:重点讲解正向反应速率常数,逆向反应速率常数,平衡常数

互动:讲授理论知识之后,给学生几分钟时间复习后邀请学生上台推演相关计算过程

小组大讨论环节学生分组课外调研收集化学链燃烧技术相关概念,课内小组汇报相关收集资料,并结合技术的特点与发展,开展小组汇报讨论

作业与

思考题设置

讨论:反应速率常数取决于什么因素,反应速率常数与平衡常数求解的意义?

学习效果、学生反馈、反思改进措施等

经过第一次小组讨论汇报后,学生对该种讨论授课形式接受度更高,讨论过程中能够深入思考,并能够提出较多科学问题。

备注

 

 

 

分课时教案

知识单元名称

燃烧空气动力学基础-混合与传

课次

6

授课类型

理论课讨论课实验课习题课其他

学时

2

课程目标与要求

1. 基于传质学基本原理,分析湍流物理本质和数学描述

2. 基于动量、热量和质量传质的比拟,分析推导三传一反过程相关参数的变化规律

本单元重点

与难点内容

重点:三传的比拟

难点:湍流的物理本质和数学描述

教学内容

在学习了热力学化学反应动力学基础后,本章主要讲解燃烧空气动力学基础。燃烧过程是一个复杂的物理化学过程。虽然它是一种氧化放热反应,但是物理过程特别是能量、质量和动量的交换过程对燃烧系统起着重要的作用。在燃烧过程中,燃料、氧化剂及燃烧生成物通常以高速射流的形式存在。这些高速运动的物质存在速度梯度,温度梯度和浓度梯度。射流的研究是建立在流体力学和传热、传质学基础上的。

 

CH3 燃烧空气动力学基础-混合与传质

1. 湍流的物理本质与数学描述

平流与推流,讨论燃烧属于哪类流体。

研究湍流的意义:物理学乃至自然科学中重要问题之一自然界的流动绝大多数都是湍流流动过程中的传热和传质环境污染、沙尘暴的扩散叶轮机械、化学反应器中的流体运动

湍流的定义、脉动。湍流的基本方程。

连续性方程的分解               

1)         湍流流动的物理现象与解释。

2)         基本守恒方程

3)         湍流运动时均方程组(雷诺方程组)

4)         湍流模型:零方程模型、单方程模型、双方程湍流模型、雷诺应力模型、代数应力模型。

2. 动量、热量和质量传递的比拟

分子输运基本定律:Newton黏性定律、Fourier导热定律、Fick定律。

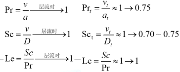
动量、热量和质量传递能力的比拟关系:

三传比拟举例

课程思政

从传质内容引入沙尘暴现象,讲解其产生发展过程中的相关空气动力学特性,引入环境保护的重要性,树立学生的环保意识

教学过程设计:

教学方法及手段、课堂互动题设置、教学改革措施等

教学方法:图片、实际照片与讲解相结合

对比讲授:平流与推流,讨论燃烧属于哪类流体结合流型图片等,引入湍流的相关内容。如何来表达湍流?其物理本质是什么?数学描述是什么?

重点讲授动量、热量和质量传质的比拟

作业与

思考题设置

什么是三传一反,在燃烧的研究中有什么重要意义?

学习效果、学生反馈、反思改进措施等

该部分内容较为抽象,学生理解起来较为困难讲授过程中需结合本专业对象燃煤电厂中煤粉气流的扩散开展具体分析助于学生理解

 

备注

 

 

分课时教案

知识单元名称

燃烧空气动力学基础-混合与传质

课次

7

授课类型

理论课讨论课实验课习题课其他

学时

2

课程目标与要求

1. 基于湍流射流的特点、射流中的积分守恒条件,分析湍流射流动量、热力、传质传递过程参数变化特性

2. 基于气液固两相射流中的混合与传质,分析煤粉气流在炉膛中的扩散过程

本单元重点

与难点内容

重点:湍流射流的特点、气液固两相射流中的混合与传质

难点:射流中的积分守恒条件

教学内容

CH3 燃烧动力学基础-混合与传质

3. 湍流射流中的积分守恒条件

射流是指流体从管口、孔口、狭缝射出,或靠机械推动,并同周围流体掺混的一股高速流体流动。

按流体的流动状态,分为层流射流和湍流射流;

按流体的流动速度,分为亚音速射流和超音速射流;

是否受固体边界约束,分为自由射流、半限制射流和限制射流;

流体在扩散过程中是否旋转,分为旋转射流和直流射流;

按管嘴出口截面形状,可分为圆形射流、矩形射流、条缝射流、环状射流和同心射流等。

流体的流动方向与外界流体的流动方向,可分为顺流射流、逆流射流和叉流射流。

射流流体与外界流体的温度及浓度不同,可分为温差射流和浓差射流。

按射流流体内所携带的异相物质,可分为气液两相射流,气固两相射流和液固两相射流以及气液固多相射流等。

4. 湍流自由射流中的混合与传质

圆形平面直流射流、不等温自由射流混合。自由射流各界面上的轴向分布式相似的,可以用以下几种经验关联式来描述:

式中:y为横截面上任一点到轴线之间的垂直距离;x为横截面距喷嘴出口的铀向距离;k为实验常数,其值在82~96之间;αu为射流半角,其值约为4.85°

射流的动量交换:射流中的压力等于周围空间介质的压力。在射流的任何一个截面上,总动量M保持不变,其数学表达式为:

式中:u表示射流任一横截面上某点的轴向速度;dqm表示单位时间内流过该横截面上某微元横截面的射流质量流量;m表示射流流过该横截面的总质量。

发展区域内圆形与平面自由射流的异同。

射流的热交换、物质交换。

课程思政

基于本专业特点结合电站锅炉中煤粉气流向炉膛内的喷射过程讲解对应流体流动中的三传一反现象从燃烧稳定性与锅炉运行安全的角度向学生讲解相应燃烧器结构优化调整的重要性培养学生树立工程安全意识

教学过程设计:

教学方法及手段、课堂互动题设置、教学改革措施等

教学方法:图片、实际照片与讲解相结合

对比讲授:层流湍流,讨论燃烧属于哪类流体结合流型图片等,引入湍流的相关内容。如何来表达湍流?其物理本质是什么?数学描述是什么?

重点讲授动量、热量和质量传质的比拟

提问结合火力发电厂锅炉炉膛中煤粉气流的喷射燃烧过程分析其中的三传过程

作业与

思考题设置

什么是三传一反,在燃烧的研究中有什么重要意义?

学习效果、学生反馈、反思改进措施等

理论知识较多,需结合试剂流体举例对照讲解

备注

 

 

 

分课时教案

知识单元名称

CH3燃烧空气动力学基础-混合与传质

课次

8

授课类型

理论课讨论课实验课习题课其他

学时

2

课程目标与要求

  1. 基于旋转射流的特征,可分析湍流自由、旋转射流中射流轴心线上参数的变化
  2. 对于大温差等不等温自由射流、平行相交射流等的湍流混合与传质,能分析射流动力学参数及其本身因燃烧而不断升温的情况;

3. 基于钝体射流的结构与特性,分析其稳燃机理,并进一步提出稳燃方法

本单元重点

与难点内容

重点:旋转射流的概念、分类、特征

难点:钝体射流中的混合与传质,平行与相交射流中的混合与传质

教学内容

CH3燃烧空气动力学基础-混合与传质

5. 旋转射流中的混合与传质

   通过实际电站锅炉中的旋流燃烧器引入旋转射流相关知识点,让学生将理论与实际想结合,认识到理论基础知识对工程实践的指导意义。

一、旋转射流的概念与特征

旋转射流可分为三种类型:

           自由旋转射流,即旋转气流离开旋流发生器后,喷向一个足够大的空间,由于不受固体表面的限制而能够自由扩张,通常简称为旋转射流。例如煤粉炉中旋流燃烧器喷出的气流;

           半自由旋转流动,旋转流动在外边界上不能自由扩张,如旋风炉

           复合旋转射流,如各类射流与旋转射流的组合

旋转射流的特点、特征。

二、旋流强度和旋流发生器

旋流数可表征旋流强度的高低。可用一个无因次准则来表征旋转射流的强弱,旋流强度准则或者旋流数S

实际上S表示出口断面上(或任意断面上)切向速度和轴向速度的比值。S大则意味着切向速高,气流旋转加强,因而旋流数也叫旋流强度。

弱旋转射流与强旋转射流。

6. 钝体射流中的混合与传质

   1)钝体射流的形成、钝体对火焰的稳定作用

   2)管流中钝体尾迹的流动特性、喷射流动中钝体尾迹的流动特性。

7. 平行与相交射流中的混合与传质

在燃烧过程中,射流往往不是喷入静止的介质之中,而是喷入一个运动着的主气流之中。

根据射流和运动气流的方向,存在两种典型射流组合,一种是与主气流平行流动的射流;另一种是与主气流垂直的横向射流。

与主气流平行流动的射流:射流的特性以及射流与主气流间的混合均取决于主气流速度与射流初速之比 当此比值偏离1愈远时,混合加强,否则就减弱。在比值为1时,混合最弱。

与主气流垂直的横向射流在横向射流中,射流正面由于主气流的冲击,其背面由于一对反向旋涡的运动,而使大量流体进入射流,卷吸过程大大加强。横向射流中各断面的完全相似是不存在的。当气流对射流的相对速度增加,相似的程度迅速减少。

课程思政

从钝体射流中回流区特性分析,引入燃煤电厂中钝体燃烧器的研发及其过程学生传递老一辈科学家们的家国情怀与不断探索的精神

教学过程设计:

教学方法及手段、课堂互动题设置、教学改革措施等

教学方法:电厂实际燃烧器、布置与煤粉气流流动过程为案例采用板书图片、动画与讲解相结合

讲授:通过板书和PPT讲解旋转及其组合射流中的混合与传质

提问:大家思考回答一下不同射流的异同。

讲授:通过动画示意讲解不同射流中的混合与传质

思考:讲授了旋转射流的特点后,大家想象一下煤粉通过旋流燃烧器后运行轨迹?

对比讲授:结合不同射流气流简易动画,对比讲授不同类型的射流。

作业与

思考题设置

简答题:

气固多相流的流动特性;旋转射流与直流射流的区别;燃烧湍流流动的输运方程。

学习效果、学生反馈、反思改进措施等

本部分课程内容结合了实际电厂燃烧器出口气流的流动过程动画内容更加形象具体学生理解更易,印象更深刻

备注

 

分课时教案

知识单元名称

CH5 着火理论

课次

9

授课类型

理论课讨论课实验课习题课其他

学时

2

课程目标与要求

  1. 学生能够基于不同着火过程、方式与机理,分析着火的数学描述;
  2. 基于相关基础理论,推导热自燃温度、界限与孕育期,分析影响因素

本单元重点

与难点内容

重点: 着火机理

难点: 热自燃理论

教学内容

 

结合工程实际,引导学生探讨思考为什么研究着火、灭火理论?其具体应用场景

 

 

CH5 着火理论

1. 着火的基本概念

引言

燃烧过程一般可分为两个阶段:着火阶段和着火后的燃烧阶段。

着火阶段:燃料和氧化剂进行缓慢氧化,氧化反应所释放的热量只是提高可燃混合物的温度和累积活化分子,并没有形成火焰。

燃烧阶段:反应速度进行得很快、并发出强烈的光和热,形成火焰

 

一、着火的定义、着火过程

二、着火方式与机理

热着火,又可分为热自燃、强迫点燃

链式着火

机理:由于某种原因,可燃混合物中存在活化中心,活化中心产生速率大于销毁速率时,在分支链式反应作用下,导致化学反应不断加速,最终实现着火的现象称为链式着火。

例如H2O2的化合反应,它满足了分支链式反应的条件,只要反应一旦开始它就会着火,如果满足一定的浓度条件,还会发生爆炸。

析讨论:热力着火与链式着火的异同???

三、着火条件的数学描述

2. 热自燃理论

一、热自燃条件

通过举相关热自燃引起事故的实例,让学生理解学习热自燃理论的重要性。

              自燃的情况非常多。例如2010年夏天,我国各地温度屡创新高,汽车自燃事故频发。

              俄罗斯2010年夏季出现罕见高温和干旱天气,首都莫斯科729日气温创历史新高,达到39℃。从730日起,俄境内森林火灾形势更加严峻,起火点超过7000个,2.1万人参与灭火。根据89日的数据,森林大火目前已导致53人死亡,2000余栋房屋被烧毁,3000人无家可归。部分森林大火由自燃引起。

              露天煤矿自燃起火

结合热自燃简化模型,讲解热自燃条件、谢苗诺夫热自燃理论、影响热自燃因素、热自燃界限、热自燃孕育等内容。

思政内容

通过举相关热自燃引起事故的实例,让学生理解学习热自燃理论的重要性。结合近年我国乃至全球气温上升的现象讲述环境保护的重要性培养学生的节能环保意识

教学过程设计:

教学方法及手段、课堂互动题设置、教学改革措施等

教学方法:以多媒体讲授为主,附加照片、简易动画,配合板书

讲授:结合前面的燃烧化学热力学与空气动力学基础,通过PPT图片,详细讲解着火过程,使学生了解不同着火方式的区别。

讲授:结合热自燃简化模型,讲解热自燃理论。

思考讨论:着火与热自燃的区别。

作业与

思考题设置

为什么研究着火、灭火理论?

着火的分类有哪些,如何区分?

热自燃的条件?

学习效果、学生反馈、反思改进措施等

学生整体学习效果较好,课堂气氛较为活跃。讲解过程注意结合实际举例。

备注

 

 


分课时教案

知识单元名称

CH5 着火理论

课次

10

授课类型

理论课讨论课实验课习题课其他

学时

2

课程目标与要求

  1. 基于链锁自燃的相关基础知识,可分析链锁自燃的条件、孕育期,对比链锁自燃、强迫点燃与热自燃的异同
  2. 基于强迫点燃理论,分析强迫点燃方法与原理。

本单元重点

与难点内容

重点:连锁自燃、强迫自燃

难点:连锁自燃、强迫点燃与热自燃的异同

教学内容

CH5 着火理论

3. 连锁自燃理论

链锁自燃是可燃混合物在低温、低压下,由于分支链锁反应使反应加速,最终导致可燃混合物燃烧。

链锁爆燃理论的实质是由于链锁反应的中间反应是由简单的分子碰撞所构成,对于这些基元反应热自燃理论是可以适用的。但整个反应的真正机理不是简单的分子碰撞反应,而是比较复杂的链锁反应。

链锁自燃可以解释一些无法用热自燃理论来解释的一些反应。

链所自燃的条件、影响因素

 

4. 强迫点燃理论

        在燃烧技术中,为了加速和稳定着火,往往由外界对局部的可燃混合物进行加热,并使之着火。之后,火焰便自发传播到整个可燃混合物中,这种使燃料着火的方法称为强迫着火。

强迫着火(点燃)

强迫着火是可燃混合物从外界获得能量(如电火花、灼热质点、烟火药剂的火焰等)而产生着火的现象,也称为点燃。

这时的燃烧是首先由靠近点火源引发并传播到可燃混合物的其他部分。

因此可以认为强迫着火是外界能源加热下火焰的局部点燃然后再进行火焰传播的过程

强迫着火应用很广泛:

        例如电站锅炉的点火、航天工业中运载火箭及军事技术中火箭的点火就属于强迫着火;

        汽油发动机的汽油-空气混合物的电火花点火、日常生活中煤气炉的点火等都属于强迫着火。

自然着火与强迫着火的对比:

点燃与自燃的差别:

    强迫点燃理论、求解、孕育期,常用点燃方式。

思政内容

通过举相关热自燃引起事故的实例,让学生理解学习热自燃理论的重要性。结合近年我国乃至全球气温上升的现象讲述环境保护的重要性培养学生的节能环保意识

教学过程设计:

教学方法及手段、课堂互动题设置、教学改革措施等

教学方法:以多媒体讲授为主,附加照片、简易动画,配合板书

思考讨论:链锁自燃与热自燃的区别,对比分析热自燃强迫着火的异同

作业与

思考题设置

讨论思考:结合现实生活中的相关实例,阐述连锁自燃、强迫点燃与热自燃的异同?

学习效果、学生反馈、反思改进措施等

 

备注

 

分课时教案

知识单元名称

CH5 着火理论

课次

11

授课类型

理论课讨论课实验课习题课其他

学时

2

课程目标与要求

1. 掌握火焰传播现象与正常火焰传播;

2. 了解火焰传播速度的理论求解、分析及影响因素;

3. 掌握零元系统与一元系统的燃烧热工况。

本单元重点

与难点内容

重点: 火焰传播

难点: 火焰传播理论求解与影响因素

教学内容

CH5 着火理论

5. 火焰传播

一、火焰传播现象

结合生活中例子,播放动画与图片,使学生理解火焰传播现象,对火焰传播现象有具象的了解

二、正常火焰传播

0401

1) 火焰传播 —— 可燃混合气物的局部首先着火,着火部分向未燃部分传递热量和活性粒子,使之相继着火的过程。

2)火焰前锋 —— 未燃气体和已燃气体的分界面,亦称火焰前沿(flame front)

3)火焰传播速度 —— 火焰前锋沿其法线方向朝新鲜可燃混合气移动(传播)的速度,用wl(m/s) 表示

0402

三、正常火焰传播速度的理论求解及分析

一维层流燃烧室中气体工质的温度和燃料浓度变化:

0407

6. 燃烧热工况

燃烧热工况问题:讨论气流(燃料与助燃气体的混合物)的温度在某一系统中如何变化的问题。

一般情况下,温度与燃烧反应速度这两个因素是相互促进的。燃烧加强以后使温度升高,温度升高以后更使燃烧加强。但是有时条件不利的话,也可能使这两个因素相互促退。

一、零元系统的燃烧热工况

零元系统燃烧热工况结论:

二、一元系统燃烧热工况

思政内容

通过举相关热自燃引起事故的实例,让学生理解学习热自燃理论的重要性。结合近年我国乃至全球气温上升的现象讲述环境保护的重要性培养学生的节能环保意识

教学过程设计:

教学方法及手段、课堂互动题设置、教学改革措施等

教学方法:以多媒体讲授为主,附加照片、简易动画,配合板书

讲授:结合前面的燃烧化学热力学与空气动力学基础,通过PPT图片,详细讲解火焰传播与燃烧热工况

作业与

思考题设置

1. 什么是火焰的正常传播,如何测定层流火焰传播速度?

2. 试述影响层流火焰传播速度的因素,并分析他们的影响因素?

3. 试述如何利用相关知识有效实现火灾防控?

学习效果、学生反馈、反思改进措施等

 

备注

 

分课时教案

知识单元名称

CH5 气体燃料燃烧

课次

12

授课类型

理论课讨论课实验课习题课其他

学时

2

课程目标与要求

1. 基于气体燃烧基础理论,可对比分析总结燃烧方式与火焰结构、气体燃料的预混燃烧与扩散燃烧特点

2. 基于层流火焰传播速度的数学模型,分析影响因素,提出实验测量方法。

3. 课外调研前沿燃烧技术中的NH3燃烧技术,学习总结NH3燃烧技术特点与发展,制作汇报PPT,课内汇报并开展小组讨论。

本单元重点

与难点内容

重点:扩散火焰与预混火焰、可燃混合气燃料组分

难点:层流火焰传播速度的数学模型

教学内容

  1. 燃烧方式与火焰结构

结合不同的燃烧方式,分析火焰结构。

  1. 气体燃料的预混燃烧
  2. 气体燃料的扩散燃烧
  3. 层流火焰传播速度的数学模型
  4. 层流火焰传播速度的影响因素
  5. 层流火焰传播速度的实验测量方法

思政内容

    生活中的燃气灶、发电行业常见的燃气轮机氢燃料电池等引入气体燃烧在生活中的应用,说明气体燃烧在生活与工业中的重要性,树立学生专业自信心。同时,分析现阶段我国能源发展趋势,结合节能环保等理念说明未来氢能等清洁能源的重要性,让学生了解我国能源发展现状,树立节能环保意识。

教学过程设计:

教学方法及手段、课堂互动题设置、教学改革措施等

教学思路本章节属于燃烧科学技术的基础内容,是本课程的核心关键内容之一。充分了解基本概念,通过例题、示意图、机理图等加深理解,达到完全掌握本知识点的目的。

教学方法:本堂课程主要以学生课堂讨论为主,讨论前老师首先讲授上述相关知识点,主要采用以下教学方法:1讲解;2PPT图像与动画演示;3提问与思考4. 视频。讲解后学生以小组开展相关前沿科学技术知识讲解与讨论。

教学互动讨论。火焰的颜色跟哪些因素有关?

开展小组讨论:结合气体燃烧相关知识点,学生课外调研前沿燃烧技术中的NH3燃烧技术,学习总结NH3燃烧技术特点与发展,并开展小组讨论,为后续前沿燃烧问题相关授课内容打下初步基础

 

作业与

思考题设置

思考题:预混火焰的长度跟哪些因素有关?在不同流动状态下的影响因素如何?

学习效果、学生反馈、反思改进措施等

课后填写

备注

 

分课时教案

知识单元名称

CH5 气体燃料燃烧

课次

13

授课类型

理论课讨论课实验课习题课其他

学时

2

课程目标与要求

基于湍流燃烧火焰特点,分析预混火焰的稳定性及其结构

本单元重点

与难点内容

重点: 湍流燃烧火焰特点

难点: 湍流火焰传播的容积燃烧理论、皱折表面燃烧理论

教学内容

  1. 湍流燃烧火焰特点
  2. 湍流火焰传播的皱折表面燃烧理论

小尺度湍流火焰、大尺度弱湍流火焰、大尺度强湍流火焰

  1. 湍流火焰传播的容积燃烧理论、
  2. 湍流扩散燃烧

湍流扩散火焰结构、湍流扩散火焰长度

思政内容

生活中的燃气灶、发电行业常见的燃气轮机氢燃料电池等引入气体燃烧在生活中的应用,说明气体燃烧在生活与工业中的重要性,树立学生专业自信心。同时,分析现阶段我国能源发展趋势,结合节能环保等理念说明未来氢能等清洁能源的重要性,让学生了解我国能源发展现状,树立节能环保意识。

教学过程设计:

教学方法及手段、课堂互动题设置、教学改革措施等

 

教学思路本章节属于燃烧科学技术的基础内容,是本课程的核心关键内容之一。充分了解基本概念,通过例题、示意图、机理图等加深理解,达到完全掌握本知识点的目的。

教学方法:1讲解;2PPT图像与动画演示;3提问与思考4. 视频

教学互动讨论。如何区别层流火焰和湍流火焰?

改革措施让学生积极的讨论,提升学生的参与度。

 

作业与

思考题设置

思考题:影响湍流燃烧过程的因素有哪些?湍流为什么能够强化燃烧过程?

学习效果、学生反馈、反思改进措施等

课后填写

备注

 

 


分课时教案

知识单元名称

CH5 气体燃料燃烧

课次

14

授课类型

理论课讨论课实验课习题课其他

学时

2

课程目标与要求

1. 分析火焰稳定的基本条件,提出火焰稳定机理及具体措施

2. 基于高速气流中火焰的温度特性,分析提出其主要控制方法。

本单元重点

与难点内容

重点: 火焰稳定的基本条件、火焰稳定机理

难点: 高速气流中火焰稳定

教学内容

  1. 火焰稳定的基本条件

一维管流火焰的稳定预混火焰稳定的特征和条件

  1. 火焰稳定的机理

预混火焰关口上方附近点火环或点火圈形成机理、回火和脱火的临界条件、回火和脱火的临界条件的实验结果

  1. 高速气流中火焰的稳定

高速气流中火焰稳定的基本条件、钝体稳定火焰的机理、

  1. 火焰稳定的主要方法

利用引燃火焰稳定利用旋转射流稳定利用反吹射流稳定利用不对称射流稳定等

思政内容

生活中的燃气灶、发电行业常见的燃气轮机氢燃料电池等引入气体燃烧在生活中的应用,说明气体燃烧在生活与工业中的重要性,树立学生专业自信心。同时,分析现阶段我国能源发展趋势,结合节能环保等理念说明未来氢能等清洁能源的重要性,让学生了解我国能源发展现状,树立节能环保意识。

教学过程设计:

教学方法及手段、课堂互动题设置、教学改革措施等

教学思路本章节属于燃烧科学技术的基础内容,是本课程的核心关键内容之一。充分了解基本概念,通过例题、示意图、机理图等加深理解,达到完全掌握本知识点的目的。

教学方法:1讲解;2PPT图像与动画演示;3提问与思考4. 视频

教学互动讨论。工程上稳定火焰的措施有哪些?

改革措施让学生积极的讨论,提升学生的参与度。

作业与

思考题设置

作业:试述回流区稳焰的基本原理。

学习效果、学生反馈、反思改进措施等

课后填写

备注

 


分课时教案

知识单元名称

CH6液体燃料燃烧

课次

15

授课类型

理论课讨论课实验课习题课其他

学时

2

课程目标与要求

1. 学习油类液体燃料与其他液体燃料的特性,分析提出液体燃料雾化过程与机理

2. 课外调研前沿燃烧技术中催化燃烧技术,通过文献阅读等调研学习并总结催化燃烧技术特点与发展,制备汇报PPT课内以小组为单位组内每位同学汇报调研结果并开展小组讨论

本单元重点

与难点内容

重点:液体燃料的雾化过程及机理、液体燃料闪点及着火点

难点:液体燃料的雾化机理

教学内容

  1. 油类燃料特性

石油的元素组成、石油中的碳氢化合物和胶状沥青物质、石油炼制、燃油的主要特征、水煤浆、其他合成液体燃料

  1. 液体燃料的雾化过程及机理

液体雾化过程的几个阶段、液滴在气体介质中飞行时的受力分析

  1. 雾化的喷嘴

压力式喷嘴、气动式喷嘴

  1. 液体燃料的雾化性能

雾化角、雾化液滴细度、雾化均匀度、喷雾射程、流量密度分布

思政内容

1)认真学习铁人精神,解密共产党人的精神密码。

王进喜(1923-1970年),劳动模范,甘肃省玉门人。1938年开始在玉门油矿当徒工。解放后任钻井队队长,1956年加入中国共产党。1960春,率领1205钻井队到大庆参加石油大会战,为发展我国的石油工业作出了杰出贡献,被群众誉为铁人。曾当选为中国共产党第九届中央委员会委员。

王进喜身上体现出来的铁人精神,激励了一代代的石油工人。铁人不仅是工人阶级的先锋战士、共产党人的楷模。他更是一个为国家分忧解难、为民族争光争气、顶天立地的民族英雄。

2)认真学习中国石油之父萧光琰事迹,大力弘扬科学家精神。

除此之外,我们也要进一步向为我国石油工业做出杰出贡献的科学家学习。萧光琰被誉为中国石油之父,他早先在美国获得博士学位,任职于国外著名的石油公司。但国家兴亡匹夫有责,在我国最困难的时候,他义不容辞抛弃国外优越的生活,赤子之心为我国石油工业和催化科学的发展作出贡献。要知道,美国却以掌握国家机密为由禁止萧光琰回国。萧光琰当然没有妥协,他和妻子甄素辉先飞往香港,最终辗转回到了国内。

教学过程设计:

教学方法及手段、课堂互动题设置、教学改革措施等

教学思路本章节属于燃烧科学技术的基础内容,是本课程的核心关键内容之一。充分了解基本概念,通过例题、示意图、机理图等加深理解,达到完全掌握本知识点的目的。

教学方法:本堂课程主要以学生课堂讨论为主,讨论前老师首先讲授上述相关知识点,主要采用以下教学方法:1讲解;2PPT图像与动画演示;3提问与思考4. 视频。讲解后学生以小组开展相关前沿科学技术知识讲解与讨论。教学互动讨论。雾化过程和机理的分析,在工程中强化液体燃料雾化的主要方法有哪些?

开展小组讨论(约45分钟):结合前期学习相关知识点,学生课外调研前沿燃烧技术中的催化燃烧技术,初步了解催化燃烧技术特点与发展,并开展小组讨论,为后续前沿燃烧问题相关授课内容打下初步基础。

 

改革措施让学生积极的讨论,提升学生的参与度。

作业与

思考题设置

作业:水煤浆燃料的应用存在哪些问题?解决这些问题的对策是什么?

学习效果、学生反馈、反思改进措施等

课后填写

备注

 

分课时教案

知识单元名称

CH6液体燃料燃烧

16

授课类型

理论课讨论课实验课习题课其他

学时

2

课程目标与要求

1. 学习液滴蒸发时的斯蒂芬流相对静止环境与强迫气流中液滴的蒸发等内容,可对应分析总结液滴群的蒸发特点。

本单元重点

与难点内容

重点:单油滴的蒸发及蒸发速度、液滴寿命的计算

难点:液滴蒸发时的斯蒂芬流

教学内容

  1. 液滴蒸发时的斯蒂芬流
  2. 相对静止环境中的液滴蒸发
  3. 强迫气流中的液滴蒸发
  4. 液滴群的蒸发

思政内容

1)认真学习铁人精神,解密共产党人的精神密码。

王进喜(1923-1970年),劳动模范,甘肃省玉门人。1938年开始在玉门油矿当徒工。解放后任钻井队队长,1956年加入中国共产党。1960春,率领1205钻井队到大庆参加石油大会战,为发展我国的石油工业作出了杰出贡献,被群众誉为铁人。曾当选为中国共产党第九届中央委员会委员。

王进喜身上体现出来的铁人精神,激励了一代代的石油工人。铁人不仅是工人阶级的先锋战士、共产党人的楷模。他更是一个为国家分忧解难、为民族争光争气、顶天立地的民族英雄。

2)认真学习中国石油之父萧光琰事迹,大力弘扬科学家精神。

除此之外,我们也要进一步向为我国石油工业做出杰出贡献的科学家学习。萧光琰被誉为中国石油之父,他早先在美国获得博士学位,任职于国外著名的石油公司。但国家兴亡匹夫有责,在我国最困难的时候,他义不容辞抛弃国外优越的生活,赤子之心为我国石油工业和催化科学的发展作出贡献。要知道,美国却以掌握国家机密为由禁止萧光琰回国。萧光琰当然没有妥协,他和妻子甄素辉先飞往香港,最终辗转回到了国内。

教学过程设计:

教学方法及手段、课堂互动题设置、教学改革措施等

教学思路燃料液滴的实际燃烧过程是相当复杂的,相互作用的因素很多。燃料液滴的燃烧速率很大程度上取决于蒸发速度。本节着重分析与燃烧有关的液滴蒸发问题。通过对概念的理解,理论分析等掌握本节内容。

教学方法:1讲解;2PPT图像与动画演示;3提问与思考4. 视频

教学互动讨论。结合雾化性能指标,说一说雾化应注意的问题。

改革措施让学生积极的讨论,提升学生的参与度。

作业与

思考题设置

学习效果、学生反馈、反思改进措施等

课后填写

备注

 

 


分课时教案

知识单元名称

CH6液体燃料燃烧

课次

17

授课类型

理论课讨论课实验课习题课其他

学时

2

课程目标与要求

1. 可根据液滴燃烧的数学模型,分析影响因素,提出促进液滴燃烧的措施,分析液体燃料燃烧方式与调风器

本单元重点

与难点内容

重点:液滴燃烧燃料蒸汽、氧气、产物及温度的分布、喷雾燃烧的概念

难点:燃烧时的单油滴蒸发燃烧、蒸发燃烧速度、蒸发燃烧时间

教学内容

  1. 四种液雾燃烧的物理模型

预蒸发型气体燃烧滴群扩散燃烧复合燃烧部分预蒸发型气体燃烧加液滴蒸发

  1. 静止液滴的燃烧

模型计算

  1. 强迫气流中的液滴燃烧

液滴燃烧模型

  1. 液滴群的燃烧

液滴群燃烧的特点

  1. 喷雾燃烧的合理配风

喷雾燃烧的配风原理合理配风的基本方式、调风器的功能

思政内容

1)认真学习铁人精神,解密共产党人的精神密码。

王进喜(1923-1970年),劳动模范,甘肃省玉门人。1938年开始在玉门油矿当徒工。解放后任钻井队队长,1956年加入中国共产党。1960春,率领1205钻井队到大庆参加石油大会战,为发展我国的石油工业作出了杰出贡献,被群众誉为铁人。曾当选为中国共产党第九届中央委员会委员。

王进喜身上体现出来的铁人精神,激励了一代代的石油工人。铁人不仅是工人阶级的先锋战士、共产党人的楷模。他更是一个为国家分忧解难、为民族争光争气、顶天立地的民族英雄。

2)认真学习中国石油之父萧光琰事迹,大力弘扬科学家精神。

除此之外,我们也要进一步向为我国石油工业做出杰出贡献的科学家学习。萧光琰被誉为中国石油之父,他早先在美国获得博士学位,任职于国外著名的石油公司。但国家兴亡匹夫有责,在我国最困难的时候,他义不容辞抛弃国外优越的生活,赤子之心为我国石油工业和催化科学的发展作出贡献。要知道,美国却以掌握国家机密为由禁止萧光琰回国。萧光琰当然没有妥协,他和妻子甄素辉先飞往香港,最终辗转回到了国内。

教学过程设计:

教学方法及手段、课堂互动题设置、教学改革措施等

 

教学思路本章节属于燃烧科学技术的基础内容,是本课程的核心关键内容之一。充分了解基本概念,通过例题、示意图、机理图等加深理解,达到完全掌握本知识点的目的。

教学方法:1讲解;2PPT图像与动画演示;3提问与思考4. 视频

教学互动讨论。比较液滴群燃烧与单一液滴燃烧的差异。

改革措施让学生积极的讨论,提升学生的参与度。

作业与

思考题设置

思考题:液体燃料燃烧如何合理配风?

学习效果、学生反馈、反思改进措施等

课后填写

备注

 

 


分课时教案

知识单元名称

CH7煤的燃烧

课次

18

授课类型

理论课讨论课实验课习题课其他

学时

2

课程目标与要求

1. 基于煤的燃烧过程,分析水分的蒸发过程及对燃烧的影响、煤的热解与挥发分燃烧、煤的着火

2. 分析影响煤粒着火的因素、焦炭的燃烧特性。

3. 课外调研前沿燃烧技术中的空气分级技术,通过文献阅读等调研学习空气技术特点与发展,制备汇报PPT课内以小组为单位组内每位同学汇报调研结果并开展小组讨论

本单元重点

与难点内容

重点:煤的生成与特性、煤的燃烧过程

难点:煤热解的数学描述

教学内容

  1. 煤的燃烧过

水分的蒸发过程及对燃烧的影响

  1. 煤的热解

煤热解的主要化学反应、煤的热解现象与影响因素、煤热解的数学描述

  1. 挥发分的燃烧
  2. 煤粒的着火

煤粒的着火现象、煤粒着火的影响因素

  1. 焦炭的燃烧特性
  2. 煤粒燃烧的一些实验研究结果

思政内容

结合前面学习过的气体燃料、液体燃料特征,对比引入固体燃料燃烧特性,分析其优缺点以及在我国能源供应中的主体地位,向学生讲解现代能源体系:高效、清洁、低碳、安全,树立学生的节能与环保意识。

教学过程设计:

教学方法及手段、课堂互动题设置、教学改革措施等

教学思路本章节属于燃烧科学技术的基础内容,是本课程的核心关键内容之一。充分了解基本概念,通过例题、示意图、机理图等加深理解,达到完全掌握本知识点的目的。

教学方法:本堂课程主要以学生课堂讨论为主,讨论前老师首先讲授上述相关知识点,主要采用以下教学方法:1讲解;2PPT图像与动画演示;3提问与思考4. 视频。讲解后学生以小组开展相关前沿科学技术知识讲解与讨论。

教学互动讨论。煤热解反应的过程及其每个反应过程的作用是什么。

开展小组讨论:结合前期学习相关知识点,学生课外调研前沿燃烧技术中的催化燃烧技术,初步了解催化燃烧技术特点与发展,并开展小组讨论,为后续前沿燃烧问题相关授课内容打下初步基础。

改革措施让学生积极的讨论,提升学生的参与度。

作业与

思考题设置

学习效果、学生反馈、反思改进措施等

课后填写

备注

 

分课时教案

知识单元名称

CH7煤的燃烧

课次

19

授课类型

理论课讨论课实验课习题课其他

学时

2

课程目标与要求

1. 基于碳燃烧化学反应步骤,分析燃烧过程中的吸附、解吸与扩散过程,探究各环节影响因素

2. 分析碳的动力燃烧与扩散燃烧,对比其异同与条件

本单元重点

与难点内容

重点:碳燃烧化学反应步骤,燃烧过程中的吸附、解吸与扩散、掌握碳的动力燃烧与扩散燃烧

难点:燃烧过程中的吸附、解吸与扩散

教学内容

  1. 碳燃烧化学反应的步骤
  2. 碳燃烧过程中的吸附及解吸
  3. 碳燃烧过程中的扩散

分子扩散、湍流扩散、对流扩散、碳燃烧中的扩

  1. 碳的动力燃烧与扩散燃烧

动力区、扩散区、过渡区

思政内容

结合前面学习过的气体燃料、液体燃料特征,对比引入固体燃料燃烧特性,分析其优缺点以及在我国能源供应中的主体地位,向学生讲解现代能源体系:高效、清洁、低碳、安全,树立学生的节能与环保意识。

教学过程设计:

教学方法及手段、课堂互动题设置、教学改革措施等

教学思路本章节属于燃烧科学技术的基础内容,是本课程的核心关键内容之一。充分了解基本概念,通过例题、示意图、机理图等加深理解,达到完全掌握本知识点的目的。

教学方法:1讲解;2PPT图像与动画演示;3提问与思考4. 视频

教学互动讨论。碳燃烧化学反应步骤中,它的反应速率取决于哪个步骤?

改革措施让学生积极的讨论,提升学生的参与度。

作业与

思考题设置

学习效果、学生反馈、反思改进措施等

课后填写

备注

 

 


分课时教案

知识单元名称

CH7煤的燃烧

课次

20

授课类型

理论课讨论课实验课习题课其他

学时

2

课程目标与要求

1. 学习碳的晶格结构,基于燃烧过程,分析碳与氧、二氧化碳、水蒸气等的反应机理

2. 基于碳的燃烧过程,分析表面反应的碳球燃烧速率、二次反应对碳燃烧过程的影响、多孔碳球的燃烧等。

3. 课外调研煤燃烧过程中颗粒物的危害及其防控措施,收集整理资料并开展小组讨论。

本单元重点

与难点内容

重点:碳与氧、二氧化碳、水蒸气等的反应机理

难点:碳球燃烧速度与燃尽时

教学内容

  1. 碳的燃烧化学反应过程及方程式
  2. 碳的晶格结构
  3. 碳与氧的反应机理(一次反应)
  4. 碳与二氧化碳的气化反应机理
  5. 碳与水蒸汽的反应机理
  6. 表面反应的碳球燃烧速度

在静止空气中碳球表面的燃烧、在流动介质中碳球表面的燃烧、碳球在还原气氛下的燃烧

  1. 二次反应对碳燃烧过程的影响
  2. 多孔性碳球的燃烧  

思政内容

结合前面学习过的气体燃料、液体燃料特征,对比引入固体燃料燃烧特性,分析其优缺点以及在我国能源供应中的主体地位,向学生讲解现代能源体系:高效、清洁、低碳、安全,树立学生的节能与环保意识。

教学过程设计:

教学方法及手段、课堂互动题设置、教学改革措施等

教学思路本章节属于燃烧科学技术的基础内容,是本课程的核心关键内容之一。充分了解基本概念,通过例题、示意图、机理图等加深理解,达到完全掌握本知识点的目的。

教学方法:1讲解;2PPT图像与动画演示;3提问与思考4. 视频

教学互动讨论。碳和氧气、二氧化碳、水蒸汽的反应机理的区别。

开展小组讨论:结合前期学习相关知识点,学生课外调研前沿煤燃烧过程中颗粒物的危害与防控技术,并开展小组讨论,为后续前沿燃烧问题相关授课内容打下初步基础。

改革措施让学生积极的讨论,提升学生的参与度。

作业与

思考题设置

 

学习效果、学生反馈、反思改进措施等

课后填写

备注

 

 

 

分课时教案

知识单元名称

CH7煤的燃烧

课次

21

授课类型

理论课讨论课实验课习题课其他

学时

2

课程目标与要求

1. 基于碳粒燃烧的物理模型,分析焦炭燃烧的影响因素与影响机理

2. 基于煤粉气流的输送、分配与着火理论对比分析旋转射流与直流射流中煤粉的着火、煤粉气流的燃尽过程特点与异同

本单元重点

与难点内容

重点:碳粒燃烧的物理模型以及活粉对焦炭燃烧的影响

难点:碳粒燃烧过程的物理模型

教学内容

  1. 碳粒燃烧过程的物理模型

均匀反应模型、不均匀反应模型、微粒模型

  1. 不同燃烧温度下灰分对燃烧的影响

燃烧温度低于灰的软化温度时灰分对燃烧的影响、燃烧温度高于灰的融化温度时灰分对燃烧的影响

  1. 灰分对焦炭燃烧的其他影响

热效应、辐射效应、颗粒尺寸、催化效应

  1. 煤粉的燃烧

煤粉气流的输送与分配

  1. 煤粉气流的着火

零维系统的热平衡分析一维系统的热平衡分析

  1. 旋转射流中煤粉的着火
  2. 直流射流中煤粉的着火
  3. 煤粉气流的燃尽过程

思政内容

结合前面学习过的气体燃料、液体燃料特征,对比引入固体燃料燃烧特性,分析其优缺点以及在我国能源供应中的主体地位,向学生讲解现代能源体系:高效、清洁、低碳、安全,树立学生的节能与环保意识。

教学过程设计:

教学方法及手段、课堂互动题设置、教学改革措施等

教学思路本章节属于燃烧科学技术的基础内容,是本课程的核心关键内容之一。充分了解基本概念,通过例题、示意图、机理图等加深理解,达到完全掌握本知识点的目的。

教学方法:1讲解;2PPT图像与动画演示;3提问与思考4. 视频

教学互动讨论。根据煤燃烧的基本原理,如何提高无烟煤着火和稳定燃烧性能,有哪些措施?

改革措施让学生积极的讨论,提升学生的参与度。

作业与

思考题设置

作业:根据燃烧的基本要求,总结角置直流煤粉燃烧器的一、二次风速选用的原则。

学习效果、学生反馈、反思改进措施等

课后填写

备注

 


分课时教案

知识单元名称

CH8燃烧科学技术发展中的几个科学问题

课次

22

授课类型

理论课讨论课实验课习题课其他

学时

2

课程目标与要求

  1. 基于煤燃烧过程中NOx的生成、破坏机理,分析煤粉炉内NOx的生成机理与控制方法学习催化燃烧原理及其研究进展
  2. 课外调研前沿燃烧技术中NOx机理与防控技术通过文献阅读等调研学习NOx成与防控技术制备汇报PPT课内以小组为单位组内每位同学汇报调研结果并开展小组讨论

本单元重点

与难点内容

重点:氮氧化物的生成机理及燃烧控制、催化燃烧

难点:氮氧化物的生成机理

教学内容

  1. NOx的危害
  2. 煤燃烧过程中NOx的生成机理

热力型NOx、燃料型NOx、快速型NOx

  1. 煤燃烧过程中NOx的破坏机理

挥发分燃烧阶段NOx的破坏焦炭燃烧阶段NOx的破坏NOCO的反应

  1. 影响煤粉炉内NOx生成的因素

炉内NOx的生成炉温对NOx生成的影响煤的性质对NOx生成的影响煤粉细度对NOx生成的影响

  1. 催化燃烧

催化燃烧控制NOxCO生成的原理典型催化燃烧室催化燃烧催化剂的研究进展

思政内容

    举例介绍NOx等对环境与人体的危害,让学生了解燃烧过程污染物的生成排放对造成的危害。介绍我国的污染物排放控制政策,以及相关NOx控制技术的发展,让学生理论国家的超低排放政策,树立环保意识。同过小组PPT制作与汇报,培养学生的团结协作意识。

教学过程设计:

教学方法及手段、课堂互动题设置、教学改革措施等

教学思路本章节属于燃烧科学新技术的内容,是本课程的核心关键内容之一。充分了解基本概念,通过例题、示意图、机理图等加深理解,达到完全掌握本知识点的目的。

教学方法:本堂课程以学生汇报讨论为主,增加学生的课堂参与感,老师引导学生提出并回答解决相关问题1讲解;2PPT图像与动画演示;3提问与思考4. 视频

教学互动讨论。气体燃料(如天然气)燃烧时,如何实现低NOx的排放?

开展小组讨论:结合前期学习相关知识点,学生课外调研前沿NOx生成机理与防控技术,并开展小组讨论,提出不同场景下NOx有效防控的技术方案。

改革措施让学生积极的讨论,提升学生的参与度。

作业与

思考题设置

思考题:催化燃烧可能在哪些领域提高能源的利用率?

学习效果、学生反馈、反思改进措施等

课后填写

备注

 

分课时教案

知识单元名称

CH8燃烧科学技术发展中的几个科学问题

课次

23

授课类型

理论课讨论课实验课习题课其他

学时

2

课程目标与要求

基于相似理论在燃烧过程中的应用、燃烧空气动力过程的物理模化理解燃烧过程数值模拟的基本原理,并通过相关基础知识进行典型燃烧过程开展数值模拟,会分析相关程序特点与结果适用性

本单元重点

与难点内容

重点:燃烧过程数值模拟、燃烧空气动力过程的物理模化

难点:燃烧过程的相似与模化、燃烧过程数值模拟

教学内容

  1. 相似理论在燃烧过程中的应用

积分类比法、流动的相似、对流传热的相似、气-固两相流或载粉气流的相似、燃烧过程的相似

  1. 燃烧空气动力过程的物理模化
  2. 燃烧过程数值模拟

基本原理、算法与程序特点燃烧过程的数学模型和控制方程数值模拟工况安排

  1. 数值模拟的结果

流场图谱炉内温度场分布壁面热负荷分布

 

思政内容

介绍生活、工业、国防与航天领域中新型燃烧技术的应用与发展,增强学生学习的兴,培养学生的自豪感与深厚的家国情怀,使其树立远大理想,并引导学生结合本课程了解专业,增强专业自信心,使理论抽象知识实质化,让学生明确燃烧学课程学习的重要性。

教学过程设计:

教学方法及手段、课堂互动题设置、教学改革措施等

教学思路本章节属于燃烧科学新技术的内容,是本课程的核心关键内容之一。充分了解基本概念,通过例题、示意图、机理图等加深理解,达到完全掌握本知识点的目的。

教学方法:1讲解;2PPT图像与动画演示;3提问与思考4. 视频

教学互动讨论。如何需要建造一个缩小的模型对煤粉燃烧进行模化实验,应该注意哪些特征参数的选取?

改革措施让学生积极的讨论,提升学生的参与度。

作业与

思考题设置

学习效果、学生反馈、反思改进措施等

课后填写

备注

 

 


分课时教案

知识单元名称

CH8燃烧科学技术发展中的几个科学问题

课次

24

授课类型

理论课讨论课实验课习题课其他

学时

2

课程目标与要求

1. 基于煤粉在富氧燃烧条件下的着火和燃烧特性,可分析污染物释放与控制、矿物质转化及灰熔融特征,并进行经济性评价;

2. 基于前期调研的化学链燃烧特性,可分析讨论氧载体特性对化学链燃烧的影响,提出其与其他系统不同的耦合方式

3. 学生分析讨论燃烧污染物SOx的影响,并结合相关技术提出解决思路。

本单元重点

与难点内容

重点:富氧燃烧

难点:化学链燃烧氧载体

教学内容

  1. 富氧燃烧的概念、发展历程
  2. 煤粉在富氧燃烧条件下的着火和燃烧特性
  3. 富氧燃烧污染物释放和控制
  4. 富氧燃烧方式下矿物质转化及灰熔融特征
  5. 经济性评价
  6. 化学链燃烧的提出
  7. 化学链燃烧反应器
  8. 化学链燃烧系统与其他系统耦合

思政内容

介绍生活、工业、国防与航天领域中新型燃烧技术的应用与发展,增强学生学习的兴,培养学生的自豪感与深厚的家国情怀,使其树立远大理想,并引导学生结合本课程了解专业,增强专业自信心,使理论抽象知识实质化,让学生明确燃烧学课程学习的重要性。

教学过程设计:

教学方法及手段、课堂互动题设置、教学改革措施等

 

教学思路本章节属于燃烧科学新技术的内容,是本课程的核心内容之一。充分了解基本概念,通过例题、示意图、机理图等加深理解,达到完全掌握本知识点的目的。

本堂课程主要以学生课堂讨论为主,讨论前老师首先讲授上述相关知识点,主要采用以下教学方法:1讲解;2PPT图像与动画演示;3提问与思考4. 视频。讲解后学生以小组开展相关前沿科学技术知识讲解与讨论。

教学互动讨论。化学链燃烧技术对能源利用效率的影响。

开展小组讨论:结合前期学习相关知识点,学生课外调研前沿SOx生成机理与防控技术,并开展小组讨论,提出不同场景下SOx有效防控的技术方案。

 

改革措施让学生积极的讨论,提升学生的参与度。

作业与

思考题设置

思考题:富氧燃烧技术除了碳捕集方面之外,还有什么优势?

学习效果、学生反馈、反思改进措施等

课后填写

备注

 

 

 

1